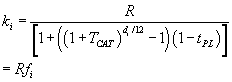
La Caisse d’Epargne du Limousin mesure son risque de taux d’intérêt en prévoyant tous les six mois son produit net bancaire, et donc sa marge d’intérêt, pour trois ans avec une périodicité annuelle, à partir d’hypothèses concernant l’évolution des emplois, des ressources et des taux d’intérêt. La marge d’intérêt de la Caisse d’Epargne du Limousin est donc prévue pour des objectifs annuels sur les emplois et les ressources et des scénarios de taux où les taux ne varient pas au cours des trois années considérées.
Le processus de contrôle du risque de taux d’intérêt de la Caisse d’Epargne du Limousin présente un certain nombre de limites. Tout d’abord, il mesure le risque mais ne permet pas de le gérer. En d’autres termes, il constate l’exposition au risque de taux d’intérêt mais ne propose pas de stratégie pour se protéger contre une évolution défavorable des taux d’intérêt ou pour bénéficier de leur évolution favorable. Ensuite, la fréquence annuelle du bilan et du hors-bilan prévisionnel ne permet pas de mettre en évidence les opportunités en termes de structure du bilan et de hors-bilan qui peuvent se dégager au cours d’une année. Enfin, utiliser des scénarios de taux d’intérêt définis avec des taux qui ne varient pas pendant trois ans sans prendre en compte leur volatilité est hors contexte aujourd’hui, la structure par terme des taux étant en constante évolution.
L’objectif de cette seconde partie est donc de définir une méthode permettant de dépasser les limites, que nous venons de présenter, de la démarche exploitée par la Caisse d’Epargne du Limousin (CELIM) pour contrôler son risque de taux d’intérêt.
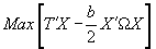
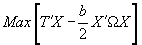
Nous proposons donc une méthode de gestion du risque de taux d’intérêt dans un univers risqué dont le modèle théorique a été présenté dans la section 3 du chapitre 2 de la première partie. Pour cela, nous avons recours à un modèle de choix de portefeuille adapté à l’activité bancaire qui sera utilisé avec une périodicité annuelle puis mensuelle. Un tel modèle permet de déterminer la répartition des objectifs, ou production nouvelle, de la CELIM en arbitrant entre le rendement et le risque associés à chaque opération du bilan et du hors-bilan sensible à l’évolution des taux d’intérêt, tout en tenant compte du risque de chaque opération et des corrélations entre les taux de ces opérations. Avec cette approche, une opération est considérée comme risquée si son taux est susceptible de varier au cours du temps et donc si sa variance est non nulle. L’allocation optimale de la production nouvelle risquée est déterminée pour différents scénarios de taux d’intérêt, de structure par terme et de volatilité et différents degrés d’aversion au risque.
Etant donné que nous souhaitons pouvoir, si nécessaire, réorienter la structure du bilan et du hors-bilan en fonction de l’évolution attendue des taux et de leur volatilité au cours d’une année, nous affinons l’analyse de la sensibilité de la marge d’intérêt à l’évolution des taux en considérant une périodicité mensuelle et non plus annuelle.
Cette seconde partie est composée de deux chapitres. Tout d’abord, nous mesurons le risque de taux d’intérêt de la Caisse d’Epargne du Limousin puis nous adaptons notre modèle de gestion du risque de taux d’intérêt, présenté dans la première partie, au bilan et au hors-bilan de la Caisse d’Epargne du Limousin et le soumettons ensuite à de nombreuses simulations.
La Caisse d’Epargne du Limousin (CELIM) mesure son risque de taux d’intérêt en prévoyant sa marge d’intérêtNote27. pour trois ans à partir d’objectifs annuelsNote28. et de scénarios de taux invariantsNote29. au cours de ces trois années. Cette mesure indique une évolution annuelle de la marge d’intérêt, pour différents scénarios de taux d’intérêt. Toutefois, la périodicité annuelle de cette mesure ne permet pas de réorienter les objectifs en fonction de l’évolution des taux. L’objet de ce chapitre est de dépasser cette limite en mensualisant la sensibilité de la marge d’intérêt de la CELIM à l’évolution des taux pour différents scénarios de taux d’intérêt.
Afin de mettre en évidence l’intérêt d’une mesure mensuelle du risque de taux d’intérêt par rapport à une mesure annuelle, nous mesurons les sensibilités annuelles puis mensuelles de la marge d’intérêt à des scénarios de taux d’intérêt annuels et mensuels.
Quelle que soit la périodicité de la mesure considérée, nous devons dans un premier temps répertorier les opérations du bilan et du hors-bilan de la CELIM sensibles à l’évolution des taux d’intérêt, opérations que nous appelons risquées. Nous construisons ensuite l’impasse risquée, définie par l’écart entre les emplois et les ressources risqués, qui nous indique que la CELIM est exposée défavorablement à la hausse des taux d’intérêt, les ressources étant excédentaires aux emplois.
Compte tenu de cette exposition défavorable à la hausse des taux d’intérêt, nous choisissons de ne nous intéresser qu’à l’impact de la hausse des taux sur la marge d’intérêt de la CELIM. Nous construisons alors trois scénarios de hausse des taux d’intérêt : deux scénarios de hausse des taux de marché et un scénario de hausse des taux réglementés.
Nous mettons alors en évidence la sensibilité de la marge d’intérêt de la CELIM à ces trois scénarios de taux avec une périodicité annuelle puis mensuelle.
Ce chapitre est organisé en quatre sections. Tout d’abord, nous présentons la structure générale du bilan et du hors-bilan des Caisses d’Epargne ainsi que les opérations risquées du bilan et du hors-bilan de la CELIM. Nous décrivons ensuite la structure des impasses risquées de la CELIM puis les trois scénarios de taux que nous avons définis. Enfin, nous mesurons la sensibilité annuelle et mensuelle de la marge d’intérêt de la CELIM à nos trois scénarios de hausse des taux d’intérêt.
Les Caisses d’Epargne (CE) présentent des spécificités de bilan et de hors-bilan par rapport aux banques commerciales qui proviennent de leur statut particulier et notamment de leur relation historique avec la Caisse des Dépôts et Consignations (CDC). Avant de détailler le bilan et le hors-bilan de la CELIM, nous présentons succinctement l’évolution de l’activité des Caisses d’Epargne ainsi que de leur statut (voir Duet [2001] et Mentré et Mérieux [2002] pour une présentation plus complète des CE).
L’activité ainsi que le statut des CE a beaucoup évolué au cours des 40 dernières années. Les CE qui, à l’origine, étaient à but non lucratif sont devenues des établissements de crédit à part entière, confrontés à la concurrence. Nous présentons les principales étapes qui ont été à l’origine de ces transformations avant de donner la structure générale actuelle du bilan d’une CE.
La première CE a été créée, à Paris le 22 mai 1818. Les CE étaient initialement des établissements à but non lucratif sous la tutelle de l’Etat et de la Caisse des Dépôts et Consignations. Les CE étaient uniquement habilitées à collecter les dépôts sur le Livret A qui ensuite étaient centralisés à la CDC pour financer des prêts aux collectivités locales, activité qu’elles continuent d’exercer de nos jours en contrepartie d’un commissionnement de 1.20%. Ce n’est qu’à partir de 1950 que leur activité a commencé à se diversifier avec l’évolution de leur statut.
En 1950, la loi Minjoz reconnaît aux CE un droit de présentation des emprunteurs auprès de la CDC. Cette loi constitue la première exception au principe de centralisation et de gestion complète des emplois de fonds d’épargne par la CDC.
Entre 1966 et 1983, les CE sont autorisées, par une série de décisions ponctuelles des pouvoirs publics, à diversifier leur activité :
il faut attendre 1966 pour que les pouvoirs publics autorisent les CE à ouvrir un livret fiscalisé, le Livret B, et un Livret Epargne Logement (LEL). Ils permettent également de distribuer des prêts aux particuliers avec les Prêts Livrets Epargne Logement (PLEL) ;
les CE peuvent proposer des SICAV en 1967, des Bons d’Epargne et des Plans d’Epargne Logement (PEL) en 1969 ;
1971, la loi Minjoz est élargie et permet aux CE d’octroyer des prêts et non plus uniquement de les présenter à la CDC. Les CE distribuent donc des crédits dans un univers non concurrentiel pour le compte de la CDC. Les nouveaux prêts qu’elles ont la possibilité d’octroyer sont des prêts personnels aux conditions du marché, comme les prêts habitat et les prêts à la consommation ;
1972, elles octroient des prêts immobiliers conventionnés ;
1978, elles obtiennent la possibilité de distribuer des compte-chèques, compte pivot pour les ménages, qui permet de fidéliser la clientèle ;
1982, elles ouvrent le Livret d’Epargne Populaire (LEP) et obtiennent la possibilité de délivrer la carte bleue. 85% de l’encours du LEP sont centralisés à la CDC en contrepartie d’un commissionnement qui actuellement est de 0.50% ;
1983, elles ouvrent le CODEVI. Aujourd’hui, plus de 50% de l’encours du CODEVI doit être centralisé à la CDC en contrepartie d’une commission qui est actuellement de 1.50%. La CELIM ne centralise pas plus de 52.5% du CODEVI car au-delà de ces 52.5%, le CODEVI n’est plus rémunéré par la CDC ;
Ce n’est qu’à partir de 1983, que le réseau des CE engage une véritable mutation de ses structures avec les trois grandes lois de 1983, 1991 et 1999 :
1er juillet 1983, l’Etat définit les CE comme des établissements de crédit à caractère non lucratif, ce qui leur permet d’exercer toutes les activités bancaires mais uniquement sur le marché des particuliers, des collectivités publiques, des associations et HLM. Le marché des professionnels et des entreprises ne leur est pas autorisé.
Le réseau des CE est organisé en 3 niveaux, les caisses locales, les sociétés régionales de financement (les SOREFI), chargées d’assurer les activités de transformation bancaire, et le CENCEP. Les CE sont organisées pour la première fois en réseau autour d’un organe central, le Centre National des Caisses d’Epargne et de Prévoyance (CENCEP). La mission du CENCEP est de coordonner en termes d’organisation, de contrôle et de réglementation le réseau des CE. Cette réforme est donc le point de départ d’un processus d’évolution qui va mener les CE à constituer un véritable acteur bancaire, bien que toujours fortement lié à la CDC.
1984, les CE sont rattachées à la loi bancaire.
1987, elles ont accès au marché des entreprises, à l’exception de celles qui font appel public à l’épargne.
1991, le réseau des CE est restructuré en 31 CE en France métropolitaine et 4 CE en Outre-mer. Les pouvoirs du CENCEP sont renforcés : il devient le véritable chef du réseau. Il est détenu à hauteur de 65% par les CE et de 35% par la CDC.
1995, un organisme financier est mis en place à la tête du réseau, la Caisse Centrale des Caisses d’Epargne et de Prévoyance (CCCEP) dont 40% est détenu par la CDC. Cet organe doit exercer les capacités d’ingénierie financière nécessaires aux CE et doit intervenir sur les marchés pour celles-ci.
par la loi du 25 juin 1999, les CE deviennent des banques coopératives.
C’est en fait au 1er janvier 2000 que le groupe des CE entre dans le monde bancaire coopératif.
Dorénavant, le statut de banques coopératives des Caisses d’Epargne permet de clairement identifier leurs propriétaires, ce qui n’était pas le cas jusque là. Le choix du modèle coopératif met le réseau sur un pied d’égalité avec les autres banques notamment en termes de concurrence. Toutefois, le Parlement élargit les missions d’intérêt généralNote30. du réseau des CE, qui sont financées par un prélèvement sur le résultat, et lui conserve le monopole du Livret A avec La Poste.
L’organe central du réseau des CE est renforcé par la création de la Caisse Nationale des Caisses d’Epargne (CNCE) qui résulte de la fusion entre la CCCEP et le CENCEP. La CNCE est à la fois le chef du réseau des CE mais aussi sa banque centrale. Toutefois, les intérêts communs des sociétaires, l’organisation et l’animation du sociétariat ainsi que la définition des orientations des missions d’intérêt général sont les missions d’une nouvelle organisation, la Fédération Nationale des Caisses d’Epargne.
La loi de 1999 reconnaît au groupe des CE son statut de plein exercice en lui supprimant sa dernière restriction, c'est-à-dire son impossibilité de prêter aux entreprises faisant appel public à l’épargne.
Enfin, la loi du 25 juin 2001 annonce la mise en commun des activités concurrentielles du groupe des CE et de la CDC. Ces activités sont regroupées à partir du 31 décembre 2001 dans une compagnie financière commune, baptisée EULIA, détenue à 49.9% par les CE et à 50.1% par la CDC.
La structure générale du bilan et du hors-bilan d’une Caisse d’Epargne est présentée dans le tableau 1. Le bilan et le hors-bilan d’une CE sont composés respectivement de 4 et de 3 compartiments. Le bilan est composé de P1, P2, P3 et du fonds de roulement. Le hors-bilan comprend P4, le hors-bilan clientèle et les instruments à terme.
| ACTIF | PASSIF |
| BILAN | |
| Compartiment P1 : Centralisation à la Caisse des Dépôts et Consignations | |
| - Livret A centralisé CDC - 85% LEP centralisé CDC |
- Livret A - 85% LEP |
| Compartiment P2 | |
| - Gestion collective CODEVI Obligations - Titres de Développement Industriel (TDI) |
- Emprunt obligataire CODEVI - 52.5% du CODEVI |
| Compartiment P3 | |
| P3 Clientèle | |
| - Crédits aux particuliers - Crédits aux entreprises - Crédits aux collectivités locales et associations - Crédits aux établissements financiers |
- Ressources à vue - Ressources Epargne Logement - Ressources à terme |
| P3 Titres et Trésorerie | |
| - Prêts interbancaires et pensions - Comptes courants - Titres monétaires - Titres obligataires - OPCVM de taux - Actions et OPCVM actions |
- Emprunts interbancaires et pensions - Refinancement Minjoz - Autres refinancements |
| Fonds de roulement | |
| - Immobilisations nettes - Participations - Prêts subordonnés - Comptes d’ajustement |
- Capitaux propres et provisions - Comptes d’ajustement |
| HORS-BILAN | |
| Compartiment P4 | |
| - SICAV et FCP - Assurance-vie - Autres |
- SICAV et FCP- Assurance-vie - Autres |
| Hors-bilan Clientèle | |
| - Prêts engagés non versés | - Engagements de garantie (cautions…) |
| Instruments à terme | |
| - Instruments à terme non conditionnels (swaps, FRA…) - Instruments à terme conditionnels (options…) |
- Instruments à terme non conditionnels (swaps, FRA…) - Instruments à terme conditionnels (options…) |
Les compartiments P1 et P2 sont spécifiques aux CE puisqu’ils représentent la part de la ressource qui est centralisée à la CDC. Le compartiment P1 comprend 100% de la ressource collectée sur le Livret A et 85% de celle du LEP. Le compartiment P2 est constitué de 52,5% des encours collectés sur le CODEVI. La centralisation du CODEVI à la CDC permet de financer des titres de développement industriel (TDI). Ces compartiments sont équilibrés : le montant de chacune de ces opérations est identique à l’actif et au passif.
Toutes les opérations du bilan et du hors-bilan n’exposent pas les CE au risque de taux d’intérêt. Les opérations qui exposent la marge d’intérêt aux variations des taux d’intérêt sont les opérations dont les taux sont susceptibles de varier au cours d’une période donnée. Ces opérations que nous appelons risquées sont répertoriées dans la partie suivante.
Le recensement des opérations risquées se fait sur la base du bilan et du hors-bilan au 31 décembre 1998. Bien que la structure générale du bilan et du hors-bilan de la CELIM n’ait pas changé depuis, les types d’opérations qui la constituent ont pu évoluer. Par conséquent, le recensement des opérations risquées que nous réalisons dans cette section n’est garanti que pour le bilan et le hors-bilan de la CELIM au 31 décembre 1998.
Le bilan de la CELIM est composé de stock et de production nouvelle. En revanche, le hors-bilan ne comprend que du stock car la CELIM ne fait pas de prévisions sur les opérations de hors-bilan. La quasi totalité des emplois (ressources) s’amortit (capitalise). La production nouvelle d’une période donnée devient du stock à la période suivante, par exemple la production nouvelle de janvier 1999 devient du stock en février.
Le bilan et le hors-bilan que nous considérons comme étant risqués sont constitués des opérations dont les taux sont susceptibles de varier. Ainsi, une opération est dite risquée si, au cours d’une période donnée, son taux observé varie. Par conséquent, une opération dont le taux ne varie pas est considéré comme étant sans risque.
Dans le stock, les opérations risquées sont les opérations à taux variable, révisable et réglementé non stratifiéesNote31.
. Le stock risqué de la CELIM comprend à l’actif (annexe amovible 3.1) et au passif (annexe amovible 3.2) respectivement 22
et 14 types d’opérations, notés
, i=1…22 et
, j=1…14.
En revanche, pour la production nouvelle, la distinction opérations risquées/non risquées est différente.
Comme le décrit le tableau 2, au moment où la production nouvelle prend effet, en t, toutes les opérations, à quelques exceptions prèsNote32. , sont considérées comme risquées car leurs taux sont susceptibles de changer en fonction des scénarios de taux.
Une fois que les taux sont définis, la production nouvelle qui a pris effet en t devient du stock en t+1. De plus, certaines de ses opérations qui étaient risquées en t deviennent sans risque en t+1 car leurs taux ne seront plus modifiés, quelle que soit l’évolution des taux de marché et des taux réglementés. C’est le cas des opérations à taux fixe et à taux réglementé stratifiées.
| Production nouvelle en t | Production nouvelle de t en t+1 |
| Sans risque - opérations non rémunérées - opérations dont les taux sont certains |
Sans risque - opérations non rémunérées - opérations dont les taux sont certains - opérations taux fixe (TF) - opérations taux réglementé stratifiées (TF) |
| Risquée - opérations taux fixe (TF) - opérations taux variable (TV) - opérations taux réglementé stratifiées (TF) - opérations taux réglementé (TR) non stratifiées |
Risquée - opérations taux variable (TV) - opérations taux réglementé (TR) non stratifiées |
Les opérations risquées et non risquées de la production nouvelle sont détaillées dans les annexes amovibles 3.3 et 3.4.
Les opérations des compartiments P1 et P2 ne sont pas risquées.
En effet, la centralisation du livret A, des 85% du LEP et des 52.5% du CODEVI génère un commissionnement certainNote33. pour les Caisses d’Epargne, qui actuellement est respectivement de 1.20%, 0.50% et 1.50%. Quels que soient les taux du livret A, du LEP et du CODEVI, les CE sont assurées d’avoir ce commissionnement. De plus, la « gestion collective CODEVI obligations » et « l’emprunt obligataire CODEVI » sont des opérations à taux fixe, par conséquent non risquées. Les opérations des compartiments P1 et P2 sont donc sans risque.
En revanche, le montant résiduel du LEP et du CODEVI, soit respectivement les 15% de l’encours du LEP et les 47.5% de l’encours du CODEVI, qui apparaissent dans le compartiment P3 clientèle sont risqués car aucun commissionnement certain ne leur est attribué.
Le «fonds de roulement » qui est composé des immobilisations de placement et participations, des immobilisations d’exploitation et du capital ne varie pas à court terme. Le taux des immobilisations de placement et participations est fixé et est identique, quel que soit le scénario de taux retenu. Les immobilisations d’exploitation et le capital ne sont pas rémunérés. Les opérations du «fonds de roulement » de la production nouvelle sont donc sans risque.
Il n’y a pas de production nouvelle dans le hors-bilan. Les swaps n’apparaissent que dans le stock (annexe amovible 3.4) avec des départs décalés à 1, 2 ou 3 ans, et constituent plus de 99% du compartiment des instruments à terme.
Finalement, la production nouvelle est composée à l’actif (annexe amovible 3.3) et au passif (annexe amovible 3.4) de 20 et
19 types d’opérations, notés respectivement
, i=1 …20 et
, j=1 …19.
Toutes les opérations du stock ne font pas l’objet de prévisions. Nous constatons en effet que les opérations à taux variable, révisable et réglementé du stock (annexes amovibles 3.1 et 3.2) sont beaucoup plus nombreuses que celles de la production nouvelle (annexes amovibles 3.3 et 3.4).
La Caisse d’Epargne fixe initialement ses objectifs commerciaux successivement pour :
Cependant, la production nouvelle ne comprend pas autant de catégories d’opérations qu’il en existe dans le stock. En effet, l’utilisation d’un logiciel de gestion de bilanNote35. nécessite quelques simplifications ou regroupements entre certaines opérations dont la part dans le bilan est relativement faible et/ou pour lesquelles les marges commerciales sont peu différentes. Par exemple, tous les taux de toutes les catégories de prêts aux collectivités locales ou de prêts habitat n’apparaissent pas distinctement.
De plus, certaines opérations en stock représentent une part tellement infime du bilan qu’elles ne font pas l’objet de prévisions.
Enfin, des opérations existent dans le stock mais ne font pas l’objet d’objectifs commerciaux, comme les prêts aux sociétés
de crédit immobilier (SCI) indexés sur le pibor 3 mois
et le pibor 12 mois
. En effet, ces opérations ne sont pas souscrites au guichet, elles sont octroyées aux établissements de crédit de manière
ponctuelle.
Dès lors que les opérations risquées du stock et de la production nouvelle sont recensées, nous pouvons construire les impasses risquées par type de taux afin de mettre en évidence l’exposition au risque de taux d’intérêt de la CELIM.
L’objet de cette section est de construire avec une périodicité annuelle puis mensuelle les impasses risquées, définies par l’écart entre les emplois et les ressources risqués, afin de mettre en évidence l’exposition au risque de taux d’intérêt de la CELIM. Nous rappelons qu’une impasse risquée négative exposerait défavorablement (favorablement) la CELIM à la hausse (baisse) des taux et inversement pour une impasse positive.
Pour cela, nous définissons une typologie des opérations risquées du bilan et du hors-bilan en fonction des taux sur lesquels elles sont indexées. Comme nous l’avons précisé précédemment, les opérations risquées du stock sont indexées sur des taux variables et révisables et sur les taux réglementés de l’épargne non stratifiée. Les opérations risquées de la production nouvelle (tableau 2) sont les opérations à taux fixe, à taux variable et révisable et à taux réglementé non stratifiées. Parmi les opérations indexées sur des taux de marché, nous distinguons les opérations à taux variable et révisable court terme (pibor 1, 3, 6 et 12 mois, T4M, TAM et TBB) et les opérations à taux variable long terme (TMO et TME)Note36. .
Le logiciel de gestion de bilan de la CELIM nous permet d’obtenir les emplois et les ressources du bilan et du hors-bilan avec une périodicité annuelle ou mensuelle. En revanche, il ne calcule pas les impasses risquées par type de taux que nous avons définies. Nous avons donc extrait nous-mêmes les encours et les taux du bilan annuel et mensuel de la CELIM pour construire les impasses par type de taux qui serviront pour réaliser toutes nos simulations.
L’évolution du stock et de la production nouvelle du bilan et du hors-bilan de la CELIM est prévue pour 3 ans (1999, 2000 et 2001). Ici, nous ne considérons que l’année 1999. Nous avons apporté quelques modifications par rapport à ce qui était prévu par la CELIM, que nous expliquons dans l’annexe 3.5.
La structure des impasses non risquées et risquées du stock et de la production nouvelle de la CELIM est donnée dans le tableau 3.
| Types d’impasses | Montants en milliers de francs |
| Impasse non risquée du bilan et du hors-bilan : | 2 839 027.50 |
| - Impasse non risquée du stock | 2 639 227.50 |
| - Impasse non risquée de la production nouvelle | 199 800.00 |
| Impasse risquée du bilan et du hors-bilan : |
-2 839 027.50 |
| - Impasse risquée du stock : | -1 416 834.54 |
| - Impasse du stock à taux variable et révisable court terme (TV CT) | 238 592.96 |
| - Impasse du stock à taux variable long terme (TV LT) | -84 100.00 |
| - Impasse du stock à taux réglementé (TR) non stratifiée | -1 571 327.50 |
| - Impasse risquée de la production nouvelle : | -1 422 192.96 |
| - Impasse de la production nouvelle à taux fixe (TF) | 493 370.00 |
| - Impasse de la production nouvelle à taux variable et révisable court terme (TV CT) | -1 817 627.96 |
| - Impasse de la production nouvelle à taux réglementé (TR) non stratifiée | -97 935.00 |
La distinction entre impasse non risquée et impasse risquée du bilan et du hors-bilan de la CELIM fait nettement apparaître une exposition défavorable à la hausse des taux, compte tenu de l’impasse risquée du bilan et du hors-bilan largement excédentaire en ressources. Nous remarquons dans le tableau 3 que la CELIM ne fait pas de prévisions sur les opérations indexées sur les taux variables de long terme.
Dans la production nouvelle, seule l’impasse à taux fixe est excédentaire en emplois. Les emplois à taux fixe de la production nouvelle, qui sont essentiellement des prêts, sont le plus souvent des emplois de long terme, comme le fait apparaître l’annexe amovible 3.3. En revanche, les ressources à taux fixe sont surtout des ressources réglementées que nous appelons « ressources à taux réglementé stratifiées »Note37. . Ainsi, pour les opérations de l’impasse à taux fixe, une hausse des taux long terme a un effet d’autant plus bénéfique sur la marge d’intérêt que les taux réglementés n’augmentent pas.
Nous remarquons toutefois que la structure des impasses risquées de la CELIM n’est pas la même que celle des 10 Caisses d’Epargne de notre application empirique du premier chapitre. La CELIM est en effet exposée défavorablement à la hausse des taux contrairement à l’ensemble du réseauNote38. .
Nous affinons l’exposition au risque de taux d’intérêt de la CELIM en mensualisant l’échéancement des opérations du bilan et du hors-bilan de la CELIM.
Considérer l’évolution mensuelle des impasses annuelles permet de faire apparaître une évolution de l’exposition au risque de taux au cours de l’année, ce qui est occulté avec des impasses annuelles. Chaque opération du bilan a un échéancement qui lui est propre, comme le montre les annexes amovibles 3.1 à 3.4. La périodicité de l’échéancement des opérations se retrouve dans la structure des impasses et, par conséquent, agit sur l’exposition au risque de taux. L’évolution mensuelle des impasses risquées du stock, celle de la production nouvelle et celle du stock et de la production nouvelle cumulés au cours de l’année 1999 sont représentées respectivement sur les graphiques 1, 2 et 3.
Comme le représente le graphique 3, l’exposition défavorable à la hausse des taux de marché court terme (TV CT) et des taux réglementés (TR) non stratifiés est légèrement plus forte en fin de période qu’en début de période. Alors que l’impasse à taux réglementé (TR) non stratifiée évolue régulièrement au cours de la période, l’impasse à taux variable et révisable court terme (TVCT) connaît un changement de tendance en juillet.
L’exposition défavorable à la hausse des taux de marché long terme (TV LT) diminue régulièrement, mais très légèrement, au cours de l’année.
Enfin, l’impasse à taux fixe (TF) risquée de la production nouvelle expose défavorablement la marge d’intérêt à une baisse des taux long terme.
Graphique 1 : Evolution mensuelle des impasses annuelles risquées du stock pour 1999, en milliers de francs
Graphique 2 : Evolution mensuelle des impasses annuelles risquées de la production nouvelle pour 1999, en milliers de francs
Graphique 3 : Evolution mensuelle des impasses annuelles risquées du stock et de la production nouvelle cumulés pour 1999, en milliers de francs
Etant donné que l’impasse risquée du bilan et du hors-bilan est excédentaire en ressources par rapport aux emplois, une hausse des taux de marché et des taux réglementés expose défavorablement la marge d’intérêt au risque de taux d’intérêt. Plus précisément, la marge d’intérêt est exposée défavorablement à court terme à la hausse des taux réglementés et des taux de marché court terme mais à long terme à la baisse des taux de marché de long terme. Les prêts de long terme sont souscrits à des taux plus faibles qui généreront des gains moindres à long terme.
A court terme, un scénario de hausse des taux est le scénario le plus défavorable pour la CELIM. Nous choisissons donc de considérer uniquement ce cas de hausse des taux dans nos simulations puisque c’est le type de scénario où l’intérêt de l’optimisation est le plus fort. De plus, compte tenu de l’importance de l’activité réglementée dans le bilan des Caisses d’Epargne, nous isolons l’effet de la hausse des taux réglementés de celui de la hausse des taux de marché.
Les taux des opérations risquées du stock et de la production nouvelle sont généralement composés d’un taux de référence, de marché ou réglementé, et d’une marge commerciale bruteNote39. . Etant donné que nous réalisons des simulations à court terme, nous supposons qu’il n’y a pas de volatilité sur les marges commerciales. Celles-ci ne varient pas dans nos simulations. En revanche, nous faisons varier les taux de référence afin de mesurer l’impact de leur évolution sur la marge d’intérêt de la CELIM. Nous supposons également qu’à court terme, les comportements d’offre et de demande ne sont pas modifiésNote40. .
Pour mettre en évidence l’intérêt de la mensualisation dans le processus de contrôle du risque de taux d’intérêt de la CELIM, nous construisons des scénarios de taux mensuels et annuels. Afin de faciliter la comparaison entre les résultats annuels et mensuels, chaque taux annuel est calculé comme la moyenne arithmétique de ses valeurs mensuelles de l’année 1999.
Notre objectif est de mettre en évidence l’impact de scénarios de hausse des taux sur la marge d’intérêt. Pour cela, nous devons pouvoir comparer nos résultats avec ceux obtenus avec le scénario de taux de la CELIM. Nous construisons des scénarios de hausse des taux où les taux sont plus élevés que ceux du scénario de la CELIM. Le scénario de taux de la CELIM est alors considéré comme un scénario de référence.
L’importance de l’activité réglementée dans les Caisses d’Epargne nous conduit à distinguer l’effet de la hausse des taux réglementés de celui de la hausse des taux de marché. Nous définissons deux scénarios de hausse des taux de marché, en considérant successivement une courbe des taux normale (taux courts inférieurs aux taux longs) puis inversée (taux courts supérieurs aux taux longs), et un scénario de hausse des taux réglementés. Dans les scénarios de marché, les taux réglementés ne varient pas par rapport à ceux du scénario de la CELIM. Le taux du mois de janvier de ces deux scénarios correspond aux taux du scénario de la CELIM. C’est à partir de février que les taux augmentent par rapport au scénario de la CELIM. Dans le scénario de taux réglementés, ce sont les taux de marché qui ne varient pas par rapport à ceux du scénario de la CELIM.
Nous présentons le scénario de la CELIM avant de définir les deux scénarios de taux de marché et le scénario de taux réglementés que nous avons construits. A titre de comparaison, les taux de marché et réglementés français de 1999 sont donnés avec une périodicité mensuelle et annuelle dans les annexes 3.6 et 3.7.
Dans le scénario de taux de la CELIM, les taux ne varient pas pendant trois ans (1999, 2000 et 2001)Note41. . Nous distinguons les taux de marché (tableau 4), des taux réglementés (tableau 5) et d’autres taux (tableau 6) qui ne sont ni des taux de marché, ni des taux réglementés. Cette dernière catégorie de taux comprend en fait les taux relatifs à la Carte Aurore, aux découverts particuliers, aux prêts bonifiés, aux prêts plans épargne logement (PPEL) et aux prêts livret épargne logement (PLEL).
| Taux | 1 mois | 3 mois | 6 mois | 1 an | 2 ans | 3 ans | 5 ans | 10 ans | ||||
| 3.10 | 3.18 | 3.27 | 3.35 | 3.37 | 3.52 | 3.81 | 4.30 | |||||
| Taux | T4M* | TAM* | TME* | TMO* | TBB* | Taux des appels d’offre | ||||||
| 3.01 | 3.10 | 4.30 | 4.30 | 6.55 | 3.00 | |||||||
*T4M : Taux moyen mensuel du marché monétaire ; TAM : taux annuel moyen ; TME : taux mensuel du rendement des emprunts d’Etat à long terme ; TMO : taux mensuel obligataire ; TBB : taux de base bancaire.
| Epargne réglementée non stratifiée | |||||||
| Produits | Livret A | LEP | Codevi | Livret B | Livret Jeunes | LEL | PEP performance |
| Taux | 2.47 | 4.65 | 2.96 | 2.96 | 4.18 | 1.98 | 4.00 |
| Epargne réglementée stratifiée | |||||||
| Produits | PEP 1G | PEP 2G | PEP permanence | CAT PEP | PEL | CAT PEL | Bons d’épargne |
| Taux | 4.00 | 3.75 | 4.00 | 3.00 | 2.90 | 2.65 | 3.45 |
| Produits | Aurore | Découverts particuliers | Prêts bonifiés | Prêts LEL | Prêts PEL |
| Taux | 14.88* | 11.92 | 4.75 | 4.00 | 5.75 |
*La rémunération de la carte Aurore est partagée entre Cetelem et la Caisse d'Epargne du Limousin. La clef de répartition entre ces deux établissements de crédit est respectivement 45% et 55%. Le taux effectif de la carte Aurore pour la Caisse d'Epargne du Limousin est alors de 8.184%.
Le scénario de taux de la CELIM étant précisé, nous présentons les scénarios de hausse des taux que nous avons construits.
Les scénarios 1 et 2 simulent une hausse des taux de marché par rapport au scénario de la CELIM. Dans les scénarios mensuels, le mois de janvier correspond au scénario de la CELIM. Les taux réglementés dans ces deux scénarios de taux ne sont pas modifiés par rapport au scénario de la CELIM.
Pour ces deux scénarios de taux de marché, les taux de marché sont calculés par interpolation linéaire à partir de l’évolution en 1999 du taux 3 mois et du taux 10 ans que nous avons fixée initialement. Seul le TAM est obtenu en calculant la moyenne en glissement des trois derniers taux 1 mois.
Le scénario de taux 1 mensuel simule une hausse de la courbe des taux de marché avec une structure normale de la courbe des taux d’intérêt.
Au cours de l’année 1999, nous faisons augmenter le 3 mois et le 10 ans respectivement de 2 et 1.5 points pour atteindre 5.18% et 5.80% en décembreNote42. .
Le détail de l’évolution mensuelle des taux de ce scénario est donné dans l’annexe 3.8. L’évolution mensuelle des taux 3 mois, 12 mois, 5 ans, 10 ans, T4M et TAM est représentée sur le graphique 4. Ce graphique met en évidence la hausse des taux de marché par rapport au scénario de la CELIM, le mois de janvier correspondant au scénario de la CELIM.
Graphique 4 : Evolution mensuelle des principaux taux du scénario 1, en %
La moyenne arithmétique des taux mensuels permet d’obtenir les taux annuels que nous utiliserons pour nos simulations annuelles. Les taux de marché du scénario 1 sont donnés dans le tableau 7, les taux réglementés et les autres taux étant ceux des tableaux 5 et 6.
| Maturités | 1 mois | 3 mois | 6 mois | 1 an | 2 ans | 3 ans | 5 ans | 10 ans | |||||
| Taux | 4.09 | 4.18 | 4.23 | 4.29 | 4.33 | 4.43 | 4.64 | 5.05 | |||||
| Maturités | T4M | TAM | TME | TMO | TBB | Taux des appels d’offre | |||||||
| Taux | 4.04 | 3.78 | 5.05 | 5.05 | 6.80 | 4.01 | |||||||
*T4M : Taux moyen mensuel du marché monétaire ; TAM : taux annuel moyen ; TME : taux mensuel du rendement des emprunts d’Etat à long terme ; TMO : taux mensuel obligataire ; TBB : taux de base bancaire.
Nous considérons maintenant un scénario de taux qui simule une inversion de la structure par terme des taux.
Le scénario de taux 2 simule une inversion de la structure par terme des taux de marché, tout en conservant une évolution à la hausse des taux courts et des taux longs.
Etant donné que nous voulons que le mois de janvier corresponde au scénario de la CELIM, une inversion de la courbe des taux avant le milieu de l’année 1999 aurait nécessité une hausse des taux courts au cours de l’année 1999 beaucoup trop importante et rapide pour être réaliste. C’est la raison pour laquelle la courbe des taux ne s’inverse pas avant le mois d’août 1999.
Le 3 mois et le 10 ans augmentent donc de 2.5 points et de 0.5 points pour atteindre respectivement 5.68% et 4.80% en décembre contre 5.18% et 5.80 dans le scénario 1. Les taux courts augmentent plus que dans le scénario 1, ce qui n’est pas le cas des taux longs.
L’évolution mensuelle des taux de marché du scénario 2 est donnée dans l’annexe 3.8. Sa représentation est donnée sur le graphique 5.
Graphique 5 : Evolution mensuelle des principaux taux du scénario 2, en %
Ce scénario permet de mesurer l’impact sur la marge sensible à l’évolution des taux d’un aplatissement de la structure par terme des taux, jusqu’en juillet, mais également de son inversion, à partir d’août.
Les taux annuels, calculés comme la moyenne arithmétique des taux de marché mensuels, sont donnés dans le tableau 8. Les taux réglementés et les autres taux sont ceux définis par la CELIM dans les tableaux 5 et 6.
| Maturités | 1 mois | 3 mois | 6 mois | 1 an | 2 ans | 3 ans | 5 ans | 10 ans | |||||
| Taux | 4.34 | 4.43 | 4.46 | 4.48 | 4.44 | 4.47 | 4.53 | 4.55 | |||||
| Maturités | T4M | TAM | TME | TMO | TBB | Taux des appels d’offre | |||||||
| Taux | 4.29 | 3.95 | 4.55 | 4.55 | 6.76 | 4.26 | |||||||
*T4M : Taux moyen mensuel du marché monétaire ; TAM : taux annuel moyen ; TME : taux mensuel du rendement des emprunts d’Etat à long terme ; TMO : taux mensuel obligataire ; TBB : taux de base bancaire.
Nous construisons maintenant un scénario de hausse des taux réglementés et des autres taux.
Le scénario 3 modifie les taux réglementés ainsi que des taux qui ne sont ni des taux du marché, ni des taux considérés comme réglementés. Les taux de marché ne sont pas modifiés par rapport au scénario de la CELIM.
Les taux du scénario 3 connaissent deux hausses successives de 0.25 points en janvier et en août par rapport au scénario de la CELIM. Nous avons choisi de simuler une seconde hausse des taux réglementés en août et non en juillet afin de distinguer l’effet quantité du mois de juillet de l’effet taux. L’effet quantité du mois de juillet est illustré sur le graphique 1 de la page 147 par l’augmentation de l’impasse à taux réglementés non stratifiée, due à une sortie de ressources. L’évolution mensuelle des taux du scénario 3 est donnée dans l’annexe 3.8.
A nouveau, les taux annuels correspondent à la moyenne arithmétique des taux mensuels. Ils sont détaillés dans les tableaux 9 et 10. Les taux de marché du scénario 3 sont donc ceux du scénario de la CELIM, décrits dans le tableau 4.
| Epargne réglementée non stratifiée | |||||||
| Produits | Livret A | LEP | Codevi | Livret B | Livret Jeunes | CEL | PEP performance |
| Taux | 2.82 | 5.00 | 3.31 | 3.31 | 4.53 | 2.34 | 4.35 |
| Epargne réglementée stratifiée | |||||||
| Produits | PEP 1G | PEP 2G | PEP permanence | CAT PEP | PEL | CAT PEL | Bons d’épargne |
| Taux | 4.35 | 4.10 | 4.35 | 3.35 | 3.25 | 3.00 | 3.80 |
| Produits | Aurore | Découverts particuliers | Prêts bonifiés | Prêts CEL | Prêts PEL |
| Taux | 15.23* | 12.27 | 5.10 | 4.35 | 6.10 |
*La rémunération de la carte Aurore est partagée entre Cetelem et la Caisse d'Epargne du Limousin. La clef de répartition entre ces deux établissements de crédit est respectivement 45% et 55%. Le taux effectif de la carte Aurore pour la Caisse d'Epargne du Limousin est alors de 8.377%.
La CELIM étant exposée défavorablement à la hausse des taux d’intérêt, nous avons défini trois scénarios de hausse des taux : deux scénarios de hausse des taux de marché et un scénario de hausse des taux réglementés. Nous pouvons maintenant simuler l’impact de ces trois scénarios de taux sur la marge d’intérêt de la CELIM.
La structure de l’impasse risquée de la CELIM expose défavorablement la marge d’intérêt de la CELIM à la hausse des taux. L’impact chiffré des scénarios de hausse des taux sur la marge d’intérêt de la CELIM est exprimé dans cette section en considérant le bilan et le hors-bilan annuel puis mensuel de l’année 1999.
La sensibilité de la marge d’intérêt à l’évolution des taux n’a pu être mise en évidence qu’après avoir indexé tous les taux annuels et mensuels des opérations risquées sur les taux des scénarios de taux. Cette indexation a nécessité au préalable de décomposer les taux des opérations risquées en un taux de référence et une marge commerciale, fixée par la CELIM. Les taux de référence des opérations, que nous faisons varier, sont détaillés dans les annexes amovibles 3.1 à 3.4. En revanche, les marges commerciales, qui ne varient pas, n’y apparaissent pas par souci de confidentialité.
Nous considérons successivement les trois scénarios de taux annuels, que nous avons définis précédemment, pour mesurer la sensibilité de la marge d’intérêt de la CELIM à la hausse des taux. Celle-ci est indiquée à travers le taux de croissance de la marge d’intérêt calculée pour chacun des trois scénarios par rapport à la marge obtenue avec le scénario de la CELIM.
L’impact de ce premier scénario sur la marge d’intérêt par rapport au scénario de la CELIM est présenté dans le tableau 11.
| Types de marges d’intérêt | Taux de croissance en % |
| Marge d’intérêt du bilan et du hors-bilan | -3.64% |
| Marge d’intérêt risquée du bilan et du hors-bilan | -17.91% |
| Marge d’intérêt risquée du stock | 4.93% |
| - Marge d’intérêt du stock à taux variable et révisable court terme (TV CT) | 15.62% |
| - Marge d’intérêt du stock à taux variable long terme (TV LT) | -7.34% |
| - Marge d’intérêt du stock à taux réglementé non stratifiés (TR) | 0.00% |
| Marge d’intérêt risquée de la production nouvelle | -48.50% |
| - Marge d’intérêt de la production nouvelle à taux fixe (TF) | 15.82% |
| - Marge d’intérêt de la production nouvelle à taux variable et révisable court terme (TV CT) | -34.78% |
| - Marge d’intérêt de la production nouvelle à taux réglementé non stratifiée (TR) | 0.00% |
Nous retrouvons le résultat selon lequel une hausse des taux de marché a un effet négatif sur la marge d’intérêt risquée du bilan et du hors-bilan (-17.91%). Cette baisse provient de la marge d’intérêt de la production nouvelle qui connaît une perte de 48.50%, compte tenu de son impasse à taux variable et révisable court terme excédentaire en ressources, alors que la marge d’intérêt du stock croît de 4.93%.
Seules les marges d’intérêt à taux variable et révisable de court terme du stock et à taux fixe risquée de la production nouvelle bénéficient de cette hausse des taux, avec une hausse respectivement de 15.62% et de 15.82%, compte tenu de leurs impasses excédentaires en emplois.
La marge d’intérêt à taux réglementé du stock et de la production nouvelle n’est pas affectée par ce scénario puisque les taux réglementés ne sont pas modifiés par rapport au scénario de la CELIM.
En d’autres termes, ces premiers résultats nous indiquent que pour limiter son exposition à la hausse des taux de marché, la CELIM doit accroître ses emplois et /ou réduire ses ressources à taux variable et révisable court terme et à taux variable long terme.
L’impact du scénario de taux 2 sur la marge d’intérêt par rapport au scénario de la CELIM est présenté dans le tableau 12.
| Types de marges d’intérêt | Taux de croissance en % |
| Marge d’intérêt du bilan et du hors-bilan | -5.28% |
| Marge d’intérêt risquée du bilan et du hors-bilan | -26.01% |
| Marge d’intérêt risquée du stock | 6.35% |
| - Marge d’intérêt du stock à taux variable et révisable court terme (TV CT) | 18.39% |
| - Marge d’intérêt du stock à taux variable long terme (TV LT) | -2.54% |
| - Marge d’intérêt du stock à taux réglementé (TR) non stratifiée | 0.00% |
| Marge d’intérêt risquée de la production nouvelle | -69.35% |
| - Marge d’intérêt de la production nouvelle à taux fixe (TF) | 9.73% |
| - Marge d’intérêt de la production nouvelle à taux variable et révisable court terme (TV CT) | -43.22% |
| - Marge d’intérêt de la production nouvelle à taux réglementé (TR) non stratifiée | 0.00% |
Le tableau 12 montre bien que le scénario de taux 2 est nettement plus défavorable que le premier scénario de taux : la marge d’intérêt risquée du bilan et du hors-bilan et la marge d’intérêt de la production nouvelle baissent respectivement de 26.01% et de 69.35% par rapport au scénario de la CELIM contre 17.91% et 48.50% pour le scénario 1.
Une plus forte hausse des taux de marché court terme associée à une moindre augmentation des taux long de marché terme a un impact positif plus élevé sur la marge d’intérêt du stock (6.35%) que le scénario 1 (4.93%).
La marge d’intérêt à taux fixe de la production nouvelle, dont les opérations sont majoritairement indexées sur des taux long terme, connaît une moindre augmentation (9.73% contre 15.82%), les taux de marché long terme augmentant moins.
Toutefois, la marge d’intérêt à taux variable et révisable court terme de la production nouvelle subit une perte bien supérieure (-43.22%) que pour le scénario 1 (-34.78%).
Nous avons mis en évidence dans les deux paragraphes précédents l’impact d’une hausse des taux de marché sur la marge d’intérêt en considérant successivement une courbe des taux normale puis inversée, l’inversion de la courbe se caractérisant par une plus forte hausse des taux courts et une moindre hausse des taux longs par rapport à la courbe normale. Comme l’excédent de ressources par rapport aux emplois à taux variable et révisable court terme est plus important que celui à taux variable long terme, une inversion de la courbe des taux, comme nous la caractérisons, est plus pénalisante qu’une courbe des taux normale. Nous mesurons maintenant l’effet d’une hausse des taux réglementés sur la marge d’intérêt par rapport au scénario de la CELIM.
L’impact du scénario 3 sur la marge d’intérêt est présenté dans le tableau 13.
| Types de marges d’intérêt |
Taux de croissance en % |
| Marge d’intérêt du bilan et du hors-bilan | -1.63% |
| Marge d’intérêt risquée du bilan et du hors-bilan | -8.13% |
| Marge d’intérêt risquée du stock | -13.85% |
| - Marge d’intérêt du stock à taux variable et révisable court terme (TV CT) | 0.00% |
| - Marge d’intérêt du stock à taux variable long terme (TV LT) | 0.00% |
| - Marge d’intérêt du stock à taux réglementés | -10.92% |
| Marge d’intérêt risquée de la production nouvelle | -0.47% |
| - Marge d’intérêt de la production nouvelle à taux fixes (TF) | 0.75% |
| - Marge d’intérêt de la production nouvelle à taux variable et révisable court terme (TV CT) | 0.00% |
| - Marge d’intérêt de la production nouvelle à taux réglementés (TR) non stratifiée | -11.11% |
La hausse des taux réglementés, comme celle des taux de marché, est pénalisante pour la CELIM : la marge risquée du bilan et du hors-bilan baisse de 8.13%. Cette perte provient surtout du stock risqué (-13.85%) puisque la marge de la production nouvelle ne diminue que de 0.47%.
Naturellement, c’est la marge d’intérêt à taux réglementé non stratifiée du stock comme de la production nouvelle qui est la plus affectée par ce scénario : elle diminue respectivement de 10.92% et de 11.11%.
La marge de la production nouvelle à taux fixe est légèrement affectée par ce scénario puisque les taux des prêts bonifiés et des prêts épargne logement (PPEL et PLEL) constituent cette marge.
En d’autres termes, pour limiter l’impact négatif de la hausse des taux réglementés, il faudrait que la CELIM puisse réduire ses ressources et / ou augmenter ses emplois à taux réglementé.
L’analyse de la sensibilité de la marge d’intérêt aux variations des taux confirme une exposition défavorable à la hausse des taux de marché court terme et long terme. De plus, l’inversion de la courbe des taux est encore plus pénalisante, notamment si elle implique comme ici, une plus forte hausse des taux court terme. Dans le deuxième scénario, le fait que les taux long terme augmentent moins que dans le scénario 1 montre bien que c’est surtout la hausse des taux court terme qui influence le niveau des pertes. La présence d’une impasse de la production nouvelle à taux variable et révisable court terme beaucoup plus excédentaire en ressources que l’impasse du stock à taux variable long terme est à l’origine de ce résultat.
Ces premiers résultats montrent qu’il y a la possibilité de limiter l’exposition au risque de taux d’intérêt de la CELIM en cas de hausse des taux de marché, en privilégiant les emplois à taux variable long terme mais surtout les emplois à taux variable et révisable court terme. La structure actuelle des impasses de la CELIM est toutefois génératrice de marge en cas de baisse des taux, surtout lorsque la pente de la courbe des taux s’accentue.
Nous voulons cependant connaître la sensibilité mensuelle de la marge d’intérêt à ces trois scénarios de hausse des taux.
Le fait de mensualiser la sensibilité de la marge d’intérêt à l’évolution des taux permet de prendre en compte deux éléments : d’une part, l’évolution mensuelle au cours de l’année des montants des opérations, qui ne sont plus des montants moyens annuels, d’autre part, l’évolution mensuelle des taux au cours de l’année des opérations. En effet, les taux des opérations à taux fixe et à taux réglementé stratifiées dépendent de la date à laquelle ces opérations prennent effet au cours de l’année, puisqu’ils ne sont pas modifiés ensuite. De plus, les taux des opérations à taux variable, révisable et réglementé non stratifiées dépendent non seulement de la date de la souscription des opérations mais également de l’évolution ultérieure des taux sur lesquels ils sont indexés. Toutefois, les taux des opérations exposées au risque de taux d’intérêt sont modifiés mensuellement, trimestriellement, semestriellement ou annuellement sur les taux de marché selon qu’ils sont indexés respectivement sur le 1 mois, le 3 mois, le 6 mois ou le 1 an, le T4M, le TAM…L’effet de l’indexation des taux est donc d’autant plus important que la période de révision des taux est longue. Cette indexation non immédiate des taux variables et révisables joue un rôle non négligeable car elle agit sur la sensibilité de la marge à l’évolution des taux. La mensualisation de la sensibilité de la marge d’intérêt à l’évolution des taux d’intérêt prend alors toute son importance en présence de ce type de taux. La marge d’intérêt peut en effet être plus ou moins sensible aux variations des taux d’intérêt que ne le fait apparaître une analyse annuelle.
De manière analogue à l’étude de la sensibilité annuelle de la marge d’intérêt, nous considérons successivement l’impact des trois scénarios de hausse des taux sur la marge d’intérêt de la CELIM. Ces scénarios reproduisent une évolution mensuelle des taux et non plus une valeur annuelle moyenne comme dans le paragraphe précédent. Nous représentons graphiquement pour chacun de ces trois scénarios le taux de croissance des différentes marges risquées du stock et de la production nouvelle par rapport aux marges respectives obtenues avec le scénario de la CELIM.
L’impact du scénario 1 sur le stock et la production nouvelle est représenté sur les graphiques 6 et 7.
Comme nous l’avons observé avec une périodicité annuelle, la hausse des taux variables court terme engendre une perte sur la marge à taux variable court terme du bilan et du hors-bilan, compte tenu des impasses à taux variable court terme excédentaires en ressources.
De manière générale, l’évolution progressive, pour le stock comme pour la production nouvelle, du taux de croissance de la marge à taux variable court terme jusqu’en juillet provient de l’effet taux, c'est-à-dire de la hausse régulière des taux de marché du scénario de taux. En revanche, la diminution du taux de croissance de la marge à taux variable du stock observée à partir d’août provient d’un effet quantité, c'est-à-dire de la diminution de l’excédent d’emplois par rapport aux ressources mise en évidence dans le graphique 1 de la page 147.
L’évolution non régulière du taux de croissance de la marge d’intérêt du stock à taux variable long terme, provient d’un effet taux, c'est-à-dire de l’indexation des taux de long terme qui se fait le plus souvent avec une périodicité annuelle. L’impasse à taux variable long terme ne variant pas au cours de l’année (graphique 1 page 147), il n’y a pas d’effet quantité sur la marge d’intérêt.
Le taux de croissance de la marge à taux fixe risquée de la production nouvelle est quasiment nul et ceci pour deux raisons. D’une part, les taux de janvier du scénario 1, comme du scénario 2, correspondent à ceux du scénario de la CELIM. D’autre part, la majorité des opérations de la production nouvelle prend effet dès janvier, seuls les prêts aux associations, les comptes à terme et l’emprunt écureuil prennent effet ultérieurement, en février.
Graphique 6 : Taux de croissance de la marge d’intérêt du stock du scénario 1 par rapport au scénario de la CELIM
Graphique 7 : Taux de croissance de la marge d’intérêt de la production nouvelle du scénario 1 par rapport au scénario de la CELIM
La marge des opérations à taux réglementé non stratifiées n’évolue pas par rapport au scénario de la CELIM puisque les taux réglementés sont ceux du scénario de la CELIM.
La mensualisation de la sensibilité de la marge d’intérêt risquée du stock à l’évolution des taux fait apparaître un taux de croissance de cette marge positif jusqu’en août mais négatif ensuite, ce qui n’apparaissait pas en annuel. Ce résultat est expliqué par une baisse du taux de croissance de la marge du stock à taux variable et révisable court terme plus marquée en fin d’année alors que le taux de croissance de la marge d’intérêt du stock à taux variable long terme n’évolue pas à cette période.
Enfin, le taux de croissance de la marge d’intérêt risquée de la production nouvelle reflète une baisse de plus de 300% par rapport à la marge du scénario de la CELIM. Ce résultat est dû au fait que la valeur absolue de la marge risquée du scénario de la CELIM, augmente au cours de l’année alors que parallèlement, la valeur absolue de la marge du scénario 1 ne cesse de diminuer.
Nous étudions maintenant l’impact de l’inversion de la courbe des taux au cours de l’année 1999 sur la marge d’intérêt mensuelle risquée du stock (graphique 8) et de la production nouvelle (graphique 9).
Comme l’ont montré les simulations annuelles, la hausse des taux de marché a un impact négatif sur la marge d’intérêt risquée du bilan et du hors-bilan. Les taux de croissance des différentes marges risquées du stock et de la production nouvelle présentent les mêmes tendances que ceux du scénario 1 mais leurs niveaux sont différents.
En effet, compte tenu de la plus forte hausse des taux de marché court terme, le taux de croissance en valeur absolue de la marge du stock à taux variable et révisable court terme et de la production nouvelle est plus élevé que pour le scénario 1.
De même, la moindre hausse des taux de marché long terme engendre un taux de croissance en valeur absolue plus faible de la marge du stock à taux variable long terme et de celle de la production nouvelle à taux fixe.
Graphique 8 : Taux de croissance de la marge d’intérêt du stock du scénario 2 par rapport au scénario de la CELIM
Graphique 9 : Taux de croissance de la marge d’intérêt de la production nouvelle du scénario 2 par rapport au scénario de la CELIM
Les deux scénarios de taux précédents ont permis d’étudier l’impact d’une hausse des taux de marché dans le cas d’une structure par terme des taux normale puis inversée sans faire varier les taux réglementés. A l’inverse, nous nous intéressons maintenant à l’effet d’une hausse des taux réglementés par rapport au scénario de la CELIM sans faire évoluer les taux de marché.
L’effet de la hausse des taux réglementés, toutes choses étant égales par ailleurs, sur la marge d’intérêt mensuelle du stock et de la production nouvelle est représenté sur les graphiques 10 et 11.
Naturellement, la sensibilité de la marge à taux réglementé non stratifiée va dans le même sens que ce qui a été mis en évidence avec la périodicité annuelle.
La hausse des taux réglementés engendre une perte sur la marge d’intérêt à taux réglementés non stratifiée du stock et de la production nouvelle, compte tenu de leurs impasses excédentaires en ressources.
La marge à taux fixe, excédentaire en emplois, connaît une légère hausse puisqu’elle comprend des prêts indexés sur des taux réglementés.
Graphique 10 : Taux de croissance de la marge d’intérêt du stock du scénario 3 par rapport au scénario de la CELIM
Graphique 11 : Taux de croissance de la marge d’intérêt de la production nouvelle du scénario 3 par rapport au scénario de la CELIM
Dans ce chapitre, nous avons affiné la mesure du risque de taux d’intérêt utilisée par la CELIM en mensualisant ses objectifs et les scénarios de taux d’intérêt. Nous avons également mis en évidence la sensibilité de la marge d’intérêt de la CELIM à la hausse des taux d’intérêt de marché et des taux réglementés par rapport au scénario de taux de la CELIM. Pour cela, plusieurs étapes ont été nécessaires. Tout d’abord, nous avons recensé les opérations sensibles à l’évolution des taux d’intérêt pour construire les impasses risquées par type de taux. Nous avons ensuite défini des scénarios mensuels de hausse des taux de marché et des taux réglementés. Puis, nous avons indexé les taux de référence des opérations risquées sur les taux des scénarios de taux pour enfin pouvoir simuler l’impact de la hausse des taux sur la marge d’intérêt de la CELIM.
Cette analyse de la sensibilité de la marge d’intérêt à l’évolution des taux d’intérêt a confirmé la nécessité d’affiner une analyse annuelle. En effet, l’exposition au risque de taux d’intérêt varie au cours de l’année, elle est plus ou moins élevée que ce que font apparaître des objectifs annuels. Par ailleurs, la mensualisation des objectifs et des scénarios de taux est d’autant plus nécessaire que la part dans le bilan et le hors-bilan des opérations à taux variable et révisable avec une périodicité de révision supérieure à un mois est importante.
La mesure du risque de taux d’intérêt est une étape importante mais non suffisante dans le processus de contrôle du risque de taux. Elle constate l’exposition au risque de taux d’intérêt et indique implicitement la structure générale du bilan à adopter, c'est-à-dire quelles sont les impasses risquées par type de taux à privilégier ou à réduire pour se protéger contre le risque de taux d’intérêt. En revanche, elle ne procure pas de stratégie précise pour gérer ce risque. C’est la raison pour laquelle nous proposons dans le chapitre suivant une méthode pour gérer le risque de taux d’intérêt de la CELIM.
| Opérations du stock à taux réglementé non stratifiées et à taux variable | Taux de référence1 | Nature des taux | Périodicité de l’échéancement | ||
| P3 Clientèle | |||||
| Sa1 | Prêts bonifiés aux entreprises | Codevi | R2 | ||
| Sa2 | Découverts Entreprises | TBB | V3 | trimestriel, moyenne 3 derniers TBB | |
| Sa3 | Prêts collectivités locales + GM4 | Pibor 3 | V | trimestriel | |
| Sa4 | Prêts collectivités locales + GM | Pibor 6 | V | trimestriel | |
| Sa5 | Prêts collectivités locales + GM | Pibor 12 | V | trimestriel | |
| Sa6 | Prêts collectivités locales GM | TAM | V | annuel, moyenne des 12 derniers TAM | |
| Sa7 | Prêts collectivités locales GM | TME | V | annuel, moyenne des 12 derniers TME, taux plancher : 6.75 | |
| Sa8 | Prêts collectivités locales renégociés | Pibor 12 | V | trimestriel | |
| Sa9 | Prêts collectivités locales lignes de crédit | Pibor 1 | V | mensuel | |
| Sa10 | Prêts collectivités locales lignes de crédit | Pibor 3 | V | trimestriel | |
| Sa11 | Prêts collectivités locales lignes de crédit | Pibor 6 | V | semestriel | |
| Sa12 | Prêts collectivités locales lignes de crédit | Pibor 12 | V | mensuel | |
| Sa13 | Prêts collectivités locales lignes de crédit | T4M | V | mensuel | |
| Sa14 | Prêts Société de Crédit Immobilier | Pibor 3 | V | trimestriel | |
| Sa15 | Prêts Société de Crédit Immobilier | Pibor 12 | V | annuel | |
| Sa16 | Prêts aux conditions de marché GM | Pibor 6 | V | semestriel | |
| Sa17 | Prêts aux conditions de marché GM | Pibor 12 | V | annuel | |
| Sa18 | Prêts aux grands comptes | Pibor 6 | V | semestriel | |
| Sa19 | Prêts à l'habitat (dont PC PAP) + GM | Pibor 12 | V | mensuel, taux plancher : 4.23taux plafond:8.01 | |
| P3 Titres et trésorerie | |||||
| Sa20 | EMTN variable placement | Pibor 6 | V | ||
| Sa21 | Obligations domestiques variable placement | TME | V | ||
| Sa22 | Obligations domestiques variable placement | p5 % TMO | V | annuel, taux plancher : 5.50 | |
Les opérations en gras appartiennent à des groupes de risque. Les autres opérations sont risquées et ont un niveau de risque qui leur est spécifique.
1 Par souci de confidentialité, les marges associées à chaque type d’opérations ne sont pas précisées.
2 V : taux variable ou révisable
3 R : taux réglementé
4 GM : gestion manuelle. Les taux de ces prêts en gestion manuelle sont fixés au cas par cas. Par mesure de simplification ces opérations n’apparaissent pas distinctement ici. Elles sont regroupées avec les types d’opérations leur correspondant.
5 p correspond à une marge multiplicative et non pas additive comme pour les autres types d’opérations.
| Opérations du stock à taux réglementé non stratifiées et à taux variable | Taux de référence1 | Nature des taux | Périodicité de l’échéancement | |
| P3 Clientèle | ||||
| Sp1 | 15 % LEP | LEP | R2 | |
| Sp2 | Livret B | Livret B | R | |
| Sp3 | Livret Jeunes | Livret Jeunes | R | |
| Sp4 | PEP Performance | Livret A + 1,50 | R | |
| Sp5 | Livret Epargne Logement | CEL | R | |
| Sp6 | Ressource CODEVI P2 (47.50%) | CODEVI | R | |
| Sp7 | Dépôts à vue crédit immobilier | T4M | V3 | trimestriel, moyenne 3 derniers T4M |
| P3 Titres et Trésorerie | ||||
| Sp8 | Emprunts directs | pibor 3 | V | trimestriel |
| Sp9 | Emprunts directs | TME | V | annuel |
| Sp10 | Emprunt Ecureuil | pibor 3 | V | trimestriel |
| Sp11 | Emprunt Ecureuil | TAM | V | annuel, moyenne 12 derniers TAM |
| Sp12 | Emprunt Ecureuil | TME | V | annuel, moyenne 12 derniers TME |
| Sp13 | Emprunt Ecureuil | p4 % TMO | V | annuel, taux plancher : 5,50 |
| Hors-bilan | ||||
| Sp14 | Swap de taux | pibor 3 | V | trimestriel |
Les opérations en gras appartiennent à des groupes de risque.
1 Par mesure de confidentialité, les marges associées à chaque type d’opérations ne sont pas précisées.
2 R : taux réglementé
3 V : taux variable ou révisable
4 p correspond à une marge multiplicative et non pas additive comme pour les autres types d’opérations.
| Opérations de la production nouvelle | Taux de référence1 | Nature des taux | Périodicité de l’échéancement | Intérêts | Durée | ||
| P1 | |||||||
| Livret A centralisé CDC | Livret A + 1.20% | R2 | amortissement constant | 31/12 | 10 ans | ||
| 85 % LEP centralisé CDC | LEP + 0.5% | R | amortissement constant | 31/12 | 10 ans | ||
| P2 | |||||||
| Ressource Codevi 52.5 centralisé CDC | CODEVI + 1.5% | R | amortissement constant | 31/12 | 10 ans | ||
| P3 Clientèle | |||||||
| Pa1 | Carte Aurore | Aurore | F3 | n+1=(1-0.0645)n | |||
| Pa2 | Découverts Particuliers | DECpart | F | mensualités constantes | mensuels | 10 ans | |
| Liquidités-caisse | 0 | F | mensualités constantes | ||||
| Différé particuliers | 0 | F | mensualités constantes | 1 an | |||
| Pa3 | Prêts à la consommation (3 ans) | OAT 3 | F | mensualités constantes | 3 ans | ||
| Pa4 | Prêts Etudiants | OAT 3 | F | mensualités constantes | 4,5 ans | ||
| Pa5 | Prêts à l'habitat | OAT 10 | F | mensualités constantes | 12 ans | ||
| Pa6 | Prêts à l'habitat | Pibor 12 | V4 | mensualités constantes | 10 ans | ||
| Pa7 | Prêts Epargne Logement Livret | PCEL | F | trimestrialités constantes | 7 ans | ||
| Pa8 | Prêts Epargne Logement | PPEL | F | trimestrialités constantes | 10,5 ans | ||
| Pa9 | Découverts Entreprises | TBB | F | n+1=n | mensuels | 10 ans | |
| Pa10 | Prêts conventionnés | OAT 10 | F | trimestrialités constantes | 9 ans | ||
| Pa11 | Prêts entreprises autres | TBB | F | in fine | 1 an | ||
| Pa12 | Prêts bancaires aux entreprises | CODEVI | F | trimestrialités constantes | 5,5 ans | ||
| Pa13 | Prêts aux conditions de marché | OAT 10 | F | trimestrialités constantes | 8 ans | ||
| Pa14 | Prêts bonifiés | Prêt bonifié | F | trimestrialités constantes | 8 ans | ||
| Pa15 | Prêts aux Associations | OAT 10 | F | trimestrialités constantes | 2 ans | ||
| Pa16 | Prêts Collectivités locales | OAT 10 | F | annuités constantes | 14 ans | ||
| Pa17 | Prêts Collectivités locales | Pibor 3 | V | trimestrialités constantes | 14 ans | ||
| Pa18 | Prêts Collectivités locales lignes de crédit | Pibor 12 | V | in fine | 1an | ||
| Pa19 | Prêts interbancaires > 1 an | OAT 5 | F | in fine | 5 ans | ||
| Pa20 | Prêt Réserves Obligatoires | taux des appels d’offre | F | 1 mois | |||
| Fonds de roulement | |||||||
| Immobilisations de placement et participations | IPP | F | in fine | 10 ans | |||
| Immobilisations d’exploitation | 0 | F | amortissement constant | 7 ans | |||
Les opérations en italique sont sans risque. Les opérations en gras appartiennent à des groupes de risque.
1 Par mesure de confidentialité, les marges associées à chaque type d’opérations ne sont pas précisées.
2 R : taux réglementé
3 F : taux fixe
4 V : taux variable ou révisable
| Opérations de la production nouvelle | Taux de référence1 | Nature des taux | Périodicité de l’échéancement | Intérêts | Durée | |
| P1 | ||||||
| Livret A | Livret A | R2 | amortissement constant | 31/12 | 10 ans | |
| 85 % LEP | LEP | R | amortissement constant | 31/12 | 10 ans | |
| P2 | ||||||
| Ressource Codevi 52.5 | CODEVI | R | amortissement constant | 31/12 | 10 ans | |
| P3 Clientèle | ||||||
| Dépôts à vue particuliers | DAVpart | F3 | n+1=n | |||
| Dépôts à vue entreprises | DAVent | F | n+1=n | |||
| Dépôts à vue PER PEA | 0 | n+1=n | ||||
| Pp1 | 15 % LEP | LEP | R | amortissement constant | 31/12 | 10 ans |
| Pp2 | Ressource Codevi 47.5 | CODEVI | R | amortissement constant | 31/12 | 10 ans |
| Pp3 | Livret B | Livret B | R | amortissement constant | 31/12 | 10 ans |
| Pp4 | Livret Jeunes | Livret Jeunes | R | amortissement constant | 31/12 | 10 ans |
| Pp5 | Bons de caisse | Pibor 3 | F | in fine | in fine | 3 mois |
| Pp6 | Bons d'Epargne | Bons d’épargne | F | in fine | 5 ans | |
| Pp7 | ICNE5 sur bons d'épargne | Bons d’épargne | F | mensuel | ||
| Pp8 | Comptes à terme | Pibor 3 | F | in fine | in fine | 3 mois |
| Pp9 | PEP Placement 2 G nouvelles ouvertures | PEP 2G | R | in fine | date anniversaire | 10 ans |
| Pp10 | PEP Permanence nouvelles ouvertures | Livret A + 1.5% | R | in fine | 31/12 | 8 ans |
| Pp11 | Comptes à terme du PEP | CAT PEP | R | in fine | 31/12 | 8 ans |
| Pp12 | PEP Placement 1 G | Livret A + 1.5% | R | in fine | date anniversaire | 10 ans |
| Pp13 | PEP Permanence | Livret A + 1.5% | R | in fine | 31/12 | 10 ans |
| Excédent négatif PEP 1G | R | |||||
| Excédent négatif PEP performance | R | |||||
| Pp14 | Livret Epargne Logement | R | amortissement constant | 31/12 | 10 ans | |
| Pp15 | Comptes à terme PEL capital | CAT PEL | F | capitalisation mensuelle | i trimestriels | 4 ans |
| Pp16 | PEL 4 taux 2.9 (nouvelles ouvertures) | PEL | R | amortissement constant | date anniversaire | 10 ans |
| Excédent négatif PEL 4.62 | 4.62% | R | ||||
| Excédent négatif PEL 3.84 | 3.84% | R | ||||
| Pp17 | Emprunt Ecureuil | OAT 10 | F | in fine | i annuels | 10 ans |
| Pp18 | Emprunt Ecureuil | Pibor 3 | V4 | in fine | i trimestriels | 10 ans |
| Pp19 | Emprunt JJ | JJ | F | 1 jour | ||
| Fonds de roulement | ||||||
| Capital | 0 | 30 ans | ||||
Les opérations en italique sont sans risque. Les opérations en gras appartiennent à des groupes de risque.
1 Par mesure de confidentialité, les marges associées à chaque type d’opérations ne sont pas précisées.
2 R : taux réglementé
3 F : taux fixe
4 V : taux variable ou révisable
5 ICNE :intérêts courus non échus
Toutes les simulations de ce chapitre sont réalisées à partir du bilan et du hors-bilan de la Caisse d’Epargne du Limousin définis dans le cadre de la remontée des prévisions au CENCEP, datée du 18 janvier 1999.
Le stock du bilan et du hors-bilan est arrêté au 30 juin 1998.
Les productions nouvelles 1998, 1999 prennent effet respectivement au 30 juin 1998 et au 31 décembre 1998.
Le stock que nous considérons est en fait constitué du stock au 30 juin 1998 et des prévisions 1998. Nous obtenons ainsi un stock au 31 décembre 1998.
Nous apportons deux modifications aux prévisions 1999 :
Les résultats obtenus dans les simulations annuelles et mensuelles sont ainsi parfaitement comparables entre eux mais également avec les prévisions 1999 de la Caisse d'Epargne du Limousin.
| janv | févr | mars | avr | mai | juin | juil | août | sept | oct | nov | déc | |
| 1 mois | 3.164 | 3.126 | 3.053 | 2.697 | 2.566 | 2.606 | 2.635 | 2.614 | 2.584 | 2.754 | 3.053 | 3.507 |
| 3 mois | 3.139 | 3.094 | 3.046 | 2.698 | 2.578 | 2.627 | 2.677 | 2.695 | 2.717 | 3.368 | 3.466 | 3.445 |
| 6 mois | 3.100 | 3.042 | 3.024 | 2.706 | 2.598 | 2.678 | 2.899 | 3.051 | 3.107 | 3.448 | 3.483 | 3.513 |
| 12 mois | 3.070 | 3.033 | 3.044 | 2.758 | 2.682 | 2.838 | 3.022 | 3.233 | 3.301 | 3.672 | 3.689 | 3.829 |
| 2 ans | 2.975 | 3.011 | 3.032 | 2.781 | 2.780 | 3.082 | 3.295 | 3.438 | 3.563 | 3.994 | 3.964 | 4.160 |
| 5 ans | 3.259 | 3.405 | 3.468 | 3.258 | 3.327 | 3.723 | 4.103 | 4.299 | 4.443 | 4.757 | 4.571 | 4.650 |
| 10 ans | 3.71 | 4.08 | 4.10 | 3.90 | 4.23 | 4.63 | 4.88 | 5.02 | 5.24 | 5.28 | 5.27 | 5.47 |
| T4M | 3.13 | 3.11 | 2.92 | 2.74 | 2.55 | 2.56 | 2.49 | 2.44 | 2.45 | 2.49 | 2.93 | 3.06 |
| TAM | 3.43 | 3.41 | 3.37 | 3.31 | 3.24 | 3.17 | 3.09 | 3.01 | 2.93 | 2.85 | 2.81 | 2.81 |
| TME | 3.95 | 4.08 | 4.23 | 4.07 | 4.28 | 4.61 | 4.86 | 5.01 | 5.23 | 5.39 | 5.21 | 5.34 |
| TMO | 4.13 | 4.42 | 3.87 | 4.38 | 4.45 | 4.36 | 5.08 | 5.46 | 5.45 | 5.71 | 5.66 | 5.16 |
| TBB | 6.55 | 6.55 | 6.55 | 6.55 | 6.55 | 6.55 | 6.55 | 5.95 | 5.95 | 5.95 | 6.30 | 6.30 |
| Taux des appels d'offre | 3.00 | 3.00 | 3.00 | 2.50 | 2.50 | 2.50 | 2.50 | 2.50 | 2.50 | 2.50 | 3.00 | 3.00 |
Source : Banque de France
Graphique 3.6.1 : Evolution mensuelle des principaux taux français en 1999

| janv | févr | mars | avr | mai | juin | juil | août | sept | oct | nov | déc | |
| Livret A | 3.00 | 3.00 | 3.00 | 3.00 | 3.00 | 3.00 | 3.00 | 2.25 | 2.25 | 2.25 | 2.25 | 2.25 |
| LEP | 4.75 | 4.75 | 4.75 | 4.75 | 4.75 | 4.75 | 4.75 | 4.00 | 4.00 | 4.00 | 4.00 | 4.00 |
| CODEVI | 3.00 | 3.00 | 3.00 | 3.00 | 3.00 | 3.00 | 3.00 | 2.25 | 2.25 | 2.25 | 2.25 | 2.25 |
| Livret B | 3.00 | 3.00 | 3.00 | 3.00 | 3.00 | 3.00 | 3.00 | 2.50 | 2.50 | 2.50 | 2.50 | 2.50 |
| Livret Jeunes | 4.00 | 4.00 | 4.00 | 4.00 | 4.00 | 4.00 | 4.00 | 3.25 | 3.25 | 3.25 | 3.25 | 3.25 |
| LEL | 2.25 | 2.25 | 2.25 | 2.25 | 2.25 | 2.25 | 2.25 | 2.25 | 2.25 | 2.25 | 2.25 | 2.25 |
| PEP perf | 4.50 | 4.50 | 4.50 | 4.50 | 4.50 | 4.50 | 4.50 | 3.75 | 3.75 | 3.75 | 3.75 | 3.75 |
| PEP 2G | 3.75 | 3.25 | 3.25 | 3.00 | 3.00 | 3.00 | 3.00 | 3.00 | 4.00 | 4.00 | 4.00 | 4.00 |
| PEP perm | 4.50 | 4.50 | 4.50 | 4.50 | 4.50 | 4.50 | 4.50 | 3.75 | 3.75 | 3.75 | 3.75 | 3.75 |
| PEL | 4.00 | 4.00 | 4.00 | 4.00 | 4.00 | 4.00 | 4.00 | 3.60 | 3.60 | 3.60 | 3.60 | 3.60 |
| Bons épargne | 3.45 | 3.45 | 3.00 | 3.00 | 3.00 | 3.00 | 3.00 | 3.00 | 3.00 | 3.00 | 3.00 | 3.00 |
| Aurore | 14.88 | 14.88 | 14.88 | 14.88 | 14.88 | 14.88 | 14.88 | 14.88 | 14.88 | 14.88 | 14.88 | 14.88 |
| Découverts particuliers | 15.50 | 12.00 | 12.00 | 12.00 | 12.00 | 12.00 | 12.00 | 12.00 | 12.00 | 12.00 | 12.00 | 12.00 |
Ces taux annuels sont calculés comme la moyenne arithmétique des taux mensuels en 1999 de l’annexe 3.6.
| Taux | 1 mois | 3 mois | 6 mois | 1 an | 2 ans | 5 ans | 10 ans | |||||
| 2.86 | 2.96 | 3.05 | 3.18 | 3.34 | 3.94 | 4.65 | ||||||
| Taux | T4M | TAM | TME | TMO | TBB | Taux des appels d’offre | ||||||
| 2.74 | 3.12 | 4.69 | 4.84 | 6.36 | 2.71 | |||||||
| Epargne réglementée non stratifiée | ||||||||||||
| Produits | Livret A | LEP | Codevi | Livret B | Livret Jeunes | LEL | PEP performance | |||||
| Taux | 2.69 | 4.44 | 2.69 | 2.79 | 3.69 | 2.69 | 4.19 | |||||
| Epargne réglementée stratifiée | ||||||||||||
| Produits | PEP 1G | PEP 2G | PEP permanence | CAT PEP | PEL | Bons d’épargne | ||||||
| Taux | 4.19 | 3.44 | 4.19 | 3.00 | 3.83 | 3.08 | ||||||
| Produits | Aurore | Découverts particuliers | Prêts PEL |
| Taux | 14.88 | 12.29 | 5.96 |
| janv | févr | mars | avr | mai | juin | juil | août | sept | oct | nov | déc | |
| 1 mois | 3.10 | 3.284 | 3.450 | 3.634 | 3.811 | 3.995 | 4.173 | 4.357 | 4.541 | 4.718 | 4.902 | 5.080 |
| 3 mois | 3.18 | 3.366 | 3.533 | 3.719 | 3.899 | 4.084 | 4.264 | 4.449 | 4.635 | 4.815 | 5.000 | 5.180 |
| 6 mois | 3.27 | 3.449 | 3.610 | 3.789 | 3.962 | 4.141 | 4.314 | 4.492 | 4.671 | 4.844 | 5.023 | 5.196 |
| 12 mois | 3.35 | 3.524 | 3.682 | 3.856 | 4.025 | 4.199 | 4.368 | 4.542 | 4.716 | 4.885 | 5.059 | 5.228 |
| 2 ans | 3.37 | 3.548 | 3.709 | 3.888 | 4.060 | 4.239 | 4.411 | 4.589 | 4.768 | 4.940 | 5.119 | 5.291 |
| 3 ans | 3.52 | 3.690 | 3.844 | 4.014 | 4.179 | 4.350 | 4.514 | 4.685 | 4.855 | 5.020 | 5.190 | 5.355 |
| 5 ans | 3.81 | 3.965 | 4.105 | 4.261 | 4.411 | 4.566 | 4.716 | 4.871 | 5.026 | 5.177 | 5.332 | 5.482 |
| 10 ans | 4.30 | 4.439 | 4.565 | 4.704 | 4.839 | 4.978 | 5.113 | 5.252 | 5.391 | 5.526 | 5.665 | 5.80 |
| T4M | 3.01 | 3.202 | 3.376 | 3.568 | 3.754 | 3.946 | 4.132 | 4.324 | 4.516 | 4.702 | 4.894 | 5.0800 |
| TAM | 3.10 | 3.100 | 3.192 | 3.278 | 3.456 | 3.632 | 3.813 | 3.993 | 4.175 | 4.357 | 4.539 | 4.720 |
| TME | 4.30 | 4.439 | 4.565 | 4.704 | 4.839 | 4.978 | 5.113 | 5.252 | 5.391 | 5.526 | 5.665 | 5.80 |
| TMO | 4.30 | 4.439 | 4.565 | 4.704 | 4.839 | 4.978 | 5.113 | 5.252 | 5.391 | 5.526 | 5.665 | 5.80 |
| TBB | 6.55 | 6.55 | 6.55 | 6.55 | 6.55 | 6.55 | 7.05 | 7.05 | 7.05 | 7.05 | 7.05 | 7.05 |
| Taux des appels d'offre | 3.00 | 3.188 | 3.359 | 3.547 | 3.729 | 3.918 | 4.100 | 4.289 | 4.477 | 4.659 | 4.848 | 5.03 |
| janv | févr | mars | avr | mai | juin | juil | août | sept | oct | nov | déc | |
| 1 mois | 3.10 | 3.330 | 3.538 | 3.768 | 3.991 | 4.221 | 4.444 | 4.674 | 4.904 | 5.127 | 5.357 | 5.580 |
| 3 mois | 3.18 | 3.412 | 3.622 | 3.854 | 4.078 | 4.310 | 4.535 | 4.767 | 4.999 | 5.223 | 5.455 | 5.680 |
| 6 mois | 3.27 | 3.492 | 3.692 | 3.913 | 4.128 | 4.349 | 4.564 | 4.785 | 5.007 | 5.221 | 5.443 | 5.657 |
| 12 mois | 3.35 | 3.560 | 3.750 | 3.960 | 4.163 | 4.373 | 4.576 | 4.786 | 4.996 | 5.199 | 5.409 | 5.612 |
| 2 ans | 3.37 | 3.570 | 3.750 | 3.950 | 4.143 | 4.343 | 4.536 | 4.736 | 4.936 | 5.129 | 5.329 | 5.522 |
| 3 ans | 3.52 | 3.697 | 3.858 | 4.035 | 4.207 | 4.384 | 4.556 | 4.733 | 4.911 | 5.083 | 5.260 | 5.432 |
| 5 ans | 3.81 | 3.944 | 4.065 | 4.198 | 4.328 | 4.462 | 4.591 | 4.725 | 4.859 | 4.988 | 5.122 | 5.251 |
| 10 ans | 4.30 | 4.346 | 4.388 | 4.435 | 4.480 | 4.526 | 4.571 | 4.617 | 4.664 | 4.709 | 4.755 | 4.80 |
| T4M | 3.01 | 3.249 | 3.464 | 3.703 | 3.933 | 4.172 | 4.403 | 4.641 | 4.880 | 5.111 | 5.349 | 5.5800 |
| TAM | 3.10 | 3.100 | 3.215 | 3.323 | 3.546 | 3.766 | 3.993 | 4.219 | 4.446 | 4.674 | 4.902 | 5.130 |
| TME | 4.30 | 4.346 | 4.388 | 4.435 | 4.480 | 4.526 | 4.571 | 4.617 | 4.664 | 4.709 | 4.755 | 4.80 |
| TMO | 4.30 | 4.346 | 4.388 | 4.435 | 4.480 | 4.526 | 4.571 | 4.617 | 4.664 | 4.709 | 4.755 | 4.80 |
| TBB | 6.55 | 6.55 | 6.55 | 6.55 | 6.55 | 6.55 | 6.55 | 7.05 | 7.05 | 7.05 | 7.05 | 7.05 |
| Taux des appels d'offre | 3.00 | 3.235 | 3.447 | 3.682 | 3.909 | 4.144 | 4.371 | 4.606 | 4.841 | 5.068 | 5.303 | 5.53 |
| janv | févr | mars | avr | mai | juin | juil | août | sept | oct | nov | déc | |
| Livret A | 2.72 | 2.72 | 2.72 | 2.72 | 2.72 | 2.72 | 2.72 | 2.97 | 2.97 | 2.97 | 2.97 | 2.97 |
| LEP | 4.90 | 4.90 | 4.90 | 4.90 | 4.90 | 4.90 | 4.90 | 5.15 | 5.15 | 5.15 | 5.15 | 5.15 |
| CODEVI | 3.21 | 3.21 | 3.21 | 3.21 | 3.21 | 3.21 | 3.21 | 3.46 | 3.46 | 3.46 | 3.46 | 3.46 |
| Livret B | 3.21 | 3.21 | 3.21 | 3.21 | 3.21 | 3.21 | 3.21 | 3.46 | 3.46 | 3.46 | 3.46 | 3.46 |
| Livret Jeunes | 4.43 | 4.43 | 4.43 | 4.43 | 4.43 | 4.43 | 4.43 | 4.68 | 4.68 | 4.68 | 4.68 | 4.68 |
| LEL | 2.23 | 2.23 | 2.23 | 2.23 | 2.23 | 2.23 | 2.23 | 2.48 | 2.48 | 2.48 | 2.48 | 2.48 |
| PEP perf | 4.25 | 4.25 | 4.25 | 4.25 | 4.25 | 4.25 | 4.25 | 4.50 | 4.50 | 4.50 | 4.50 | 4.50 |
| PEP 1G | 4.25 | 4.25 | 4.25 | 4.25 | 4.25 | 4.25 | 4.25 | 4.50 | 4.50 | 4.50 | 4.50 | 4.50 |
| PEP 2G nouv | 4.00 | 4.00 | 4.00 | 4.00 | 4.00 | 4.00 | 4.00 | 4.25 | 4.25 | 4.25 | 4.25 | 4.25 |
| PEP perm | 4.25 | 4.25 | 4.25 | 4.25 | 4.25 | 4.25 | 4.25 | 4.50 | 4.50 | 4.50 | 4.50 | 4.50 |
| CAT PEP | 3.25 | 3.25 | 3.25 | 3.25 | 3.25 | 3.25 | 3.25 | 3.50 | 3.50 | 3.50 | 3.50 | 3.50 |
| PEL | 3.15 | 3.15 | 3.15 | 3.15 | 3.15 | 3.15 | 3.15 | 3.40 | 3.40 | 3.40 | 3.40 | 3.40 |
| CAT PEL | 2.90 | 2.90 | 2.90 | 2.90 | 2.90 | 2.90 | 2.90 | 3.15 | 3.15 | 3.15 | 3.15 | 3.15 |
| Bons épargne | 3.70 | 3.70 | 3.70 | 3.70 | 3.70 | 3.70 | 3.70 | 3.95 | 3.95 | 3.95 | 3.95 | 3.95 |
| Aurore | 15.13 | 15.13 | 14.88 | 14.88 | 14.88 | 14.88 | 14.88 | 15.38 | 15.38 | 15.88 | 15.88 | 15.88 |
| Découverts particuliers | 12.17 | 12.17 | 11.92 | 11.92 | 11.92 | 11.92 | 11.92 | 12.42 | 12.42 | 12.42 | 12.42 | 12.42 |
| Prêts bonifiés | 5.00 | 5.00 | 4.75 | 4.75 | 4.75 | 4.75 | 4.75 | 5.25 | 5.25 | 5.00 | 5.00 | 5.00 |
| Prêt LEL | 4.25 | 4.25 | 4.25 | 4.25 | 4.25 | 4.25 | 4.25 | 4.50 | 4.50 | 4.50 | 4.50 | 4.50 |
| Prêt PEL | 6.00 | 6.00 | 6.00 | 6.00 | 6.00 | 6.00 | 6.00 | 6.25 | 6.25 | 6.25 | 6.25 | 6.25 |
Dans ce chapitre, nous proposons une méthode qui permet à la CELIM de gérer son risque de taux d’intérêt en ajustant son stock avec la production nouvelle dont les opérations, aux taux d’intérêt incertains, sont considérées comme risquées. Pour cela, nous construisons un modèle de choix de portefeuille incorporant diverses contraintes commerciales et réglementaires. Ce modèle détermine la répartition optimale des opérations de la production nouvelle risquée en arbitrant entre le rendement associé à chacune des opérations risquées du bilan et du hors-bilanNote43. et le risque global du bilan et du hors-bilan, tout en tenant compte des corrélations entre les taux des opérations. Plus précisément, le modèle de choix de portefeuille détermine la répartition de la production nouvelle qui maximise l’espérance de l’utilité de la CELIM, définie comme l’écart entre la marge d’intérêt et le risque du bilan, pour des scénarios du niveau et de la volatilité des taux donnés, tout en respectant la réglementation ainsi qu’une certaine diversification qui permet de répondre à la demande de la clientèle.
La prise en compte de l’incertitude sur les taux d’intérêt et donc de leur volatilité permet de tenir compte du risque auquel est exposé la CELIM. Compte tenu du cadre d’analyse retenu, la CELIM est considérée comme adverse au risque, hypothèse plus réaliste que celle de neutralité qui découle de son processus actuel de contrôle du risque de taux d’intérêt, qui consiste à mesurer le risque de taux d’intérêt avec une évolution certaine des taux d’intérêt.
Ce chapitre est organisé en deux sections. Nous adaptons notre modèle de choix de portefeuille en présence de contraintes réglementaires du chapitre 2 au bilan de la CELIM puis nous expérimentons notre méthode de gestion du risque de taux d’intérêt en réalisant un certain nombre de simulations avec une périodicité annuelle puis mensuelle.
Pour adapter notre modèle théorique de choix de portefeuille du chapitre 2 au bilan de la CELIM, plusieurs étapes sont nécessaires. Tout d’abord, nous devons nous assurer qu’à chaque opération risquée du modèle de choix de portefeuille correspond un niveau de risque spécifique, le risque d’une opération étant mesuré par la variance de son taux Note44. pour une période donnée. Ainsi, les opérations indexées sur les mêmes taux et par conséquent qui présentent le même niveau de risque doivent être regroupées. Ensuite, nous définissons la fonction objectif et les différentes contraintes qui constituent le modèle de choix de portefeuille de la CELIM puis nous présentons ce modèle de manière synthétique.
Dans le chapitre précédent, nous avons recensé les opérations risquées du bilan de la CELIM pour construire les impasses risquées et mesurer la sensibilité de la marge d’intérêt de la CELIM à l’évolution des taux d’intérêt. Dans ce chapitre, nous nous intéressons au niveau de risque associé à chaque opération risquée pour pouvoir regrouper les opérations qui présentent le même niveau de risque.
Avant de répertorier, et éventuellement de regrouper les opérations risquées du bilan qui présentent le même niveau de risque, nous exposons les critères requis pour mener cette démarche.
Une opération est dite risquée au cours d’une période donnée si son taux observé a varié au cours de cette même période, c'est-à-dire si sa variance n’est pas nulle. Pour des raisons de disponibilité des données concernant les taux des opérations du bilan de la CELIM, la période que nous retenons pour définir si une opération est risquée ou non est la période 1992-1998. Par conséquent, une opération dont le taux n’a pas varié au cours de cette période est considérée comme sans risque. A l’inverse, une opération dont le taux a varié au cours de la période 1992-1998 est risquée.
Le risque du bilan est représenté par la matrice des variances-covariances des taux des opérations du bilan de la CELIM, les interactions entre les différentes opérations risquées étant caractérisées par les covariances de leurs taux. Dans notre problématique de court terme, l’information concernant l’évolution des taux la plus récente est la plus pertinente. Pour que notre matrice des variances-covariances reflète le risque du bilan le plus récent possible, elle est calculée à partir de l’évolution des taux de l’année précédent l’année de nos simulations, soit 1998.
Nous avons constaté que les coefficients de corrélation entre les taux sont plus ou moins élevés selon la période sur laquelle ils sont calculés. En particulier, les corrélations entre les opérations sont plus élevées lorsque la période retenue est toute l’année 1998 que lorsque la période retenue est uniquement le second semestre de l’année 1998. Des coefficients de corrélation élevés limitent évidemment les possibilités de diversification, intrinsèques au modèle de choix de portefeuille. Dans ce sens, il est préférable que les coefficients de corrélation de la matrice des variances-covariances ne soient pas trop élevés. Nous souhaitons néanmoins observer l’impact du niveau de risque sur la répartition optimale de la production nouvelle. Par conséquent, nous considérons deux niveaux de risque différents en calculant deux matrices des variances-covariances, une pour l’année 1998 et une pour le second semestre de l’année 1998Note45. .
Cette matrice des variances-covariances doit être inversible, elle ne doit donc avoir aucune ligne ou colonne identique. Chaque ligne et chaque colonne de la matrice des variances-covariances doivent représenter un niveau de risque spécifique. Cela nécessite, par conséquent, de regrouper les opérations qui présentent le même niveau de risque. En effet, parmi les opérations risquées, les opérations à taux réglementé non stratifiées de la production nouvelle présentent le même niveau de risque que leurs homologues du stock, ce qui n’est pas le cas des opérations à taux variable.
Plus précisément, l’historique du taux d’un type d’opérations à taux variable du stock ou de la production nouvelle, est obtenu à partir des historiques du taux de marché et de la marge commerciale associée à cette opération tel que :
(4.1)
avec ti,t, le taux de l’opération i à la date t,
ri,t, le taux de marché de l’opération i à la date t,
mi,t, la marge commerciale de l’opération i à la date t.
Comme les taux de référence, les marges commerciales évoluent au cours du temps, bien qu’elles soient moins volatiles que les taux de marché. Elles ont notamment eu tendance à diminuer au cours des dix dernières années avec l’accroissement de la concurrence. Les taux ti,t des opérations souscrites au cours de cette période sont donc associés à différentes marges commerciales. En d’autres termes, pour chaque type d’opérations, nous avons des opérations qui ont été souscrites à différentes dates et auxquelles sont associées différentes marges commerciales. Les marges commerciales sont cependant calculées différemment selon que nous considérons les différents types d’opérations risquées du stock ou de la production nouvelle.
La marge commerciale moyenne, à un moment donné, d’un type d’opérations du stock est calculée comme la moyenne des différentes marges, mi,t, associées à ce type d’opérations, pondérée par les encours de ces types d’opérations. Ces marges commerciales sont calculées mensuellement par la CELIM.
En revanche, la marge commerciale à un moment donné d’un type donné d’opérations de la production nouvelle correspond à la marge commerciale en vigueur au moment où l’opération est souscrite.
Les marges commerciales de chaque type d’opérations risquées du stock et de la production nouvelle sont donc nécessairement différentes. Les marges commerciales d’un type d’opérations en stock sont une moyenne pondérée alors que celles d’un type d’opérations de la production nouvelle sont celles en vigueur à la date à laquelle nous faisons nos simulations. Par conséquent, deux mêmes types d’opérations risquées en stock et dans la production nouvelle, bien qu’ils soient indexés sur le même taux de marché, ne présentent pas le même niveau de risque.
Nous ne retrouvons pas ce phénomène pour les opérations à taux réglementé non stratifiées puisque la totalité de leur encours s’indexe sur les taux en vigueur. Par conséquent, nous regroupons les opérations à taux réglementé non stratifiées en stock avec celles de la production nouvelle.
Nous utilisons dans le paragraphe suivant les critères que nous venons de présenter pour répertorier les différents niveaux de risque et effectuer des regroupements par niveau de risque lorsque cela est nécessaire.
Les opérations risquées sont répertoriées et éventuellement regroupées en fonction de leur niveau de risque en considérant successivement les différents compartiments du bilan que nous avons présentés dans le chapitre précédent. Que nous considérons l’évolution des taux sur la période 1992-1998, l’année 1998 ou le second semestre 1998, les opérations sont regroupées de la même manière. Néanmoins, ces regroupements n’ont pas un caractère définitif. Ils peuvent tout à fait être modifiés ultérieurement si, d’une part, les taux de certaines opérations, qui jusque-là connaissaient des évolutions identiques, évoluent différemment et d’autre part, des types d’opérations sont créés ou au contraire sont supprimés du bilan.
Nous regroupons les opérations du stock et celles de la production nouvelle qui présentent le même niveau de risque. En revanche, il n’est pas utile d’effectuer de tels regroupements par niveau de risque au sein même du stock, c'est-à-dire entre les opérations du stock qui n’ont pas été regroupées avec des opérations de la production nouvelle. Seul leur montant global nous est nécessaire. Ces opérations sont par conséquent regroupées dans une constante que nous appelons impasse du stock risqué.
Nous nous intéressons donc seulement aux éventuels regroupements entre les opérations de la production nouvelle et entre les opérations de la production nouvelle avec celles du stock risqué.
Nous rappelons que toutes les indications concernant les taux de référence, la nature des taux et les caractéristiques des types d’opérations risquées du stock et de la production nouvelle de la CELIM sont précisées dans les annexes amovibles 3.1 à 3.4 du chapitre précédent. Les types d’opérations qui font l’objet de regroupements sont exprimés en gras dans ces mêmes annexes.
Le compartiment P3 est scindé en deux compartiments, le compartiment clientèle et le compartiment titres et trésorerie.
Au sein de la production nouvelle, nous constituons deux groupes de risque en regroupant :
Certaines opérations de la production nouvelle doivent être regroupées avec des opérations du stock risqué. Nous effectuons cinq regroupements :
les Prêts Bonifiés aux Entreprises (PBE) (Sa1), la ressource CODEVI 47.5% (Sp6 et Pp2) et le Livret B (Sp2 et Pp3) ;
le Livret Jeunes (Sp3 et Pp4). Il a été créé en juin 1998 et son taux n’a pas été modifié jusqu’à la fin de l’année 1998Note47. . Il est donc considéré comme sans risque à cette date. Cependant, nous considérons que cette opération est risquée, comme toutes les ressources à taux réglementé non stratifiées. C’est pour cela que dans nos scénarios de taux du chapitre précédent, le taux du Livret Jeunes est modifié dès janvier 1999. Il est donc considéré comme risqué dans notre programme d’optimisation.
Les regroupements des opérations par niveau de risque sont résumés dans le tableau 1. Tous les groupes sont composés uniquement de ressources (Gi<0, i=1, 2, 4…7), à l’exception du groupe G3>0, qui ne comprend que des avoirs, et du groupe G6<0, qui comprend des avoirs (les PBE) et des engagements (le CODEVI 47.5 et le livret B).
| n° de Groupe | n° des opérations | Nom des opérations | Taux de référence |
| G1<0 | Pp6 | Bons d'Epargne | taux bons épargne |
| Pp7 | ICNE* sur bons d'épargne | ||
| G2<0 | Pp10 | PEP Permanence nouvelles ouvertures | taux minimum garanti = livret A + 1.5% |
| Pp12 | PEP Placement 1 G | ||
| Pp13 | PEP Permanence | ||
| G3>0 | Sa2 + Pa9 | Découverts entreprises | TBB |
| G4<0 | Sp1 + Pp1 | 15 % LEP | LEP |
| G5<0 | Sp5 + Pp14 | Livret Epargne Logement | LEL |
| G6<0 | Sa1 | PBE | CODEVI |
| Sp6 + Pp2 | Ressource CODEVI 47.5 | ||
| Sp2 + Pp3 | Livret B | ||
| G7<0 | Sp3 + Pp4 | Livret Jeunes | Livret Jeunes |
Le stock est composé de 22 opérations risquées à l’actif et de 14 au passif (annexes amovibles 3.1 page 169 et 3.2 page 170). Parmi ces 36 opérations, 7 appartiennent aux groupes de risque du tableau 1. Les 29 autres opérations sont regroupées sous la forme d’une impasse que nous appelons impasse du stock risqué. Cette impasse est en fait une constante, les encours des opérations du stock étant connus. Toutefois, cette constante change de période en période, compte tenu de l’échéancement des opérations du stock et de la production nouvelle de la période précédente qui devient du stock.
La production nouvelle risquée, quant à elle, est constituée de 20 et 19 opérations respectivement à l’actif et au passif (annexes amovibles 3.3 page 171 et 3.4 page 172) : étant donné que 11 des opérations qui la composent appartiennent aux groupes de risque du tableau 1, nous avons 28 niveaux de risque différents au sein de la production nouvelle.
Finalement, nous avons 36 niveaux de risque différents dans notre modèle de choix de portefeuille : 1 pour l’impasse du stock risqué, 7 pour les groupes et 28 pour la production nouvelle. Le vecteur des opérations risquées a l’expression suivante :
(4.2)
avec
, l’impasse risquée du stock
Nous simplifions l’expression du vecteur S en adoptant la notation suivante :
avec
, l’impasse risquée du stock
, i=2…8, les groupes d’opérations
, i=9…27, les emplois de la production nouvelle
, i=28…36, les ressources de la production nouvelle
Les spécificités des taux des opérations risquées que nous venons de présenter ont permis de définir le vecteur X des opérations risquées du bilan, élément indispensable pour construire la fonction objectif de notre modèle de choix de portefeuille.
Comme nous l’avons expliqué dans le deuxième chapitre, dans notre modèle de gestion du risque de taux d’intérêt, la Caisse d’Epargne maximise l’espérance de l’utilité de sa richesse de fin de période, définie par l’écart entre la marge d’intérêt et le risque du bilan. Sa fonction d’utilité est une fonction d’utilité exponentielle négative. Quel que soit le degré d’aversion pour le risque, la CELIM souhaite choisir, parmi les combinaisons marge/risque possible une combinaison à faible risque pour un niveau de marge espérée donné ou à marge d’intérêt espérée élevée pour un niveau de risque donné.
L’expression générale de la fonction objectif de la banque que nous avons définie dans le chapitre 2 est la suivante :
avec b>0, le coefficient d’aversion absolue au risque. Nous considérons que le montant des opérations sans risque peut influencer le degré d’aversion au risque de la banque. En effet, plus ce montant est important plus l’aversion au risque de la banque est faible. Nous considérons donc que cette relation est prise en compte dans la valeur du coefficient d’aversion au risque ;
, la marge d’intérêt risquée ;
, la marge d’intérêt espérée ;
, la variance de la marge d’intérêt.
Nous définissons maintenant l’espérance,
, et la variance de la marge d’intérêt risquée,
, en considérant les spécificités des taux des opérations risquées de la CELIM, mises en évidence précédemment.
Compte tenu des spécificités en termes de taux des opérations risquées du stock et de la production nouvelle de la CELIM, la marge d'intérêt espérée est définie par la relation suivante :
avec X, le vecteur des opérations risquées défini par l’équation (4.3) ;
, le vecteur des taux des opérations risquées. Ce vecteur change en fonction des scénarios de taux d’intérêt retenus. Il est
tel que :
où
est le taux moyen du stock risqué, calculé, à un instant donné, comme la moyenne arithmétique des taux des opérations risquées
du stock, pondérée par les montants de ces opérations.
La variance de la marge d'intérêt est définie par l’expression suivante :
(4.6)
avec X, le vecteur des opérations risquées ;
, la matrice des variances-covariances des taux d’intérêt des opérations risquées de dimension (36%36). Les variances et les
covariances de cette matrice sont calculées à partir de l’historique du taux moyen mensuel du stock risqué et des taux des
autres opérations risquées des groupes et de la production nouvelle. Comme nous l’avons déjà précisé, cette matrice est calculée
pour deux périodes différentes où la volatilité des taux est plus ou moins forte et par conséquent où les coefficients de
corrélation entre les taux sont plus ou moins élevés. La matrice des variances-covariances dont les coefficients sont les
plus élevés est calculée pour toute l’année 1998. Nous la notons 98. L’autre matrice, qui a des coefficients de corrélation plus faibles, est calculée pour le second semestre 1998. Elle est
notée 98 2s. L’utilisation de ces deux matrices dans nos simulations permet de faire varier le risque du bilan et de mettre en évidence
l’impact du niveau de risque sur la répartition de la production nouvelle.
La fonction objectif de la CELIM a finalement l’expression suivante :
(4.7)
La fonction objectif de notre modèle de choix de portefeuille étant construite, nous modélisons dans la partie suivante les contraintes que la CELIM doit respecter.
Naturellement, le bilan de la CELIM doit être équilibré mais sa structure doit respecter un certain nombre de contraintes. En effet, la production nouvelle doit être réalisable à court terme et doit être suffisamment diversifiée pour répondre à la demande de la clientèle. De plus, le bilan doit être tel que les réglementations imposées par les autorités de contrôle (réserves obligatoires, ratios de solvabilité et de liquidité et coefficient de fonds propres et de ressources permanentes) soient respectées.
Le bilan est constitué du stock et de la production nouvelle. Nous considérons que le stock à un moment donné n'est pas nécessairement équilibré, compte tenu de l'amortissement de ses emplois et de la capitalisation de ses ressources. L'allocation des opérations de la production nouvelle ne prévoit pas d'ajustement par le biais d'opérations du hors-bilan bien que celles-ci soient prises en compte dans le stock pour évaluer le risque à un instant donné. Nous voulons donc que ce soit la production nouvelle qui équilibre ce bilan. Nous rappelons que dans notre modèle de choix de portefeuille les avoirs sont positifs mais que les ressources sont négatives.
Nous avons alors le bilan suivant :
| Actif | Passif | |
| Bilan sans risque | SAnr | -SPnr |
| PAnr | -PPnr | |
| Bilan risqué | SAr | -SPr |
| PAr | -PPr | |
| B | B |
avec
>0 et
>0, les emplois non risqués et risqués du stock ;
<0 et
<0, les ressources non risquées et risquées du stock ;
>0 et
>0, les emplois non risqués et risqués de la production nouvelle ;
<0 et
<0, les ressources non risquées et risquées de la production nouvelle ;
B, le montant du bilan.
La contrainte d’équilibre du bilan est exprimée par l’expression suivante :
Nous déduisons de l’équation (4.8) l’impasse risquée du bilan, que nous considérons dans notre modèle d’optimisation :
(4.9)
avec
un vecteur unitaire
Le montant du stock, risqué ou non, est connu. L’impasse du stock risqué (
+
) constitue le premier élément, X1, du vecteur X (4.3).
Le montant de l’impasse de la production nouvelle est également connu puisqu’il équilibre le stock. Cependant, un objectif exprimé en termes d’impasse ne permet pas de faire apparaître l’accroissement de l’actif et du passif du bilan souhaité. En effet, avec une contrainte exprimée uniquement en termes d’impasse, l’accroissement du bilan peut être très élevé comme très faible. Il est donc nécessaire de fixer distinctement le montant du total des emplois et des ressources risqués de la production nouvelle, tel que :
(4.10)
(4.11)
avec X, le vecteur des opérations risquées du stock et de la production nouvelle ;
, la transposée d’un vecteur composé de 1 et de 0, les 1 correspondant aux emplois du vecteur X et les 0 aux ressources ;
, la transposée d’un vecteur composé de 1 et de 0, les 1 correspondant aux ressources du vecteur X et les 0 aux emplois ;
E et R, les montants respectivement des emplois et des ressources risqués de la production nouvelle qui permettent d’atteindre l’objectif d’accroissement du bilan.
La répartition des emplois et des ressources de la production nouvelle entre les opérations risquées doit cependant respecter des contraintes commerciales.
Notre problème d’optimisation permet de répartir les objectifs sur les emplois et les ressources risqués en privilégiant les opérations les plus intéressantes en termes de rendement-risque pour une situation donnée. La répartition de la production nouvelle risquée obtenue doit cependant être réalisable au cours de la période retenue et idéalement aussi diversifiée que la production nouvelle risquée actuelle de la CELIM.
Il n’est en effet pas raisonnable de supposer que la structure du bilan soit complètement modifiée, notamment à court terme ; les parts de marché des opérations de la CELIM pouvant difficilement varier de manière très importante à court terme, compte tenu de l’offre et de la demande de la clientèle.
De plus, le modèle de choix de portefeuille, en arbitrant entre le rendement et le risque et en privilégiant les opérations les plus avantageuses en termes de rendement-risque, peut procurer une production nouvelle très peu diversifiée.
Par conséquent, pour que la production nouvelle soit réalisable à court terme et suffisamment diversifiée, les objectifs déterminés par notre problème d’optimisation doivent donc être limités par des bornes inférieures et supérieures, telles que :

avec X, le vecteur des opérations risquées ;
Xmin, le vecteur des bornes inférieures ;
Xmax, le vecteur des bornes supérieures.
Les bornes minimales et maximales des emplois sont positives alors que celles des ressources sont négatives.
Dans le modèle théorique du chapitre 2 de la première partie, les intervalles sont construits autour des opérations risquées en stock.
En revanche, dans notre cas appliqué au bilan de la CELIM, nous retenons les objectifs que se fixe la CELIM. Comme nous n’avons pas construit de contrainte d’offre et de demande, nous considérons que la CELIM tient compte d’effets quantitatifs dans ses prévisions. De plus, étant donné que nous souhaitons que la structure de la production nouvelle risquée, déterminée par notre modèle de choix de portefeuille sous contraintes, exprime une certaine part de réalisme, nous ne construisons pas nos intervalles autour des opérations risquées en stock mais autour des objectifs de la CELIM, en les faisant varier de x%. Ces intervalles sont plus ou moins larges selon le degré de liberté souhaité et réalisable par la CELIM.
X1, le premier élément du vecteur X est constant. Il constitue une contrainte en termes de choix de portefeuille héritée des décisions passées de la banque. Nous le conservons dans notre problème d’optimisation pour capter l’incidence de la diversification intertemporelle, entre production nouvelle et stock, sur l’allocation de la production nouvelle composée des 35 autres éléments du vecteur. Le premier élément de Xmin et Xmax est donc :

En revanche, pour les emplois et les ressources de la production nouvelle, les bornes sont respectivement définies par les relations suivantes :
,
, Previ>0, i = 9…27 (4.12)
,
, Previ<0i = 28…36 (4.13)
avec Previ, les objectifs de la CELIM
Enfin, pour les groupes qui comprennent des opérations du stock et de la production nouvelle,
i = 2…8, la borne minimale est égale au montant de l’opération en stock, lorsque l’opération est un emploi (X4 >0). En revanche, c’est la borne maximale qui est égale au montant de l’opération en stock lorsque l’opération est une ressource
(Xi<0, i=2, 3, 5…8). Ces deux types de contraintes s’écrivent respectivement :
, pour X4 >0 (4.14)
, pour Xi<0, i=2, 3, 5…8 (4.15)
avec
le montant du stock qui est dans le groupe ;
x% prend les valeurs 5%, 10%, 20%, 30%, 40%, 50%, 60%, 80% et 100% dans les simulations. L’accroissement des intervalles procure une marge de manœuvre plus importante pour répartir la production nouvelle entre les différentes opérations. Cela permet de réduire le montant des opérations les moins avantageuses en termes de rendement-risque au profit d’autres qui le sont plus. Toutefois, l’effet de l’élargissement des intervalles dépend des corrélations entre les taux : des corrélations très élevées limiteront toujours une réallocation de la production nouvelle malgré des intervalles très larges.
Finalement, le vecteur X des opérations risquées est encadré par deux vecteurs, Xmin et Xmax, tels que :
(4.16)
La production nouvelle de la CELIM doit avoir une certaine structure mais doit également être telle que la structure du bilan dans son ensemble respecte un certain nombre de contraintes réglementaires imposées par les autorités de contrôle bancaire.
Comme nous l’avons vu dans le chapitre 2, les établissements de crédit français doivent respecter un certain nombre de règles prudentielles, qui se traduisent par des ratios à respecter. Ces règles concernent notamment le capital minimum, la définition des fonds propres, la division des grands risques, le coefficient de fonds propres et de ressources permanentes, le ratio de liquidité, le ratio de solvabilité, les risques de marché et les réserves obligatoires.
Toutefois, les ratios qui contrôlent les grands risquesNote48. et les risques de marchéNote49. ne font pas l’objet de notre problématique. En effet, d’une part, nous ne nous posons pas la question du choix d’un client mais du type de crédit que la banque doit accorder. D’autre part, comme le préconise le règlement 97-02 du Comité de la Réglementation Bancaire et Financière, le risque de taux d’intérêt global doit être traité indépendamment du risque de crédit, des risques de marché y compris le risque de change, et du risque de liquidité. Plus précisément, ce règlement définit le risque global de taux d’intérêt comme « le risque encouru en cas de variation des taux d’intérêt du fait de l’ensemble des opérations du bilan et du hors-bilan, à l’exception le cas échéant, des opérations soumises au risque de marché ».
La définition du capital minimumNote50. est incluse dans celle des fonds propresNote51. qui elle-même est utilisée dans le calcul des différents ratios cités ci-dessus, à l’exception des réserves obligatoires et du ratio de fonds propres et de ressources permanentes.
Finalement, les contraintes réglementaires prises en compte dans notre outil de simulation sont les réserves obligatoires, les ratios de solvabilité et de liquidité et le coefficient de fonds propres et de ressources permanentes.
La réglementation doit être respectée pour le total du bilan, c'est-à-dire pour l’ensemble du stock et de la production nouvelle. Or, pour le stock, les encours ne sont pas nécessairement tels que les ratios sont égaux aux seuils minimums imposés par les autorités de contrôle : ils peuvent être supérieurs ou inférieurs si les normes prudentielles ne sont pas respectées. Il n’est donc pas possible de calculer les ratios réglementaires uniquement pour la production nouvelle. Nous devons intégrer le stock et la production nouvelle dans le calcul des ratios. Les encours du stock apparaissent alors sous la forme de constantes dans chacune des contraintes prudentielles puisqu’ils sont connus.
Nous spécifions successivement les contraintes de réserves obligatoires, les ratios de solvabilité et de liquidité et le coefficient de fonds propres et de ressources permanentes.
L’avis aux établissements de crédit n°99-1Note52. de la Banque de France distingue trois catégories d’exigibilités : « celles qui sont incluses dans l’assiette des réserves obligatoires et auxquelles s’applique le taux de 2% ; celles qui sont incluses dans l’assiette des réserves et auxquelles s’applique un taux zéro ; celles qui sont exclues de l’assiette des réserves ». Les réserves obligatoires sont recalculées chaque mois.
Le calcul des réserves obligatoires pour l’ensemble du bilan est détaillé dans l’annexe 4.1. De manière générale, l’assiette des réserves obligatoires à laquelle s’applique un taux de 2% comprend :
L’assiette des réserves obligatoires auxquelles s’applique un taux de 0% regroupe quant à elle :
Dans notre programme d’optimisation, nous distinguons les réserves obligatoires du stock de celles de la production nouvelle. Parmi les réserves obligatoires du stock, nous isolons celles calculées pour le stock des groupes d’opérations du tableau 1. Pour la production nouvelle, nous connaissons les réserves obligatoires correspondant aux opérations non risquées. Finalement, seules les réserves obligatoires correspondant à la production nouvelle risquée ne sont pas connues. Dans les réserves obligatoires du bilan (Pa20), nous distinguons :
Nous écrivons alors :

Les réserves obligatoires du stock, hors vecteur X, (ROSnr + ROPnr) intègrent l’abattement forfaitaire de 655 957 francs qui doit être appliqué à l’assiette des réserves obligatoires, comme le fait apparaître l’annexe 4.1.
La contrainte de réserves obligatoires nous permet donc de calculer les réserves obligatoires du vecteur X. Les éléments du vecteur X que nous intégrons dans la contrainte de réserves obligatoires sont détaillés dans le tableau 2.
| Comptes créditeurs à terme de durée initiale 2 ans - Comptes à terme - Comptes à terme PEP - Comptes à terme PEL |
-Pp8 -* -* ![]() ![]() |
| Comptes épargne à régime spécial | |
| - Livret B | -G6 |
| - Livret Jeunes | -G7 |
| - LEP | -G4 |
| - CODEVI | -G6 |
| - CEL | -G5 |
| Bons de caisse d’une durée initiale 2 ans | -Pp5 |
* Nous devons prendre en compte la part de ces opérations qui a une durée initiale inférieure ou égale à 2 ans.
Comme nous le remarquons dans le tableau 1 de la page 187, le groupe G6 comprend les PBE du stock (Sa1) alors qu’ils ne doivent pas être intégrés dans le calcul des réserves obligatoires. Il est donc nécessaire de les enlever de cette contrainte, en les rajoutant au groupe G6, ce qui se traduit par l’opération (-G6 + Sa1).
De plus, le programme d’optimisation détermine les 15% du LEP et les 47.5% du CODEVI du compartiment P3 clientèle. De ces deux opérations nous déduisons respectivement les 85% du LEP et les 52.5% du CODEVI du compartiment P2 qui sont des opérations sans risque, comme le représente le tableau suivant.
| Compartiment P2 passif |
| 85% LEP 52.5% CODEVI |
| Compartiment P3 clientèle passif |
| 15% LEP (Pp1 dans G4) 47.5% CODEVI (Pp2 dans G6) |
Les réserves obligatoires correspondant aux opérations du compartiment P2 ne peuvent être intégrées dans les réserves obligatoires sans risque de la production nouvelle, ROPnr, car elles ne peuvent être calculées qu’après l’optimisation.
Pour s’assurer que le bilan est toujours équilibré, même après optimisation, les réserves obligatoires associées à ces opérations doivent être intégrées dans la contrainte de réserves obligatoires. Pour cela, nous isolons la production nouvelle des 47.5% du CODEVI et des 15% du LEP respectivement des groupes G6 et G4 et nous en déduisons la production nouvelle des 52.5% du CODEVI et des 85% du LEP.
De plus, dans les objectifs de la CELIM nous avons observé que les 47.5% du CODEVI représentent 40.15% du total des 47.5% CODEVI et du livret B. Nous conservons cette proportion pour définir la répartition entre les 47.5% du CODEVI et le Livret B dans le groupe G4.
Le montant des réserves obligatoires correspondant aux éléments du vecteur X est finalement obtenu à partir de l’équation (4.17).
avec Sa1 >0, les prêts bonifiés aux entreprises (PBE) ;
Sp2 <0, le livret B en stock ;
Sp6 <0, les 47.5% du CODEVI en stock ;
Sp1 <0, les 15% du LEP en stock ;
et
, les montants des comptes à terme du PEP (Comptes à terme (CAT) PEP,
) et du PEL (CAT PEL,
) dont la durée initiale est inférieure ou égale à 2 ans. Ces opérations ont une échéance supérieure à 2 ans mais les différents
CAT qui les composent ont une échéance qui s’étend d’un mois à un an. Or, étant donné que chacune de ces opérations est composée
d’une succession de comptes à terme dont l’ouverture se fait à l’échéance du précédent, nous devons calculer la part de l’encours
de ces opérations qui a une durée initiale inférieure ou égale à deux ans. Ainsi, considérons par exemple le cas d’un CAT
PEP composé de 32 CAT trimestriels. Dans ce cas, seul le montant investi dans les huit premiers CAT, qui a une durée initiale
inférieure ou égale à deux ans, doit être pris en compte dans l’assiette des réserves obligatoires. La part de l’encours dont
la durée initiale est inférieure à deux ans est évaluée par la CELIM à 6% et 10% de l’encours initial respectivement pour
les comptes à terme du PEP et du PEL. Nous posons alors :
En intégrant les relations (4.18) et (4.19) et en organisant les éléments de la contrainte de réserves obligatoires dans le même ordre que les éléments du vecteur X, l’équation (4.17) s’écrit :
avec RO, une constante telle que :

Le ratio de solvabilitéNote53. a pour objet d’assurer la solvabilité des établissements de crédit en réalisant l’adéquation des fonds propres par rapport au risque de crédit auquel est exposée la banque. Il est défini par le rapport entre les fonds propres et l’ensemble des risques de crédit du bilan et du hors-bilan. Il doit être supérieur ou égal à 8%.
Le risque de crédit est évalué en fonction de la qualité des contreparties avec lesquelles sont nouées les opérations. Ainsi, à chaque type de contrepartie correspond une pondération qui peut être 0%, 20%, 50% ou 100%Note54. .
L’expression générale du ratio de solvabilité est la suivante :

où,
et
sont les fonds propres nets du stock et de la production nouvelle. Ce sont des opérations non risquées dont le montant est
fixé par la CELIM. Notre modèle de court terme ne permet donc pas de lever de fonds propres pour ajuster le ratio de solvabilité
à l’évolution des crédits. Les fonds propres nets sont calculés (voir méthode de calcul dans l’annexe 4.2) en déduisant des
fonds propres de base et des fonds propres complémentaires les participations dans les établissements de crédit ou financiers
et les garanties aux fonds communs de créances. Les fonds propres de la production nouvelle ne comprennent que des fonds propres
de base. Ils sont en effet obtenus en déduisant les immobilisations incorporelles,
, du capital,
:
(4.21)
sont les pondérations traduisant le risque de crédit associé à chaque type de contreparties. Ces pondérations sont fixées
en fonction de la nature de la contrepartie et de la zone géographique à laquelle elle appartient (annexe 4.4) ;
SS sont les créances pondérées du stock ;
sont les créances de la production nouvelle.
Les éléments de calcul du ratio de solvabilité pour la totalité du bilan sont donnés dans l’annexe 4.3 et ceux correspondant aux opérations de la production nouvelle dans le tableau 3. Nous connaissons les éléments de ce ratio qui correspondent au stock. La contrainte de solvabilité doit être respectée en rajoutant la production nouvelle.
| Créances de la production nouvelle | Pondérations | Opérations production nouvelle |
| Créances sur les administrations régionales/locales de la zone A* - Prêts aux associations - Prêts collectivités locales à taux fixe - Prêts collectivités locales à taux variable - Prêts collectivités locales lignes de crédit à taux variable |
20 % | Pa15 Pa16 Pa17 Pa18 |
| Créances sur les établissements de crédit de la zone B* (>1 an) ou zone A* - Prêts interbancaires > 1 an |
20 % | Pa19 |
| Crédits à la clientèle - Créances garanties par hypothèque ou par un logement (30%** du total des crédits particuliers et entreprises) - Créances non garanties par hypothèque ou par un logement (70%** du total des crédits particuliers et entreprises) |
50 % 100% |
Pa3… Pa8, Pa10…Pa14 Pa3… Pa8, Pa10…Pa14 |
| Immobilisations d’exploitation | 100% |
* Les contreparties sont réparties en 2 zones, A et B, comme le décrit l’annexe 4.4.
** Ces proportions sont déduites des états comptables 1999 de la CELIM.
Le ratio de solvabilité, calculé pour le stock et la production nouvelle est obtenu par l’expression (4.22).
avec
, les fonds propres du stock ;
, les risques pondérés du bilan et du hors-bilan en stock ;
, les différentes catégories de contreparties du tableau 3 ;
les immobilisations d’exploitation de la production nouvelle ;
, le montant des fonds propres de la production nouvelle est fixé par la CELIM.
L’équation (4.22) peut se réécrire :
avec S, une constante telle que : 
L’instauration d’un ratio de liquiditéNote55. est destinée à limiter la transformation des ressources de court terme en emplois de long terme. En d’autres termes, ce ratio doit permettre aux établissements de crédit de faire face aux demandes de remboursement des déposants. Ce ratio exige que les liquidités de court terme soient supérieures aux exigibilités de court terme.
L’expression du ratio de liquidité dépend du solde de trésorerie. Le solde de trésorerie se situe au numérateur ou au dénominateur de ce ratio selon qu’il est respectivement prêteur ou emprunteur.
Si le solde de trésorerie est prêteur, le ratio de liquidité s’écrit :

Si le solde de trésorerie est emprunteur, le ratio de liquidité s’écrit :
ou 
avec DRC, la durée restant à courir.
Le calcul du coefficient de liquidité et du solde de trésorerie pour le total du bilan est donné dans l’annexe 4.5.
La structure du bilan de la CELIM au 31/12/1998 est telle que le solde de trésorerie de la CELIM est largement prêteur. Nous pouvons alors raisonnablement considérer qu’il n’est pas possible qu’il s’inverse à court terme pour devenir emprunteur.
De même que pour les réserves obligatoires et le ratio de solvabilité, nous distinguons les éléments du stock de ceux de la production nouvelle. Les éléments du stock sont connus et apparaissent au numérateur et au dénominateur sous la forme de constantes. En revanche, les éléments de la production nouvelle pris en compte dans le ratio de liquidité sont précisés dans le tableau 4.
Les pondérations du tableau 4, qui sont réglementaires (annexe 4.5), expriment la part des emplois et des ressources, dont la durée restant à courir est inférieure ou égale à un mois. Le ratio de liquidité est calculé pour le stock et la production nouvelle, comme les autres contraintes réglementaires du programme.
| Liquidités (hors solde de trésorerie) | Pondérations | Exigibilités (hors solde de trésorerie) | Pondérations | ||
| Crédits clientèle de durée initiale < 1 an et de DRC*1 mois | Comptes créditeurs à terme (DRC*>1mois) | ||||
| Pa1 Pa2 G3 |
- Carte Aurore - Découverts particuliers - Découverts entreprises |
75% 75% 75% |
-Pp8 -Pp11 -Pp15 -Pp5 |
- Comptes à terme - Comptes à terme du PEP - Comptes à terme du PEL - Bons de caisse |
R** R** R** R** |
| Valeurs mobilières à revenu fixe | Comptes d’épargne à régime spécial (sauf PEL) | ||||
| - 52.5% Titres de développement industriel | 15% | -G4 -G6 -G6 -G7 -G5 |
- LEP 85% - CODEVI 52.5% - LEP 15% - CODEVI 47.5% - Livret B - Livret Jeunes - CEL |
15% 15% 15% 15% 15% 15% 15% |
|
| PEP | |||||
| -G2 -G2 -G2 -Pp9 |
- PEP permanence - PEP permanence nouveaux - PEP placement 1G - PEP placement 2G nouveaux |
7% 7% 7% 7% |
|||
| Trésorerie (actif) | Pondérations | Trésorerie (passif) | Pondérations | ||
| PF | Fonds propres nets | 100% | |||
*DRC : durée restant à courir.
**Comme le décrit l’annexe 4.5, R=30%ti si ti 800MF et R=20%ti+10%800MF si ti >800MF
ti (pour la totalité du bilan) = Comptes ordinaires créditeurs + Comptes créditeurs à terme de DRC > 1 mois + bons de caisse de DRC > 1 mois.
De même que pour les réserves obligatoires, nous devons prendre en compte dans la contrainte de liquidité les 85% du LEP et les 52.5% du CODEVI, au numérateur, mais également les TDI 52.5, au dénominateur. Nous rappelons que le montant de ces opérations sans risque ne peut être connu que lorsque les 15% du LEP et les 47.5% du CODEVI sont déterminés par le programme d’optimisation.
La contrainte de liquidité est alors définie par l’expression suivante :
avec
, les liquidités et le solde de trésorerie prêteur du stock et de la production nouvelle qui ne sont pas compris dans le vecteur
X des opérations risquées ;
, les exigibilités du stock et de la production nouvelle qui ne sont pas comprises dans le vecteur X des opérations risquées.
En respectant l’ordre des éléments du vecteur X, la contrainte de liquidité s’écrit :
avec L, une constante telle que,
.
Le coefficient de fonds propres et de ressources permanentesNote56. a pour objet de limiter la transformation des ressources de court terme en emplois à moyen et à long terme. Ce ratio impose qu’au moins 60% des emplois de durée restant à courir (DRC) de plus de cinq ans soient financés par des ressources de même terme.
Il est défini par l’équation suivante :

Les calculs réglementaires des fonds propres et de ce ratio pour l’ensemble du bilan sont donnés respectivement dans les annexes 4.2 et 4.6. Les éléments de la production nouvelle utilisés pour calculer ce ratio sont spécifiés dans le tableau 5.
| Pai | Emplois nets | Ppj | Ressources nettes |
Pa5+Pa6 Pa10 Pa13 Pa14 Pa16 Pa17 |
Emplois de DRC > à 5 ans - Prêts habitat - Prêts conventionnés - Prêts aux conditions de marché - Prêts bonifiés - Prêts aux collectivités locales TF - Prêts aux collectivités locales TV |
-Pp9 -G2 -G2 -G2 -Pp11 |
Ressources de DRC > à 5 ans - PEP, à concurrence de 80% PEP placement 2G nouveaux PEP permanence nouveaux PEP permanence PEP 1G - Dépôts de la clientèle : Comptes à terme PEP |
Le montant des emplois (ressources) dont la durée restant à courir est supérieure à 5 ans n’est pas celui connu à la date d’aujourd’hui mais ce qui en restera dans 5 ans après amortissement (capitalisation).
Nous remarquons que la réglementation ne prend pas en compte les prêts épargne logement (PLEL et PPEL) dans le poste « Emplois de DRC supérieure à 5 ans », bien que leur maturité soit respectivement de 7 et 10.5 années, ces opérations étant financées par des ressources (LEL et PEL) qui ont une échéance inférieure à 5 ans. L’échéance des LEL et des PEL est de 4 ans.
La maturité des prêts bancaires aux entreprises de la CELIM est en moyenne de 5.5 ans. Etant donné qu’elle est très proche de 5 ans, nous considérons que ces opérations souscrites aujourd’hui n’existeront plus dans 5 ans. Par mesure de simplification, nous n’intégrons pas ces opérations dans le calcul du coefficient de fonds propres et de ressource permanentes.
Les autres prêts ont une DRC supérieure à 5 ans. Nous estimons leur montant dans 5 ans. Ce calcul est détaillé dans l’annexe 4.7.
Les PEP qui sont des produits un peu plus complexes sont présentés dans l’annexe 4.7. Il ressort notamment de cette présentation que la DRC moyenne des versements sur les PEP 1G et les PEP permanence est inférieure à 5 ans, ce qui les exclut du calcul du coefficient de fonds propres et de ressources permanentes. En revanche, les nouveaux PEP placement 2G et les PEP permanence sont inclus dans le calcul du coefficient de fonds propres et de ressources permanentes, leur DRC étant supérieure à 5 ans. Nous calculons leur montant dans 5 ans, en utilisant les caractéristiques de leur échéancement, pour différents versements initiaux et pour différents taux de rendement. La méthode utilisée est également détaillée dans l’annexe 4.7.
Le coefficient de fonds propres et de ressources permanentes est calculé pour le stock et la production nouvelle. Il est finalement défini par l’expression suivante :
avec F1, les ressources et les fonds propres du stock pour le ratio de fonds propres et de ressources permanentes qui ne sont pas compris dans le vecteur X des opérations risquées ;
F2, les emplois du stock pour le ratio de fonds propres et de ressources permanentes qui ne sont pas compris dans le vecteur X des opérations risquées.
Dans l’équation (4.26), les opérations dont l’exposant indique 60m correspondent aux opérations qui ont une durée restant à courir supérieure ou égale à 60 mois et dont il faut estimer le montant dans 5 ans à partir des relations suivantes, obtenues dans l’annexe 4.7 :
![]() ![]() ![]() ![]() ![]() ![]() ![]() |
![]() ![]() ![]() |
En intégrant les relations précédentes dans l’équation (4.26), la contrainte des fonds propres et des ressources permanentes s’écrit :
avec
.
Le coefficient de fonds propres et de ressources permanentes calculé pour le stock et la production nouvelle de la CELIM est de 38.96%Note57. . Compte tenu de la structure du bilan, la contrainte de fonds propres et de ressources permanentes ne peut être respectée si nous fixons ce ratio à 60% comme l’exige la réglementation. Pour que notre programme d’optimisation puisse nous procurer une solution, nous fixons ce ratio à 39%. Ainsi, l’expression (4.27) s’écrit :
(4.28)
avec
.
Nous verrons dans nos simulations que la structure du bilan de la CELIM au 31/12/1998 est telle qu’il n’est pas possible de fixer ce ratio au-delà de 42%. Toutefois, l’objectif à terme est de contraindre la structure du bilan de la CELIM de sorte que le ratio de fonds propres et de ressources permanentes se rapproche le plus possible de 60%.
La structure de notre modèle de choix de portefeuille adapté au bilan de la CELIM est finalement la suivante :
Nous maximisons la fonction objectif :

sous les contraintes
- d’objectif des emplois et des ressources risqués de la production nouvelle qui permettent d’accroître le bilan selon le taux de croissance souhaité :


- commerciales, plus ou moins larges, selon la marge de manœuvre souhaitée

- de réserves obligatoires :

avec 
- de ratio de solvabilité :

avec 
- de ratio de liquidité :

avec 
- et de coefficient et de fonds propres et de ressources permanentes :

avec 
Dans cette première section, nous avons adapté notre modèle de choix de portefeuille du chapitre 2 au bilan de la CELIM. Nous avons dans un premier temps regroupé les opérations risquées par niveau de risque pour pouvoir définir le vecteur des opérations risquées et la fonction objectif. Dans un second temps, nous avons déterminé les différentes contraintes de notre modèle, soient les contraintes d’équilibre du bilan, les contraintes commerciales et les contraintes réglementaires. Notre programme d’optimisation sous contraintes de la marge d’intérêt de la CELIM étant construit, nous pouvons réaliser nos simulations pour mettre en évidence l’effet sur la répartition de la production nouvelle, la marge d’intérêt et le risque d’une modification des différents éléments qui le constituent, c'est-à-dire des taux, du risque et des corrélations entre les taux des opérations risquées, de l’aversion au risque et des différentes contraintes.
Notre méthode de gestion du risque de taux d’intérêt détermine la répartition de la production nouvelle qui maximise l’espérance de l’utilité de la CELIM, définie par l’écart entre la marge et le risque du bilan, pour un degré d’aversion au risque, une matrice des variances-covariances et un scénario de taux donnés. Nous présentons les réallocations en termes de production nouvelle qu’il faut réaliser par rapport aux objectifs de la CELIM pour maximiser la fonction objectif. Comme dans le chapitre précédent, nous effectuons nos simulations en utilisant le bilan annuel puis le bilan mensuel de la CELIM.
Dans ce paragraphe consacré aux simulations annuelles, nous étudions l’impact sur la répartition de la production nouvelle, la marge d’intérêt et le risque des différents éléments de notre fonction objectif, soient le degré d’aversion au risque, la matrice des variances-covariances et les taux d’intérêt, et des différentes contraintes, soient les contraintes réglementaires, d’objectif et commerciales.
Avant de détailler les résultats de nos simulations, nous expliquons comment nous organisons nos simulations et comment nous présentons les résultats afin de faciliter la lecture des tableaux de résultats.
Nos simulations s’organisent en quatre étapes :
Nous considérons un degré d’aversion au risque plus ou moins élevé. En faisant varier le coefficient d’aversion au risque de 0 à 10 avec des pas de 0.01 pour b allant de 0 à 1 et des pas de 1 pour b allant de 1 à 10, nous avons constaté que la répartition de la production nouvelle n’est modifiée que lorsque, toutes choses étant égales par ailleurs, le coefficient d’aversion au risque est compris entre 0.01 et 1. Nous avons donc retenu quatre valeurs pour le coefficient d’aversion au risque : 0, 0.01, 0.03 et 1.
Nous construisons deux matrices variances-covariances Ω98 2s et Ω98, qui sont estimées respectivement pour le second semestre de l’année 1998 et pour toute l’année 1998 et pour lesquelles les coefficients de corrélation entre les taux sont plus ou moins élevés. Ces deux matrices représentent deux niveaux de risque différents.
Les taux d’intérêt évoluent selon les trois scénarios de hausse des taux définis dans le chapitre précédent.
En ce qui concerne les différentes contraintes de notre programme,
a) L’effet de la réglementation sur le processus d’optimisation est mis en évidence en supprimant tout d’abord l’ensemble de la réglementation puis en prenant en compte isolément chacune des quatre contraintes ;
b) Les contraintes commerciales sont exprimées sous forme d’intervalles plus ou moins larges. Ces contraintes sont construites autour des objectifs de la CELIM en faisant varier ces derniers de 5% à 100% (les objectifs de la CELIM en % sont indiqués dans les tableaux des annexes 4.10 à 4.39 sur la ligne « Objectifs »). Ainsi, à mesure que les intervalles s’élargissent, pour un même objectif sur les emplois et les ressources risqués, la marge de manœuvre octroyée pour répartir la production nouvelle est de plus en plus grande : la combinaison marge/risque est généralement de plus en plus avantageuse.
La quasi totalité de nos simulations est réalisée en faisant varier les contraintes commerciales de 5% à 100% ;
Des simulations sont également réalisées en supprimant ces contraintes commerciales ;
c) Dans les contraintes d’objectifs de la production nouvelle, les objectifs sur les emplois et les ressources risqués sont modifiés à la hausse.
Pour chacune de nos simulations, nous présentons nos résultats dans trois types de tableaux.
La structure générale de notre premier tableau de résultats est la suivante :
| Intervalles | Taux de croissance de la MI de la PN (1) | Taux de croissance de la MI de la PN (3) | Taux de croissance du risque du bilan (2) | % des réserves obligatoires de la PN dans les emplois de la PN | Ratio de solvabilité | Ratio de liquidité | Ratio de fonds propres et de ressources permanentes |
| Objectifs CELIM | 0.81% | 11.42% | 261.37% | 38.96% | |||
| ± 5% | x1 % | x2 % | x3 % | x4 % | x5 % | x6 % | x7 % |
| ± 10% | |||||||
| ± 20% | |||||||
| ± 30% | |||||||
| ± 40% | |||||||
| ± 50% | x8 % | x9 % | x10 % | x11 % | x12 % | x13 % | x14 % |
| ± 60% | |||||||
| ± 80% | |||||||
| ± 100% |
(1) par rapport à la marge calculée avec le scénario de taux de la CELIM et les objectifs de la CELIM.
(2) par rapport au risque calculé avec les objectifs de la CELIM.
(3) par rapport à la marge calculée avec les scénarios de taux 1, 2 ou 3 et les objectifs de la CELIM.
Pour mettre en évidence l’évolution de la marge d’intérêt et du risque, nous calculons trois taux de croissance :
le taux de croissance de la marge d’intérêt de la production nouvelle (PN) obtenue avec notre méthode par rapport à la marge d’intérêt calculée avec les objectifs de la CELIM. Ainsi, par exemple, x1 % >0 indique que la répartition de la production nouvelle résultant de notre programme permet d’améliorer la marge d’intérêt par rapport à celle calculée avec les objectifs de la CELIM.
le taux de croissance de la marge d’intérêt de la production nouvelle obtenue avec notre méthode, pour chacun de nos trois scénarios de taux d’intérêt, par rapport à la marge calculée pour le scénario considéré avec les objectifs de la CELIM. Cette colonne n’est indiquée que pour les simulations où nous faisons varier les taux d’intérêt. Nous rappelons que la marge d’intérêt de la CELIM a été calculée avec les objectifs de la CELIM pour nos trois scénarios de taux dans le chapitre 3. Ainsi, x2 % <0 indique pour un scénario de taux donné que la marge d’intérêt associée à la répartition de la production nouvelle générée par notre programme d’optimisation est plus faible que celle calculée avec les objectifs de la CELIM.
le taux de croissance du risque du bilan obtenu avec notre méthode par rapport au risque calculé avec les objectifs de la CELIM.
En ce qui concerne la réglementation, nous indiquons dans ce premier tableau la part des réserves obligatoires de la production nouvelle dans le total des emplois risqués de la production nouvelle ainsi que le niveau du ratio de solvabilité, de liquidité et du coefficient de fonds propres et de ressources permanentes. Ces 4 ratios sont comparés à ceux calculés avec les objectifs de la CELIM (ligne Objectifs CELIM), qui sont indiqués dans tous les tableaux de résultats, quelles que soient les simulations. Ainsi, par exemple, x4 %>0.81% indique que la répartition de la production nouvelle issue de notre programme nécessite plus de réserves obligatoires que celle calculée avec les objectifs de la CELIM. De même, x6 %<261,37% signifie que le ratio de liquidité associé à la répartition de la production nouvelle issue de notre programme est plus faible que celui calculé avec les objectifs de la CELIM.
La répercussion de la réallocation des objectifs par rapport à ceux de la CELIM sur les contraintes réglementaires dépend des variations des montants des opérations mais également des pondérations qui sont affectées à chacune des opérations dans les expressions des contraintes réglementaires (équations (4.20), (4.23), (4.25) et (4.26)). Ces pondérations sont synthétisées dans l’annexe amovible 4.8.
Chacune des variables du tableau est présentée pour les intervalles 5%à 100%. Les bornes des contraintes d’intervalles de notre programme d’optimisation sont détaillées dans l’annexe 4.9. L’élargissement des intervalles procure une marge de manœuvre plus importante pour répartir la production nouvelle et permet de privilégier les opérations les plus avantageuses en termes de rendement/risque aux dépens des moins avantageuses. Pour les taux de croissance présentés dans ce premier type de tableau de résultats, nous avons généralement x8 % > x1 %, x9 % > x2 % et x10 % > x3 % . L’évolution de la part de chaque opération dans la production nouvelle avec l’élargissement des intervalles est présentée dans les annexes 4.10 à 4.39.
Les annexes 4.10 à 4.39 qui présentent l’évolution de la part de chaque opération dans la production nouvelle avec l’élargissement des intervalles ont la structure générale suivante :
| Intervalles* | X2, G1 | X3, G2 | X4, G3 | X5, G4 | X6, G5 | X7, G6 | X8, G7 | X9, Pa1 |
| Objectifs** | 1.00% | 0.34% | 1.20% | 0.79% | 1.15% | 1.87% | 0.67% | 2.24% |
| ± 5% | 0.95% | 0.36% | 1.26% | 0.80% | 1.21% | 1.97% | 0.63% | 2.26% |
| ± 10% | ||||||||
| ± 20% | ||||||||
| ± 30% | ||||||||
| ± 40% | ||||||||
| ± 50% | ||||||||
| ± 60% | ||||||||
| ± 80% | ||||||||
| ± 100% |
| Intervalles* | X10, Pa2 | X11, Pa3 | X12, Pa4 | X13, Pa5 | X14, Pa6 | X15, Pa7 | X16, Pa8 | X17, Pa10 | X18, Pa11 |
| Objectifs** | 1.81% | 12.56% | 0.51% | 21.48% | 6.63% | 1.42% | 0.72% | 0.35% | 0.63% |
| ± 5% | |||||||||
![]() |
|||||||||
| ± 100% |
| Intervalles* | X19, Pa12 | X20, Pa13 | X21, Pa14 | X22, Pa15 | X23, Pa16 | X24, Pa17 | X25, Pa18 | X26, Pa19 | X27, Pa20 |
| Objectifs** | 3.45% | 7.10% | 0.67% | 0.59% | 11.53% | 4.87% | 0.79% | 20.64% | 0.81% |
| ± 5% | |||||||||
![]() |
|||||||||
| ± 100% |
| Intervalles* | X28, Pp5 | X29, Pp8 | X30, Pp9 | X31, Pp11 | X32, Pp15 | X33, Pp16 | X34, Pp17 | X35, Pp18 | X36, Pp19 |
| Objectifs** | 0.20% | 0.41% | 0.11% | 0.13% | 0.29% | 4.23% | 0.59% | 0.59% | 87.61% |
| ± 5% | |||||||||
![]() |
|||||||||
| ± 100% |
*Les cellules grises, blanches et en gras correspondent aux opérations qui se situent respectivement aux bornes maximum, minimum et entre les bornes des intervalles.
**Objectifs de la Caisse d'Epargne du Limousin
Chacune des annexes 4.10 à 4.39 correspond à une simulation particulière.
Les noms des opérations correspondant à chaque colonne (X1, G1 … X9 Pa1, X10 Pa2,…X36, Pp19) sont donnés dans l’annexe amovible 4.8.
La part de chaque opération dans la production nouvelle correspondant aux objectifs de la CELIM est donnée sur la ligne « Objectifs ». Ces pourcentages sont toujours indiqués pour pouvoir comparer la part de chaque opération dans la production nouvelle procurée par notre programme d’optimisation à celle des objectifs de la CELIM.
Etant donné que dans les annexes, la répartition des opérations dans la production nouvelle est exprimée en pourcentage, le signe négatif des ressources n’apparaît pas. Les bornes minimales et maximales des ressources sont donc toujours positives.
Les bornes minimales et maximales des intervalles sont indiquées dans l’annexe 4.9.
La répartition des opérations présentée dans ce type de tableau permet de classer les opérations en fonction de l’avantage en termes de rendement-risque qu’elles suscitent pour atteindre la solution optimale. Nous pouvons ainsi regrouper les opérations en trois catégories (prenons comme exemple les opérations X2, G1 à X9, Pa1 pour l’intervalle 5%) :
Pour expliquer la lecture du troisième type de tableau, nous prenons l’exemple des simulations où nous faisons varier le degré d’aversion au risque, en considérant b=0 puis b=0.01. Dans ce type de tableau, il n’y a que 34 opérations sur les 36 qui sont répertoriées : l’impasse du stock (X1) risquée, qui ne fait pas l’objet de réallocation, et les réserves obligatoires, qui doivent être conformes à ce que la réglementation exige, n’apparaissent pas dans notre classement.
Lorsque nous nous intéressons à l’influence du degré d’aversion au risque, le cas où b=0 constitue le cas de référence. La structure générale de notre troisième type de tableau de résultats est alors la suivante :
| Opérations à privilégier | Opérations à réduire |
| Emplois - E1 - E2 Ressources - R1 - R2 |
Emplois - E3 - E4 Ressources - R3 - R4 |
Ainsi, pour b=0, le scénario de taux d’intérêt, le degré d’aversion au risque, la matrice des variances-covariances et les contraintes donnés, nous présentons les principales réallocations qui se produisent par rapport aux objectifs de la CELIM en distinguant les opérations à privilégier des opérations à réduire par rapport aux objectifs de la CELIM. Ce tableau découle des informations données dans les annexes 4.10 à 4.39 : les opérations en gris sont à privilégier et celles en blanc sont à réduire. Ce tableau nous indique également si les opérations en gras dans les annexes sont à privilégier ou à réduire.
Nous faisons ensuite varier le coefficient d’aversion au risque en lui donnant la valeur 0.01. Dans ce cas, qui n’est pas le cas de référence, le tableau de résultats peut être lu de deux manières.
| Opérations à privilégier | Opérations à réduire |
| Emplois - E1 (+) Ressources - R1 (-) - R2 |
Emplois - E2 - E3 - E4 (+) Ressources - R3 (-) - R4 |
*Les opérations en gras indiquent les réallocations qui se produisent ((+) et (-) respectivement pour un accroissement et une réduction), à la suite d’un accroissement du degré d’aversion au risque de b=0 à b=0.01, par rapport à la répartition des opérations du tableau précédent où b=0.
La première lecture est similaire à celle du cas de référence et permet de distinguer les opérations à privilégier de celles à réduire par rapport aux objectifs de la CELIM.
La seconde lecture concerne les opérations en gras auxquelles est attribué entre parenthèses un signe plus ou un signe moins. Ces opérations nous indiquent les réallocations qui se produisent par rapport au cas précédent où b=0. Le tableau à partir duquel les comparaisons sont établies est toujours indiqué en-dessous du tableau analysé. Dans le cadre de notre exemple :
Dans les simulations que nous réalisons, nous étudions l’effet sur la marge d’intérêt et le risque de l’évolution du degré d’aversion au risque, de la matrice des variances-covariances, des scénarios de taux d’intérêt et des différentes contraintes.
Nous nous plaçons dans une situation initiale, qui correspond à la situation actuelle de la CELIM, dans laquelle la CELIM est neutre au risque. Elle réalise ses objectifs sans tenir compte de l’incertitude sur les taux d’intérêt. Nous considérons ensuite un univers incertain où la CELIM est adverse au risque et où nous faisons varier son degré d’aversion au risque.
La CELIM étant neutre au risque, le risque issu de la volatilité des taux d’intérêt n’est pas pris en compte. Cette situation revient à considérer un coefficient d’aversion au risque nul (b=0) dans la fonction objectif.
Notre problème d’optimisation sous contraintes est donc réduit à une maximisation sous contraintes de la marge d’intérêt et non plus de l’écart entre la marge d’intérêt et le risque, comme le spécifie la fonction objectif (4.4). Le critère retenu pour déterminer la répartition de la production nouvelle qui maximise la marge d’intérêt est uniquement le rendement des opérations et non le couple rendement-risque. Les corrélations entre les taux sont donc ignorées.
Les résultats principaux de cette simulation sont présentés dans les tableaux 6 et 7 et le détail de la répartition de la production nouvelle dans l’annexe 4.10.
| Intervalles | Taux de croissance de la MI de la PN (1) | Taux de croissance du risque du bilan (2) | % des réserves obligatoires de la PN dans les emplois de la PN | Ratio de solvabilité | Ratio de liquidité | Ratio de fonds propres et de ressources permanentes |
| Objectifs CELIM | 0.81% | 11.42% | 261.37% | 38.96% | ||
| ± 5% | 1.33% | 1.31% | 0.83% | 11.41% | 261.48% | 39.00% |
| ± 10% | 2.79% | 2.78% | 0.83% | 11.39% | 261.59% | 39.00% |
| ± 20% | 5.66% | 5.64% | 0.82% | 11.36% | 261.84% | 39.00% |
| ± 30% | 8.51% | 8.52% | 0.81% | 11.33% | 262.07% | 39.00% |
| ± 40% | 11.37% | 11.52% | 0.81% | 11.30% | 262.31% | 39.00% |
| ± 50% | 14.23% | 14.62% | 0.80% | 11.27% | 262.54% | 39.00% |
| ± 60% | 17.08% | 17.83% | 0.79% | 11.24% | 262.78% | 39.00% |
| ± 80% | 22.80% | 24.59% | 0.77% | 11.19% | 263.25% | 39.00% |
| ± 100% | 28.51% | 31.79% | 0.76% | 11.13% | 263.72% | 39.00% |
(1) par rapport à la marge calculée avec le scénario de taux de la CELIM et les objectifs de la CELIM.
(2) par rapport au risque calculé avec les objectifs de la CELIM.
En situation de neutralité au risque, notre méthode d’optimisation de la marge d’intérêt sous contraintes permet toujours d’accroître la marge d’intérêt de la CELIM, le taux de croissance de la marge d’intérêt étant pour l’intervalle le plus étroit au moins de 1.33%. Toutefois, le niveau de risque, qui n’est pas intégré dans l’optimisation mais qui est cependant calculé, est plus élevé que celui engendré par les objectifs de la CELIM et il ne cesse d’augmenter lorsque les intervalles s’élargissent.
Les réserves obligatoires sont plus élevées que celles prévues dans les objectifs de la CELIM (0.81%) pour les intervalles ±5%, ±10% et ±20% alors qu’elles sont plus faibles que celles des objectifs de la CELIM pour les intervalles plus larges.
Le ratio de solvabilité est toujours plus faible que celui calculé avec les objectifs de la CELIM (11.42%) contrairement au ratio de liquidité qui est toujours plus élevé que celui calculé avec les objectifs de la CELIM (261.37%).
Le ratio de fonds propres et de ressources permanentes quand à lui est toujours égal, quels que soient les intervalles, au seuil minimum que nous avons imposé dans notre programme, soit 39%.
Les réallocations d’opérations qui se produisent par rapport aux objectifs de la CELIM sont résumées dans le tableau 7.
| Opérations à privilégier | Opérations à réduire |
| Emplois - Découverts entreprises (X4) - Carte aurore (X9) - Découverts particuliers (X10) - Prêts à la consommation (X11) - Prêts étudiants (X12) - Prêts habitat TF (X13) - Prêts PEL (X16) - Prêts conventionnés (X17) - Prêts entreprises autres (X18) - Prêts bancaires aux entreprises (X19) - Prêts aux conditions de marché TF (X20) - Prêts aux associations à TF (X22) Ressources - Livret épargne logement (X6) - CODEVI et livret B (X7) - Bons de caisse (X28) - CAT (X29) - PEP 2ème génération (X30) - CAT PEP (X31) - CAT PEL (X32) - Plans épargne logement (X33) - Emprunt écureuil à TV (X35) |
Emplois - Prêts habitat TV (X14) - Prêts LEL (X15) - Prêts bonifiés (X21) - Prêts aux collectivités locales TF (X23) - Prêts aux collectivités locales TV (X24) - Prêts aux collectivités locales lignes de crédit (X25) - Prêts interbancaires (X26) Ressources - Bons d’épargne (X2) - PEP permanence (X3) - 15% LEP (X5) - Livret Jeunes (X8) - Emprunt écureuil TF (X34) - Emprunt au jour le jour (X36) |
Les réallocations des objectifs par rapport à ceux de la CELIM se répercutent sur les ratios réglementaires :
Ainsi, nous observons à partir de l’intervalle 30% une réduction des réserves obligatoires par rapport à celle de la CELIM, malgré l’augmentation du Livret Epargne Logement, de la diminution du LEP et du Livret Jeunes, du CODEVI, du Livret B, des bons de caisse, des CAT, des CAT PEP et des CAT PEL.
De même, le ratio de solvabilité diminue, compte tenu de l’augmentation des prêts à la consommation, des prêts étudiant, des prêts habitat TF, des prêts PEL, des prêts conventionnés, des prêts entreprises autres, des prêts bancaires aux entreprises, des prêts aux conditions de marché TF et des prêts aux associations et de la diminution des prêts habitats TV, des prêts LEL, des prêts bonifiés, des prêts aux collectivités locales TF et TV.
Parmi les opérations incluses dans le ratio de liquidité, seuls les PEP permanence et les 15% du PEP diminuent. Toutes les autres opérations augmentent, ce qui fait accroître ce ratio, déjà beaucoup plus élevé que la norme imposée (100%).
En revanche, le ratio de fonds propres et de ressources permanentes, nettement plus faible que ce qu’exigent les autorités bancaires (60%), reste à son seuil minimum (39%).
Nous précisons que l’évolution des bons d’épargne, des plans épargne logement, de l’emprunt écureuil à TF et à TV et de l’emprunt au jour le jour n’a pas directement d’incidence sur les contraintes réglementaires, ces opérations n’étant pas intégrées dans leur calcul, comme le montre l’annexe amovible 4.8.
L’élargissement des intervalles permet de redéfinir la répartition optimale des objectifs et donc de les réallouer de façon à toujours privilégier, dans ce cas de neutralité au risque, les opérations les plus rentables aux dépens des moins rentables. Cela se traduit par un accroissement du taux de croissance de la marge d’intérêt mais en revanche par une augmentation du risque, celui-ci n’étant pas pris en compte dans l’optimisation. Les opérations les plus rentables ne sont pas les moins risquées.
Nous considérons maintenant, conformément au cadre d’analyse de notre modèle, que la CELIM est adverse au risque.
Considérer la CELIM comme étant adverse au risque nous conduit à prendre en compte l’incertitude sur les taux d’intérêt et
par conséquent à intégrer le risque dans la fonction objectif. Nous donnons au coefficient d’aversion au risque (b) les valeurs
0.01, 0.03, 1 et 10, ce qui accentue la concavité de la fonction d’utilité, comme le représente le graphique 1 pour une fonction
d’utilité exponentielle négative (
).
Graphique 1 : Evolution de la fonction d’utilité exponentielle négative pour différentes valeurs du coefficient d’aversion au risque b
La présence de la matrice des variances-covariances dans la fonction objectif permet de prendre en compte les corrélations entre les taux des opérations risquées du bilan et agit sur le degré de diversification de la production nouvelle, selon l’importance des corrélations. Nous considérons ici la matrice des variances-covariances Ω98 2s, construite à partir de l’évolution des taux des opérations risquées du bilan de la CELIM observée au cours du second semestre de l’année 1998.
Les résultats des simulations pour ces différentes valeurs de b sont donnés dans les tableaux 8 à 14, pour les résultats principaux, et dans les annexes 4.11 à 4.14, pour la répartition en pourcentage des opérations.
| Intervalles | Taux de croissance de la MI de la PN (1) | Taux de croissance du risque du bilan (2) | % des réserves obligatoires de la PN dans les emplois de la PN | Ratio de solvabilité | Ratio de liquidité | Ratio de fonds propres et de ressources permanentes |
| Objectifs CELIM | 0.81% | 11.42% | 261.37% | 38.96% | ||
| 5% | 0.84% | -2.57% | 0.83% | 11.42% | 261.48% | 39.00% |
| 10% | 1.71% | -5.56% | 0.83% | 11.42% | 261.58% | 39.00% |
| 20% | 3.47% | -11.06% | 0.82% | 11.43% | 261.80% | 39.00% |
| 30% | 5.23% | -16.31% | 0.81% | 11.43% | 262.02% | 39.00% |
| 40% | 6.99% | -21.30% | 0.81% | 11.43% | 262.24% | 39.00% |
| 50% | 8.75% | -26.03% | 0.80% | 11.43% | 262.46% | 39.00% |
| 60% | 11.12% | -29.10% | 0.79% | 11.44% | 262.68% | 39.00% |
| 80% | 14.94% | -36.93% | 0.77% | 11.44% | 263.12% | 39.00% |
| 100% | 19.85% | -41.43% | 0.76% | 11.42% | 263.56% | 39.00% |
(1) par rapport à la marge calculée avec le scénario de taux de la CELIM et les objectifs de la CELIM.
(2) par rapport au risque calculé avec les objectifs de la CELIM.
| Opérations à privilégier | Opérations à réduire |
| Emplois - Découverts entreprises (X4) - Carte aurore (X9) - Découverts particuliers (X10) - Prêts à la consommation (X11) - Prêts étudiants (X12) - Prêts LEL (X15) (+) - Prêts PEL (X16) - Prêts conventionnés (X17) - Prêts entreprises autres (X18) - Prêts aux conditions de marché TF (X20) - Prêts aux associations à TF (X22) - Prêts aux collectivités locales TF (X23) (+) - Prêts aux collectivités locales TV (X24) (+) Ressources - Bons d’épargne (X2) (+) - PEP permanence (X3) (+) - Bons de caisse (X28) - CAT (X29) - PEP 2ème génération (X30) - CAT PEP (X31) - CAT PEL (X32) - Plans épargne logement (X33) - Emprunt écureuil TF (X34) (+) - Emprunt écureuil à TV (X35) |
Emplois - Prêts habitat TF (X13) (-) - Prêts habitat TV (X14) - Prêts bancaires aux entreprises (X19) (-) - Prêts bonifiés (X21) - Prêts aux collectivités locales lignes de crédit (X25) - Prêts interbancaires (X26) Ressources - 15% LEP (X5) - Livret Jeunes (X8) - Emprunt au jour le jour (X36) (-) |
*Les opérations en gras indiquent les réallocations qui se produisent ((+) et (-) respectivement pour un accroissement et une réduction), à la suite d’un accroissement du degré d’aversion au risque de b=0 à b=0.01, par rapport à la répartition des opérations du tableau 7, page 221.
| Intervalles | Taux de croissance de la MI de la PN (1) | Taux de croissance du risque du bilan (2) | % des réserves obligatoires de la PN dans les emplois de la PN | Ratio de solvabilité | Ratio de liquidité | Ratio de fonds propres et de ressources permanentes |
| Objectifs CELIM | 0.81% | 11.42% | 261.37% | 38.96% | ||
| ± 5% | -0.17% | -4.08% | 0.87% | 11.44% | 261.17% | 39.00% |
| ± 10% | -0.14% | -8.44% | 0.90% | 11.45% | 260.98% | 39.00% |
| ± 20% | -0.11% | -16.70% | 0.96% | 11.47% | 260.60% | 39.00% |
| ± 30% | -0.09% | -24.53% | 1.02% | 11.49% | 260.23% | 39.00% |
| ± 40% | -0.06% | -31.94% | 1.08% | 11.51% | 259.85% | 39.00% |
| ± 50% | -0.03% | -38.91% | 1.14% | 11.53% | 259.46% | 39.00% |
| ± 60% | -0.01% | -45.45% | 1.20% | 11.55% | 259.10% | 39.00% |
| ± 80% | 1.35% | -56.26% | 1.32% | 11.56% | 258.36% | 39.00% |
| ± 100% | 3.90% | -64.78% | 1.44% | 11.56% | 257.63% | 39.00% |
(1) par rapport à la marge calculée avec le scénario de taux de la CELIM et les objectifs de la CELIM.
(2) par rapport au risque calculé avec les objectifs de la CELIM.
| Opérations à privilégier | Opérations à réduire |
| Emplois - Découverts entreprises (X4) - Carte aurore (X9) - Découverts particuliers (X10) - Prêts étudiants (X12) - Prêts LEL (X15) - Prêts PEL (X16) - Prêts conventionnés (X17) - Prêts entreprises autres (X18) - Prêts bancaires aux entreprises (X19) (+) - Prêts aux conditions de marché TF (X20) - Prêts aux associations à TF (X22) - Prêts aux collectivités locales TF (X23) - Prêts aux collectivités locales TV (X24) - Prêts aux collectivités locales lignes de crédit (X25) (+) Ressources - Bons d’épargne (X2) - PEP permanence (X3) - 15% LEP (X5) (+) - Livret épargne logement (X6) - CODEVI et livret B (X7) - Livret Jeunes (X8) (+) - Bons de caisse (X28) - CAT (X29) - PEP 2ème génération (X30) - CAT PEP (X31) - CAT PEL (X32) - Plans épargne logement (X33) - Emprunt écureuil TF (X34) |
Emplois - Prêts à la consommation (X11) (-) - Prêts habitat TF (X13) - Prêts habitat TV (X14) - Prêts bonifiés (X21) - Prêts interbancaires (X26) (+) Ressources - Emprunt écureuil à TV (X35) (-) - Emprunt au jour le jour (X36) (-) |
*Les opérations en gras indiquent les réallocations qui se produisent ((+) et (-) respectivement pour un accroissement et une réduction), à la suite d’un accroissement du degré d’aversion au risque de b=0.01 à b=0.03, par rapport à la répartition des opérations du tableau 9, page 224.
| Intervalles | Taux de croissance de la MI de la PN (1) | Taux de croissance du risque du bilan (2) | % des réserves obligatoires de la PN dans les emplois de la PN | Ratio de solvabilité | Ratio de liquidité | Ratio de fonds propres et de ressources permanentes |
| Objectifs CELIM | 0.81% | 11.42% | 261.37% | 38.96% | ||
| ± 5% | -0.50% | -4.09% | 0.87% | 11.44% | 261.13% | 39.00% |
| ± 10% | -0.79% | -8.48% | 0.90% | 11.45% | 260.90% | 39.00% |
| ± 20% | -1.41% | -16.79% | 0.96% | 11.47% | 260.44% | 39.00% |
| ± 30% | -2.03% | -24.67% | 1.02% | 11.49% | 259.98% | 39.00% |
| ± 40% | -2.66% | -32.14% | 1.08% | 11.51% | 259.53% | 39.00% |
| ± 50% | -3.28% | -39.18% | 1.14% | 11.53% | 259.07% | 39.00% |
| ± 60% | -3.90% | -45.80% | 1.20% | 11.55% | 258.62% | 39.00% |
| ± 80% | -5.52% | -57.81% | 1.32% | 11.61% | 257.72% | 39.00% |
| ± 100% | -7.19% | -68.19% | 1.44% | 11.67% | 256.83% | 39.00% |
(1) par rapport à la marge calculée avec le scénario de taux de la CELIM et les objectifs de la CELIM.
(2) par rapport au risque calculé avec les objectifs de la CELIM.
| Intervalles | Taux de croissance de la MI de la PN (1) | Taux de croissance du risque du bilan (2) | % des réserves obligatoires de la PN dans les emplois de la PN | Ratio de solvabilité | Ratio de liquidité | Ratio de fonds propres et de ressources permanentes |
| Objectifs CELIM | 0.81% | 11.42% | 261.37% | 38.96% | ||
| ± 5% | -0.50% | -4.09% | 0.87% | 11.44% | 261.13% | 39.00% |
| ± 10% | -0.79% | -8.48% | 0.90% | 11.45% | 260.90% | 39.00% |
| ± 20% | -1.41% | -16.79% | 0.96% | 11.47% | 260.44% | 39.00% |
| ± 30% | -2.03% | -24.67% | 1.02% | 11.49% | 259.98% | 39.00% |
| ± 40% | -2.66% | -32.14% | 1.08% | 11.51% | 259.53% | 39.00% |
| ± 50% | -3.28% | -39.18% | 1.14% | 11.53% | 259.07% | 39.00% |
| ± 60% | -3.91% | -45.80% | 1.20% | 11.55% | 258.62% | 39.00% |
| ± 80% | -5.58% | -57.81% | 1.32% | 11.61% | 257.72% | 39.00% |
| ± 100% | -7.25% | -68.19% | 1.44% | 11.68% | 256.83% | 39.00% |
(1) par rapport à la marge calculée avec le scénario de taux de la CELIM et les objectifs de la CELIM.
(2) par rapport au risque calculé avec les objectifs de la CELIM.
| Opérations à privilégier | Opérations à réduire |
| Emplois - Carte aurore (X9) - Découverts particuliers (X10) - Prêts étudiants (X12) - Prêts LEL (X15) - Prêts PEL (X16) - Prêts conventionnés (X17) - Prêts bancaires aux entreprises (X19) - Prêts aux conditions de marché TF (X20) - Prêts aux associations à TF (X22) - Prêts aux collectivités locales TF (X23) - Prêts aux collectivités locales TV (X24) - Prêts aux collectivités locales lignes de crédit (X25) - Prêts interbancaires (X26) (+) Ressources - Bons d’épargne (X2) - PEP permanence (X3) - 15% LEP (X5) - Livret épargne logement (X6) - CODEVI et livret B (X7) - Livret Jeunes (X8) - Bons de caisse (X28) - CAT (X29) - PEP 2ème génération (X30) - CAT PEP (X31) - CAT PEL (X32) - Plans épargne logement (X33) - Emprunt écureuil TF (X34) |
Emplois - Découverts entreprises (X4) (-) - Prêts à la consommation (X11) - Prêts habitat TF (X13) - Prêts habitat TV (X14) - Prêts entreprises autres (X18) (-) - Prêts bonifiés (X21) Ressources - Emprunt écureuil à TV (X35) - Emprunt au jour le jour (X36) |
*Les opérations en gras indiquent les réallocations qui se produisent ((+) et (-) respectivement pour un accroissement et une réduction), à la suite d’un accroissement du degré d’aversion au risque de b=0.03 à b=1 ou b=10 par rapport à la répartition des opérations du tableau 11, page 225.
La prise en compte de l’aversion au risque de la banque dans la fonction objectif engendre une réduction du risque du bilan par rapport au risque calculé avec les objectifs déterminés dans le cas de neutralité au risque (tableau 6) : le taux de croissance du risque est négatif alors qu’il est positif dans le cas de neutralité au risque.
Etant donné que les opérations les moins risquées ne sont généralement pas les plus rentables, la marge d’intérêt diminue avec le risque. Le phénomène s’amplifie quand le degré d’aversion au risque augmente : pour un niveau de risque donné, une augmentation de l’aversion au risque engendre une réallocation des objectifs les plus risqués vers les moins risqués. Seul un degré d’aversion au risque faible permet d’accroître la marge d’intérêtde la CELIM. En effet, pour l’intervalle ±5% et pour des coefficients d’aversion au risque prenant les valeurs 0.01, 0.03, 1 et 10, le taux de croissance de la marge est égal respectivement à 0.84%, -0.17%, -0.50% et -0.50%. Nous montrons qu’au-delà d’un coefficient d’aversion au risque égal à 1, par exemple pour b=10, la répartition des objectifs n’est modifiée que pour des intervalles larges, ±60% et plus.
A mesure que les intervalles s’élargissent, la répartition de la production nouvelle est redéfinie en privilégiant les opérations plus avantageuses en termes de rendement-risque aux dépens des moins avantageuses. La répartition des opérations obtenue pour les intervalles les plus larges est bouleversée par rapport à celle obtenue pour les intervalles les plus étroits et nous sommes tout à fait conscients qu’elle ne permet pas de répondre à la demande de la clientèle. Par exemple, pour b=1 (annexe 4.13), pour l’intervalle ±100%, 6 opérations disparaissent de la production nouvelle, elles ne font plus l’objet de prévisions, et 25 sont aux bornes maximales des intervalles. Globalement, l’élargissement des intervalles permet d’accroître la marge d’intérêt et de diminuer le risque, mais uniquement pour des coefficients d’aversion au risque faibles (b=0.01 et b=0.03). Pour les coefficients plus élevés, la marge diminue en même temps que le risque.
Un accroissement de l’aversion au risque engendre une réduction des opérations les plus risquées et une augmentation des opérations les moins risquées. Puisque les opérations les moins risquées ne sont pas les plus rentables, la diminution du risque se fait aux dépens de la marge d’intérêt. Toutefois, plus b est élevé, plus il est difficile de limiter la perte sur la marge et de réduire le risque simultanément. De plus, les corrélations entre les taux des opérations risquées du bilan agissent sur les réallocations : des opérations pas nécessairement avantageuses en termes de rendement-risque peuvent voir leur montant croître si elles sont très fortement corrélées à des opérations très avantageuses.
L’accroissement séquentiel de l’aversion au risque en trois étapes, b= 0.01, 0.03 et 1, nous permet de classer les opérations les plus risquées (à réduire) en trois groupes, des plus avantageuses en termes de rendement-risque aux moins avantageuses :
De même, nous pouvons classer les opérations les moins risquées (à privilégier) en trois groupes, des plus avantageuses en termes de rendement-risque aux moins avantageuses :
La redéfinition des objectifs en fonction des critères d’optimalité se répercute sur les contraintes réglementaires. Là encore, nous distinguons des résultats différents selon le coefficient d’aversion au risque.
Lorsque nous comparons la répartition des objectifs pour b=0.01 à celle du cas de neutralité au risque, nous remarquons que c’est l’accroissement des PEP permanence qui est à l’origine de la baisse du ratio de liquidité.
La baisse des prêts habitat TF et des prêts bancaires aux entreprises n’est pas compensée par la hausse des prêts LEL et des prêts aux collectivités locales à TF et à TV, compte tenu des pondérations associées à chacune de ces opérations. Il en résulte une augmentation du ratio de solvabilité.
Les bons d’épargne n’étant intégrés dans aucune des contraintes réglementaires, l’accroissement de leur montant est sans incidence sur les contraintes.
Les réserves obligatoires ne sont pas affectées par la prise en compte de l’incertitude : aucune des opérations qui les constituent ne subit de modifications.
Si nous comparons la réallocation des opérations qui se produit lorsque le degré d’aversion au risque augmente de b=0.01 à b=0.03, nous constatons que la hausse des 15% LEP et du Livret Jeunes explique la hausse des réserves obligatoires mais également la baisse du ratio de liquidité.
De même, la baisse des prêts à la consommation, qui n’est pas compensée par la hausse des prêts bancaires aux entreprises, des prêts aux collectivités locales et des prêts interbancaires, est à l’origine de l’augmentation du ratio de solvabilité.
Enfin, le ratio de solvabilité augmente lorsque l’aversion au risque augmente de b=0.03 à b=1 suggérant que la baisse des prêts entreprises autres n’est pas compensée par la hausse des prêts interbancaires.
Un degré d’aversion au risque supérieur à l’unité n’engendre quasiment aucune réallocation, comme nous le montrent les tableaux 12 et 13.
Nous remarquons que le ratio de fonds propres et de ressources permanentes ne varie pas avec le degré d’aversion au risque, il reste toujours égal à son seuil minimum de 39% : un ratio de fonds propres et de ressources permanentes supérieur à 39% engendrerait une trop forte baisse de la marge d’intérêt et/ou une trop forte hausse du risque.
Nous considérons maintenant une matrice des variances-covariances qui implique un niveau de risque plus important que la matrice qui a été utilisée jusqu’à présent.
Afin de mettre en évidence l’effet de la hausse des coefficients de corrélation sur la répartition des objectifs et sur le niveau de la marge d’intérêt de la production nouvelle, nous considérons dans ce paragraphe la matrice des variances-covariances calculée à partir des données de toute l’année 1998, notée Ω98.Nous réalisons nos simulations à nouveau pour un coefficient d’aversion au risque prenant les valeurs 0.01, 0.03 et 1 (tableaux 15 à 20) et toujours pour le scénario de taux de la CELIM. La répartition détaillée de la part de chaque opération dans la production nouvelle est donnée dans les annexes 4.15 à 4.17.
Lorsque nous comparons les résultats mis en évidence dans les tableaux 15, 17 et 19 à ceux des tableaux 8, 10 et 12, nous constatons que considérer des coefficients de corrélation plus élevés engendre une hausse du niveau du risque et une réduction de la marge d’intérêt et cela quels que soient le degré d’aversion au risque et l’intervalle retenus. Nous pouvons penser que la réduction de la marge d’intérêt provient de la présence de coefficients de corrélation élevés qui limitent les possibilités de diversification des objectifs.
Les principales réallocations qui se sont produites en considérant des coefficients de corrélation plus élevés sont résumées dans les tableaux 16, 18 et 20 respectivement pour b=0.01, b=0.03 et b=1. Ces réallocations impliquent une réduction des réserves obligatoires et une hausse des ratios de solvabilité et de liquidité, quel que soit b.
Par exemple, pour b=0.01, la baisse du CODEVI et du Livret B, des CAT, des CAT PEP engendrent une réduction des réserves obligatoires et par conséquent une hausse du ratio de liquidité qui est amplifiée par la baisse des PEP permanence.
Les différentes réallocations au sein des prêts permettent de diminuer le risque sur les prêts et donc d’augmenter le ratio de solvabilité. Nous retrouvons des mécanismes similaires pour des degrés d’aversion au risque plus élevés.
| Intervalles | Taux de croissance de la MI de la PN (1) | Taux de croissance du risque du bilan (2) | % des réserves obligatoires de la PN dans les emplois de la PN | Ratio de solvabilité | Ratio de liquidité | Ratio de fonds propres et de ressources permanentes |
| Objectifs CELIM | 0.81% | 11.42% | 261.37% | 38.96% | ||
| ± 5% | 0.41% | -2.08% | 0.82% | 11.43% | 261.65% | 39.00% |
| ± 10% | 0.70% | -4.52% | 0.79% | 11.43% | 261.94% | 39.00% |
| ± 20% | 1.46% | -8.71% | 0.75% | 11.44% | 262.53% | 39.00% |
| ± 30% | 2.23% | -12.49% | 0.70% | 11.45% | 263.12% | 39.00% |
| ± 40% | 2.99% | -15.95% | 0.65% | 11.46% | 263.71% | 39.00% |
| ± 50% | 3.81% | -19.04% | 0.61% | 11.47% | 264.27% | 39.00% |
| ± 60% | 4.59% | -21.99% | 0.56% | 11.48% | 264.86% | 39.00% |
| ± 80% | 7.08% | -25.67% | 0.49% | 11.48% | 265.81% | 39.00% |
| ± 100% | 9.71% | -28.58% | 0.40% | 11.48% | 266.94% | 39.00% |
(1) par rapport à la marge calculée avec le scénario de taux de la CELIM et les objectifs de la CELIM.
(2) par rapport au risque calculé avec les objectifs de la CELIM.
| Opérations à privilégier | Opérations à réduire |
| Emplois - Découverts entreprises (X4) - Carte aurore (X9) - Découverts particuliers (X10) - Prêts étudiants (X12) - Prêts habitat TF (X13) (+) - Prêts PEL (X16) - Prêts conventionnés (X17) - Prêts entreprises autres (X18) - Prêts aux associations à TF (X22) - Prêts interbancaires (X26) (+) Ressources - Livret épargne logement (X6) - Bons de caisse (X28) - PEP 2ème génération (X30) - CAT PEL (X32) - Emprunt au jour le jour (X36) (+) |
Emplois - Prêts à la consommation (X11) (-) - Prêts habitat TV (X14) - Prêts LEL (X15) (-) - Prêts bancaires aux entreprises (X19) (-) - Prêts aux conditions de marché TF (X20) (-) - Prêts bonifiés (X21) - Prêts aux collectivités locales TF (X23) (-) - Prêts aux collectivités locales TV (X24) (-) - Prêts aux collectivités locales lignes de crédit (X25) Ressources - Bons d’épargne (X2) (-) - PEP permanence (X3) (-) - 15% LEP (X5) - CODEVI et livret B (X7) (-) - Livret Jeunes (X8) - CAT (X29) (-) - CAT PEP (X31) (-) - Plans épargne logement (X33) (-) - Emprunt écureuil TF (X34) (-) - Emprunt écureuil à TV (X35) (-) |
*Les opérations en gras indiquent les réallocations qui se produisent ((+) et (-) respectivement pour un accroissement et une réduction), à la suite d’un accroissement du risque de Ω98 2sà Ω98pour b=0.01 par rapport à la répartition des opérations du tableau 9, page 224.
| Intervalles | Taux de croissance de la MI de la PN (1) | Taux de croissance du risque du bilan (2) | % des réserves obligatoires de la PN dans les emplois de la PN | Ratio de solvabilité | Ratio de liquidité | Ratio de fonds propres et de ressources permanentes |
| Objectifs CELIM | 0.81% | 11.42% | 261.37% | 38.96% | ||
| ± 5% | -0.18% | -2.54% | 0.85% | 11.43% | 261.32% | 39.00% |
| ± 10% | -0.43% | -5.34% | 0.86% | 11.44% | 261.22% | 39.00% |
| ± 20% | -1.21% | -10.72% | 0.88% | 11.47% | 261.15% | 39.00% |
| ± 30% | -1.68% | -15.62% | 0.80% | 11.51% | 261.84% | 39.00% |
| ± 40% | -1.80% | -20.03% | 0.68% | 11.54% | 262.80% | 39.00% |
| ± 50% | -2.31% | -24.35% | 0.64% | 11.58% | 263.16% | 39.00% |
| ± 60% | -2.83% | -28.41% | 0.61% | 11.60% | 263.53% | 39.00% |
| ± 80% | -4.20% | -35.92% | 0.53% | 11.67% | 264.24% | 39.00% |
| ± 100% | -5.87% | -42.53% | 0.45% | 11.74% | 264.94% | 39.00% |
(1) par rapport à la marge calculée avec le scénario de taux de la CELIM et les objectifs de la CELIM.
(2) par rapport au risque calculé avec les objectifs de la CELIM.
| Opérations à privilégier | Opérations à réduire |
| Emplois - Découverts entreprises (X4) - Découverts particuliers (X10) - Prêts étudiants (X12) - Prêts PEL (X16) - Prêts conventionnés (X17) - Prêts entreprises autres (X18) - Prêts aux associations à TF (X22) - Prêts aux collectivités locales TF (X23) (-) - Prêts aux collectivités locales TV (X24) (-) - Prêts interbancaires (X26) (+) Ressources - Livret épargne logement (X6) - Livret Jeunes (X8) - PEP 2ème génération (X30) - CAT PEL (X32) - Emprunt au jour le jour (X36) (+) |
Emplois - Carte aurore (X9) (-) - Prêts à la consommation (X11) - Prêts habitat TF (X13) (+)2 - Prêts habitat TV (X14) - Prêts LEL (X15) (-) - Prêts bancaires aux entreprises (X19) (-) - Prêts aux conditions de marché TF (X20) (-) - Prêts bonifiés (X21) - Prêts aux collectivités locales lignes de crédit (X25) (-) - Bons de caisse (X28) (-) Ressources - Bons d’épargne (X2) (-) - PEP permanence (X3) (-) - 15% LEP (X5) (-) - CODEVI et livret B (X7) (-) - CAT (X29) (-) - CAT PEP (X31) (-) - Plans épargne logement (X33) (-) - Emprunt écureuil TF (X34) (-) - Emprunt écureuil à TV (X35) |
*Les opérations en gras indiquent les réallocations qui se produisent ((+) et (-) respectivement pour un accroissement et une réduction), à la suite d’un accroissement du risque de Ω98 2sà Ω98pour b=0.03, par rapport à la répartition des opérations du tableau 11, page 225.
| Intervalles | Taux de croissance de la MI de la PN (1) | Taux de croissance du risque du bilan (2) | % des réserves obligatoires de la PN dans les emplois de la PN | Ratio de solvabilité | Ratio de liquidité | Ratio de fonds propres et de ressources permanentes |
| Objectifs CELIM | 0.81% | 11.42% | 261.37% | 38.96% | ||
| ± 5% | -0.42% | -2.59% | 0.85% | 11.43% | 261.27% | 39.00% |
| ± 10% | -1.67% | -5.65% | 0.86% | 11.46% | 261.09% | 39.00% |
| ± 20% | -3.28% | -11.43% | 0.88% | 11.49% | 260.82% | 39.00% |
| ± 30% | -5.10% | -16.83% | 0.90% | 11.53% | 260.55% | 39.00% |
| ± 40% | -7.30% | -21.93% | 0.92% | 11.56% | 260.21% | 39.00% |
| ± 50% | -9.46% | -26.74% | 0.95% | 11.59% | 259.87% | 39.00% |
| ± 60% | -11.56% | -31.26% | 0.97% | 11.63% | 259.54% | 39.00% |
| ± 80% | -15.75% | -39.39% | 1.01% | 11.69% | 258.87% | 39.00% |
| ± 100% | -21.22% | -46.35% | 1.06% | 11.75% | 257.68% | 39.00% |
(1) par rapport à la marge calculée avec le scénario de taux de la CELIM et les objectifs de la CELIM.
(2) par rapport au risque calculé avec les objectifs de la CELIM.
| Opérations à privilégier | Opérations à réduire |
| Emplois - Découverts entreprises (X4) (+) - Prêts étudiants (X12) - Prêts PEL (X16) - Prêts conventionnés (X17) - Prêts aux associations à TF (X22) - Prêts aux collectivités locales TF (X23) - Prêts aux collectivités locales TV (X24) - Prêts aux collectivités locales lignes de crédit (X25) - Prêts interbancaires (X26) (+) Ressources - PEP permanence (X3) - 15% LEP (X5) - Livret épargne logement (X6) - Livret Jeunes (X8) - PEP 2ème génération (X30) - Emprunt au jour le jour (X36) (+) |
Emplois - Carte aurore (X9) (-) - Découverts particuliers (X10) (-) - Prêts à la consommation (X11) - Prêts habitat TF (X13) (+) - Prêts habitat TV (X14) - Prêts LEL (X15) (-) - Prêts entreprises autres (X18) - Prêts bancaires aux entreprises (X19) (-) - Prêts aux conditions de marché TF (X20) (-) - Prêts bonifiés (X21) Ressources - Bons d’épargne (X2) (-) - CODEVI et livret B (X7) (-) - Bons de caisse (X28) (-) - CAT (X29) (-) - CAT PEP (X31) (-) - CAT PEL (X32) (-) - Plans épargne logement (X33) (-) - Emprunt écureuil TF (X34) (-) - Emprunt écureuil à TV (X35) |
*Les opérations en gras indiquent les réallocations qui se produisent ((+) et (-) respectivement pour un accroissement et une réduction), à la suite d’un accroissement du risque de Ω98 2sà Ω98pour b=1, par rapport à la répartition des opérations du tableau 14, page 227.
Nous étudions maintenant l’impact de l’évolution des taux sur la répartition des objectifs.
Nous étudions, dans ce paragraphe, l’effet des trois scénarios de taux définis précédemment sur la marge d’intérêt de la production nouvelle mais également sur la répartition des objectifs. Nous reprenons la matrice des variances-covariances initiale, Ω98 2s, qui génère un niveau de risque plus faible que la matrice Ω98, et qui octroie ainsi une marge de manœuvre plus importante pour réallouer les objectifs par rapport aux objectifs de la CELIM.
Sous l’hypothèse d’une structure par terme des taux normale, l’impact de la hausse des taux de marché du scénario de taux 1 sur la répartition des objectifs pour différents degrés d’aversion au risque (b=0, 0.01, 0.03 et 1) est mis en évidence respectivement dans les tableaux 21 à 27 et dans les annexes 4.18 à 4.21. Les résultats obtenus sont comparés à ceux du scénario de la CELIM (tableaux 6 à 13).
| Intervalles | Taux de croissance de la MI de la PN (1) | Taux de croissance de la MI de la PN (3) | Taux de croissance du risque du bilan (2) | % des réserves obligatoires de la PN dans les emplois de la PN | Ratio de solvabilité | Ratio de liquidité | Ratio de fonds propres et de ressources permanentes |
| Objectifs CELIM | 0.81% | 11.42% | 261.37% | 38.96% | |||
| ± 5% | -47.01% | 1.00% | 1.12% | 0.83% | 11.41% | 261.46% | 39.00% |
| ± 10% | -45.37% | 2.11% | 2.01% | 0.83% | 11.40% | 261.58% | 39.00% |
| ± 20% | -42.08% | 4.32% | 3.87% | 0.82% | 11.37% | 261.80% | 39.00% |
| ± 30% | -38.80% | 6.53% | 5.84% | 0.81% | 11.34% | 262.02% | 39.00% |
| ± 40% | -35.52% | 8.74% | 7.92% | 0.81% | 11.31% | 262.24% | 39.00% |
| ± 50% | -32.23% | 10.95% | 10.10% | 0.80% | 11.28% | 262.46% | 39.00% |
| ± 60% | -28.95% | 13.16% | 12.39% | 0.79% | 11.25% | 262.68% | 39.00% |
| ± 80% | -22.39% | 17.58% | 17.40% | 0.77% | 11.19% | 263.12% | 39.00% |
| ± 100% | -15.84% | 21.99% | 22.95% | 0.76% | 11.13% | 263.56% | 39.00% |
(1) par rapport à la marge calculée avec le scénario de taux de la CELIM et les objectifs de la CELIM.
(2) par rapport au risque calculé avec les objectifs de la CELIM.
(3) par rapport à la marge calculée avec le scénario de taux 1 et les objectifs de la CELIM.
| Intervalles | Taux de croissance de la MI de la PN (1) | Taux de croissance de la MI de la PN (3) | Taux de croissance du risque du bilan (2) | % des réserves obligatoires de la PN dans les emplois de la PN | Ratio de solvabilité | Ratio de liquidité | Ratio de fonds propres et de ressources permanentes |
| Objectifs CELIM | 0.81% | 11.42% | 261.37% | 38.96% | |||
| ± 5% | -47.50% | 0.67% | -2.87% | 0.87% | 11.42% | 261.17% | 39.00% |
| ± 10% | -46.43% | 1.39% | -6.24% | 0.90% | 11.43% | 260.98% | 39.00% |
| ± 20% | -44.19% | 2.90% | -12.33% | 0.96% | 11.43% | 260.60% | 39.00% |
| ± 30% | -41.91% | 4.43% | -18.00% | 1.02% | 11.44% | 260.23% | 39.00% |
| ± 40% | -39.64% | 5.97% | -23.40% | 1.08% | 11.44% | 259.85% | 39.00% |
| ± 50% | -37.36% | 7.50% | -28.54% | 1.14% | 11.45% | 259.47% | 39.00% |
| ± 60% | -35.09% | 9.03% | -33.41% | 1.20% | 11.45% | 259.10% | 39.00% |
| ± 80% | -30.50% | 12.12% | -42.26% | 1.32% | 11.46% | 258.36% | 39.00% |
| ± 100% | -25.33% | 15.60% | -48.74% | 1.44% | 11.47% | 257.63% | 39.00% |
(1) par rapport à la marge calculée avec le scénario de taux de la CELIM et les objectifs de la CELIM.
(2) par rapport au risque calculé avec les objectifs de la CELIM.
(3) par rapport à la marge calculée avec le scénario de taux 1 et les objectifs de la CELIM.
| Opérations à privilégier | Opérations à réduire |
| Emplois - Découverts entreprises (X4) - Carte aurore (X9) - Découverts particuliers (X10) - Prêts à la consommation (X11) - Prêts étudiants (X12) - Prêts PEL (X16) - Prêts conventionnés (X17) - Prêts entreprises autres (X18) - Prêts aux conditions de marché TF (X20) - Prêts aux associations à TF (X22) - Prêts aux collectivités locales TF (X23) - Prêts aux collectivités locales TV (X24) - Prêts aux collectivités locales lignes de crédit (X25) (+) Ressources - Bons d’épargne (X2) - PEP permanence (X3) - 15% LEP (X5) (+) - Livret épargne logement (X6) - CODEVI et livret B (X7) - Livret Jeunes (X8) (+) - Bons de caisse (X28) - CAT (X29) - PEP 2ème génération (X30) - CAT PEP (X31) - CAT PEL (X32) - Plans épargne logement (X33) - Emprunt écureuil TF (X34) - Emprunt écureuil à TV (X35) |
Emplois - Prêts habitat TF (X13) - Prêts habitat TV (X14) - Prêts LEL (X15) (-) - Prêts bancaires aux entreprises (X19) (-) - Prêts bonifiés (X21) - Prêts interbancaires (X26) Ressources - Emprunt au jour le jour (X36) (-) |
*Les opérations en gras indiquent les réallocations qui se produisent ((+) et (-) respectivement pour un accroissement et une réduction), à la suite de la hausse des taux du scénario 1 pour b=0.01, par rapport à la répartition des opérations du tableau 9, page 224.
| Intervalles | Taux de croissance de la MI de la PN (1) | Taux de croissance de la MI de la PN (3) | Taux de croissance du risque du bilan (2) | % des réserves obligatoires de la PN dans les emplois de la PN | Ratio de solvabilité | Ratio de liquidité | Ratio de fonds propres et de ressources permanentes |
| Objectifs CELIM | 0.81% | 11.42% | 261.37% | 38.96% | |||
| ± 5% | -48.38% | 0.08% | -4.08% | 0.87% | 11.44% | 261.17% | 39.00% |
| ± 10% | -48.07% | 0.29% | -8.44% | 0.90% | 11.45% | 260.98% | 39.00% |
| ± 20% | -47.49% | 0.68% | -16.70% | 0.96% | 11.47% | 260.60% | 39.00% |
| ± 30% | -46.90% | 1.07% | -24.53% | 1.02% | 11.49% | 260.23% | 39.00% |
| ± 40% | -46.32% | 1.47% | -31.94% | 1.08% | 11.51% | 259.85% | 39.00% |
| ± 50% | -45.74% | 1.86% | -38.91% | 1.14% | 11.53% | 259.48% | 39.00% |
| ± 60% | -45.14% | 2.26% | -45.45% | 1.20% | 11.56% | 259.10% | 39.00% |
| ± 80% | -41.91% | 4.44% | -55.81% | 1.32% | 11.60% | 258.36% | 39.00% |
| ± 100% | -37.96% | 7.10% | -64.43% | 1.44% | 11.62% | 257.63% | 39.00% |
(1) par rapport à la marge calculée avec le scénario de taux de la CELIM et les objectifs de la CELIM.
(2) par rapport au risque calculé avec les objectifs de la CELIM.
(3) par rapport à la marge calculée avec le scénario de taux 1 et les objectifs de la CELIM.
| Opérations à privilégier | Opérations à réduire |
| Emplois - Découverts entreprises (X4) - Carte aurore (X9) - Découverts particuliers (X10) - Prêts étudiants (X12) - Prêts LEL (X15) - Prêts PEL (X16) - Prêts conventionnés (X17) - Prêts entreprises autres (X18) - Prêts aux conditions de marché TF (X20) - Prêts aux associations à TF (X22) - Prêts aux collectivités locales TF (X23) - Prêts aux collectivités locales TV (X24) - Prêts aux collectivités locales lignes de crédit (X25) Ressources - Bons d’épargne (X2) - PEP permanence (X3) - 15% LEP (X5) - Livret épargne logement (X6) - CODEVI et livret B (X7) - Livret Jeunes (X8) - Bons de caisse (X28) - CAT (X29) - PEP 2ème génération (X30) - CAT PEP (X31) - CAT PEL (X32) - Plans épargne logement (X33) - Emprunt écureuil TF (X34) |
Emplois - Prêts à la consommation (X11) (+) - Prêts habitat TF (X13) - Prêts habitat TV (X14) - Prêts bancaires aux entreprises (X19)(-) - Prêts bonifiés (X21) - Prêts interbancaires (X26) (+) Ressources - Emprunt écureuil à TV (X35) - Emprunt au jour le jour (X36) |
*Les opérations en gras indiquent les réallocations qui se produisent ((+) et (-) respectivement pour un accroissement et une réduction), à la suite de la hausse des taux du scénario 1 pour b=0.03, par rapport à la répartition des opérations du tableau 11, page 225.
| Intervalles | Taux de croissance de la MI de la PN (1) | Taux de croissance de la MI de la PN (3) | Taux de croissance du risque du bilan (2) | % des réserves obligatoires de la PN dans les emplois de la PN | Ratio de solvabilité | Ratio de liquidité | Ratio de fonds propres et de ressources permanentes |
| Objectifs CELIM | 0.81% | 11.42% | 261.37% | 38.96% | |||
| ± 5% | -48.67% | -0.12% | -4.09% | 0.87% | 11.44% | 261.13% | 39.00% |
| ± 10% | -48.66% | -0.11% | -8.48% | 0.90% | 11.45% | 260.90% | 39.00% |
| ± 20% | -48.67% | -0.11% | -16.79% | 0.96% | 11.47% | 260.44% | 39.00% |
| ± 30% | -48.68% | -0.12% | -24.67% | 1.02% | 11.49% | 259.98% | 39.00% |
| ± 40% | -48.68% | -0.12% | -32.14% | 1.08% | 11.51% | 259.53% | 39.00% |
| ± 50% | -48.69% | -0.13% | -39.18% | 1.14% | 11.53% | 259.07% | 39.00% |
| ± 60% | -48.70% | -0.13% | -45.80% | 1.20% | 11.55% | 258.62% | 39.00% |
| ± 80% | -48.69% | -0.13% | -57.81% | 1.32% | 11.61% | 257.72% | 39.00% |
| ± 100% | -48.68% | -0.12% | -68.19% | 1.44% | 11.68% | 256.83% | 39.00% |
(1) par rapport à la marge calculée avec le scénario de taux de la CELIM et les objectifs de la CELIM.
(2) par rapport au risque calculé avec les objectifs de la CELIM.
(3) par rapport à la marge calculée avec le scénario de taux 1 et les objectifs de la CELIM.
| Opérations à privilégier | Opérations à réduire |
| Emplois - Carte aurore (X9) - Découverts particuliers (X10) - Prêts étudiants (X12) - Prêts LEL (X15) - Prêts PEL (X16) - Prêts conventionnés (X17) - Prêts aux conditions de marché TF (X20) - Prêts aux associations à TF (X22) - Prêts aux collectivités locales TF (X23) - Prêts aux collectivités locales TV (X24) - Prêts aux collectivités locales lignes de crédit (X25) - Prêts interbancaires (X26) (+) Ressources - Bons d’épargne (X2) - PEP permanence (X3) - 15% LEP (X5) - Livret épargne logement (X6) - CODEVI et livret B (X7) - Livret Jeunes (X8) - Bons de caisse (X28) - CAT (X29) - PEP 2ème génération (X30) - CAT PEP (X31) - CAT PEL (X32) - Plans épargne logement (X33) - Emprunt écureuil TF (X34) |
Emplois - Découverts entreprises (X4) - Prêts à la consommation (X11) - Prêts habitat TF (X13) - Prêts habitat TV (X14) - Prêts entreprises autres (X18) - Prêts bancaires aux entreprises (X19) (-) - Prêts bonifiés (X21) Ressources - Emprunt écureuil à TV (X35) - Emprunt au jour le jour (X36) |
*Les opérations en gras indiquent les réallocations qui se produisent ((+) et (-) respectivement pour un accroissement et une réduction), à la suite de la hausse des taux du scénario 1 pour b=1, par rapport à la répartition des opérations du tableau 14, page 227.
Notre méthode d’optimisation sous contraintes, dans le cas de neutralité au risque, permet d’accroître la marge d’intérêt par rapport à celle obtenue avec les objectifs de la CELIM (tableau 21) : la marge augmente de 1% pour l’intervalle 5% jusqu’à 21.99% pour l’intervalle 100%.
La sensibilité de la répartition des opérations à la hausse des taux d’intérêt diminue avec le degré d’aversion au risque. En effet, lorsque l’aversion au risque augmente, il faut que les intervalles soient de plus en plus larges pour permettre les réallocations des objectifs nécessaires, comme l’indique le niveau de risque. Pour b=0.03 et b=1, il y a réallocation des objectifs uniquement à partir respectivement des intervalles 50% et 60%. Le programme est tellement contraint que seuls les intervalles larges permettent la réallocation des objectifs. De plus, comme le montrent les tableaux 23, 25 et 27, le nombre d’opérations qui font l’objet de réallocations (opérations en gras) diminue quand le degré d’aversion au risque augmente.
Pour b=0.01, la hausse des 15% LEP et du Livret Jeunes explique l’accroissement des réserves obligatoires et la diminution du ratio de liquidité. La réduction des prêts LEL et des prêts bancaires aux entreprises n’est pas compensée par la hausse des prêts aux collectivités locales lignes de crédit TV, ce qui engendre une hausse du ratio de solvabilité.
Pour b=0.03, la réduction des prêts bancaires aux entreprises n’est pas compensée par la hausse des prêts interbancaires, d’où la hausse du ratio de solvabilité qui est amplifiée par la hausse des prêts à la consommation à partir de l'intervalle 80%. De même que pour b=0.01, la réallocation entre les prêts bancaires aux entreprises et les prêts interbancaires est à l’origine d’un ratio de solvabilité plus élevé.
L’effet de l’inversion de la structure par terme des taux du scénario de taux 2 sur la répartition des objectifs pour différents degrés d’aversion au risque (b=0, 0.01, 0.03 et 1) est détaillé respectivement dans les tableaux 28 à 34 et dans les annexes 4.22 à 4.25. Les résultats obtenus sont à nouveau comparés à ceux du scénario de la CELIM (tableaux 6 à 13).
| Intervalles | Taux de croissance de la MI de la PN (1) | Taux de croissance de la MI de la PN (3) | Taux de croissance du risque du bilan (2) | % des réserves obligatoires de la PN dans les emplois de la PN | Ratio de solvabilité | Ratio de liquidité | Ratio de fonds propres et de ressources permanentes |
| Objectifs CELIM | 0.81% | 11.42% | 261.37% | 38.96% | |||
| ± 5% | -67.80% | 0.92% | 1.39% | 0.84% | 11.41% | 261.44% | 39.00% |
| ± 10% | -66.16% | 1.89% | 2.74% | 0.84% | 11.39% | 261.52% | 39.00% |
| ± 20% | -62.88% | 3.82% | 5.50% | 0.84% | 11.36% | 261.67% | 39.00% |
| ± 30% | -59.61% | 5.75% | 8.50% | 0.84% | 11.33% | 261.82% | 39.00% |
| ± 40% | -56.36% | 7.67% | 11.89% | 0.84% | 11.30% | 261.97% | 39.00% |
| ± 50% | -53.10% | 9.59% | 15.46% | 0.84% | 11.27% | 262.12% | 39.01% |
| ± 60% | -49.85% | 11.51% | 19.21% | 0.83% | 11.24% | 262.27% | 39.01% |
| ± 80% | -43.35% | 15.35% | 27.31% | 0.83% | 11.19% | 262.58% | 39.02% |
| ± 100% | -36.85% | 19.19% | 36.30% | 0.83% | 11.13% | 262.88% | 39.04% |
(1) par rapport à la marge calculée avec le scénario de taux de la CELIM et les objectifs de la CELIM.
(2) par rapport au risque calculé avec les objectifs de la CELIM.
(3) par rapport à la marge calculée avec le scénario de taux 1 et les objectifs de la CELIM.
| Intervalles | Taux de croissance de la MI de la PN (1) | Taux de croissance de la MI de la PN (3) | Taux de croissance du risque du bilan (2) | % des réserves obligatoires de la PN dans les emplois de la PN | Ratio de solvabilité | Ratio de liquidité | Ratio de fonds propres et de ressources permanentes |
| Objectifs CELIM | 0.81% | 11.42% | 261.37% | 38.96% | |||
| ± 5% | -68.23% | 0.66% | -2.98% | 0.87% | 11.43% | 261.18% | 39.00% |
| ± 10% | -67.00% | 1.39% | -6.24% | 0.90% | 11.43% | 260.98% | 39.00% |
| ± 20% | -64.55% | 2.84% | -12.33% | 0.96% | 11.43% | 260.61% | 39.00% |
| ± 30% | -62.06% | 4.31% | -18.00% | 1.02% | 11.44% | 260.23% | 39.00% |
| ± 40% | -59.57% | 5.78% | -23.40% | 1.08% | 11.44% | 259.85% | 39.00% |
| ± 50% | -57.08% | 7.24% | -28.54% | 1.14% | 11.45% | 259.48% | 39.00% |
| ± 60% | -54.60% | 8.71% | -33.41% | 1.20% | 11.45% | 259.10% | 39.00% |
| ± 80% | -49.62% | 11.65% | -42.34% | 1.32% | 11.46% | 258.36% | 39.00% |
| v 100% | -44.63% | 14.60% | -50.16% | 1.44% | 11.47% | 257.63% | 39.00% |
(1) par rapport à la marge calculée avec le scénario de taux de la CELIM et les objectifs de la CELIM.
(2) par rapport au risque calculé avec les objectifs de la CELIM.
(3) par rapport à la marge calculée avec le scénario de taux 1 et les objectifs de la CELIM.
| Opérations à privilégier | Opérations à réduire |
| Emplois - Découverts entreprises (X4) - Carte aurore (X9) - Découverts particuliers (X10) - Prêts à la consommation (X11) - Prêts étudiants (X12) - Prêts PEL (X16) - Prêts conventionnés (X17) - Prêts entreprises autres (X18) - Prêts aux conditions de marché TF (X20) - Prêts aux associations à TF (X22) - Prêts aux collectivités locales TF (X23) - Prêts aux collectivités locales TV (X24) - Prêts aux collectivités locales lignes de crédit (X25) (+) Ressources - Bons d’épargne (X2) - PEP permanence (X3) - 15% LEP (X5) (+) - Livret épargne logement (X6) - CODEVI et livret B (X7) - Livret Jeunes (X8) (+) - Bons de caisse (X28) - CAT (X29) - PEP 2ème génération (X30) - CAT PEP (X31) - CAT PEL (X32) - Plans épargne logement (X33) - Emprunt écureuil TF (X34)(+) - Emprunt écureuil à TV (X35) |
Emplois - Prêts habitat TF (X13) - Prêts habitat TV (X14) - Prêts LEL (X15) (-) - Prêts bancaires aux entreprises (X19) (-) - Prêts bonifiés (X21) - Prêts interbancaires (X26) Ressources - Emprunt au jour le jour (X36) (-) |
*Les opérations en gras indiquent les réallocations qui se produisent ((+) et (-) respectivement pour un accroissement et une réduction), à la suite de la hausse des taux du scénario 2 pour b=0.01, par rapport à la répartition des opérations du tableau 9, 223.
| Intervalles | Taux de croissance de la MI de la PN (1) | Taux de croissance de la MI de la PN (3) | Taux de croissance du risque du bilan (2) | % des réserves obligatoires de la PN dans les emplois de la PN | Ratio de solvabilité | Ratio de liquidité | Ratio de fonds propres et de ressources permanentes |
| Objectifs CELIM | 0.81% | 11.42% | 261.37% | 38.96% | |||
| ± 5% | -69.09% | 0.15% | -4.08% | 0.87% | 11.44% | 261.18% | 39.00% |
| ± 10% | -68.72% | 0.37% | -8.44% | 0.90% | 11.45% | 260.98% | 39.00% |
| ± 20% | -67.99% | 0.80% | -16.70% | 0.96% | 11.47% | 260.61% | 39.00% |
| ± 30% | -67.27% | 1.23% | -24.53% | 1.02% | 11.49% | 260.23% | 39.00% |
| ± 40% | -66.54% | 1.66% | -31.94% | 1.08% | 11.51% | 259.85% | 39.00% |
| ± 50% | -65.82% | 2.09% | -38.91% | 1.14% | 11.53% | 259.46% | 39.00% |
| ± 60% | -65.09% | 2.52% | -45.45% | 1.20% | 11.55% | 259.10% | 39.00% |
| ± 80% | -60.85% | 5.02% | -55.27% | 1.32% | 11.57% | 258.36% | 39.00% |
| ± 100% | -56.49% | 7.59% | -63.86% | 1.44% | 11.60% | 257.63% | 39.00% |
(1) par rapport à la marge calculée avec le scénario de taux de la CELIM et les objectifs de la CELIM.
(2) par rapport au risque calculé avec les objectifs de la CELIM.
(3) par rapport à la marge calculée avec le scénario de taux 1 et les objectifs de la CELIM.
| Opérations à privilégier | Opérations à réduire |
| Emplois - Découverts entreprises (X4) - Carte aurore (X9) - Découverts particuliers (X10) - Prêts étudiants (X12) - Prêts LEL (X15) - Prêts PEL (X16) - Prêts conventionnés (X17) - Prêts entreprises autres (X18) - Prêts bancaires aux entreprises (X19) (-) - Prêts aux conditions de marché TF (X20) - Prêts aux associations à TF (X22) - Prêts aux collectivités locales TF (X23) - Prêts aux collectivités locales TV (X24) - Prêts aux collectivités locales lignes de crédit (X25) Ressources - Bons d’épargne (X2) - PEP permanence (X3) - 15% LEP (X5) - Livret épargne logement (X6) - CODEVI et livret B (X7) - Livret Jeunes (X8) - Bons de caisse (X28) - CAT (X29) - PEP 2ème génération (X30) - CAT PEP (X31) - CAT PEL (X32) - Plans épargne logement (X33) - Emprunt écureuil TF (X34) |
Emplois - Prêts à la consommation (X11) (+) - Prêts habitat TF (X13) - Prêts habitat TV (X14) - Prêts bonifiés (X21) - Prêts interbancaires (X26)(-) Ressources - Emprunt écureuil à TV (X35) - Emprunt au jour le jour (X36) |
*Les opérations en gras indiquent les réallocations qui se produisent ((+) et (-) respectivement pour un accroissement et une réduction) à la suite de la hausse des taux du scénario 2 pour b=0.03, par rapport à la répartition des opérations du tableau 11, page 225.
| Intervalles | Taux de croissance de la MI de la PN (1) | Taux de croissance de la MI de la PN (3) | Taux de croissance du risque du bilan (2) | % des réserves obligatoires de la PN dans les emplois de la PN | Ratio de solvabilité | Ratio de liquidité | Ratio de fonds propres et de ressources permanentes |
| Objectifs CELIM | 0.81% | 11.42% | 261.37% | 38.96% | |||
| ± 5% | -69.39% | -0.02% | -4.09% | 0.87% | 11.44% | 261.13% | 39.00% |
| ± 10% | -69.32% | 0.02% | -8.48% | 0.90% | 11.45% | 260.90% | 39.00% |
| ± 20% | -69.20% | 0.09% | -16.79% | 0.96% | 11.47% | 260.44% | 39.00% |
| ± 30% | -69.07% | 0.17% | -24.67% | 1.02% | 11.49% | 259.98% | 39.00% |
| ± 40% | -68.95% | 0.24% | -32.14% | 1.08% | 11.51% | 259.53% | 39.00% |
| ± 50% | -68.82% | 0.31% | -39.18% | 1.14% | 11.53% | 259.07% | 39.00% |
| ± 60% | -68.70% | 0.39% | -45.80% | 1.20% | 11.55% | 258.62% | 39.00% |
| ± 80% | -68.49% | 0.51% | -57.81% | 1.32% | 11.61% | 257.72% | 39.00% |
| ± 100% | -68.28% | 0.63% | -68.19% | 1.44% | 11.68% | 256.83% | 39.00% |
(1) par rapport à la marge calculée avec le scénario de taux de la CELIM et les objectifs de la CELIM.
(2) par rapport au risque calculé avec les objectifs de la CELIM.
(3) par rapport à la marge calculée avec le scénario de taux 1 et les objectifs de la CELIM.
| Opérations à privilégier | Opérations à réduire |
| Emplois - Carte aurore (X9) - Découverts particuliers (X10) - Prêts étudiants (X12) - Prêts LEL (X15) - Prêts PEL (X16) - Prêts conventionnés (X17) - Prêts bancaires aux entreprises (X19) (-) - Prêts aux conditions de marché TF (X20) - Prêts aux associations à TF (X22) - Prêts aux collectivités locales TF (X23) - Prêts aux collectivités locales TV (X24) - Prêts aux collectivités locales lignes de crédit (X25) - Prêts interbancaires (X26) (+) Ressources - Bons d’épargne (X2) - PEP permanence (X3) - 15% LEP (X5) - Livret épargne logement (X6) - CODEVI et livret B (X7) - Livret Jeunes (X8) - Bons de caisse (X28) - CAT (X29) - PEP 2ème génération (X30) - CAT PEP (X31) - CAT PEL (X32) - Plans épargne logement (X33) - Emprunt écureuil TF (X34) |
Emplois - Découverts entreprises (X4) - Prêts à la consommation (X11) - Prêts habitat TF (X13) - Prêts habitat TV (X14) - Prêts entreprises autres (X18) - Prêts bonifiés (X21) Ressources - Emprunt écureuil à TV (X35) - Emprunt au jour le jour (X36) |
*Les opérations en gras indiquent les réallocations qui se produisent ((+) et (-) respectivement pour un accroissement et une réduction)à la suite de la hausse des taux du scénario 2 pour b=1, par rapport à la répartition des opérations du tableau 14, page 227.
De même que pour le scénario 1, notre méthode de gestion du risque de taux permet d’améliorer la marge d’intérêt de la production nouvelle de la CELIM quels que soient les intervalles (tableau 28) : dans le cas de neutralité au risque, la marge augmente de 0.92% jusqu’à 19.19% respectivement pour les intervalles 5% et 100%.
A nouveau, l’impact de l’évolution des taux est de plus en plus faible à mesure que le coefficient d’aversion au risque augmente : pour b=0.03 et b=1, les niveaux de risque ne varient par rapport au scénario CELIM qu’à partir respectivement des intervalles 80% et 60%. Nous remarquons que pour b=0.01 et 1, la réallocation des objectifs permet de diminuer le risque, ce qui n’est pas le cas pour b=0.03.
Nous retrouvons quasiment les mêmes réallocations en fonction des intervalles et de l’aversion au risque que pour le scénario 1. Nous avons donc une réaction des ratios réglementaires à ces réallocations similaire à celle observée pour le scénario 1.
Plus précisément, pour b=0.01, les réallocations engendrées par le scénario 2 diffèrent de celles du scénario 1 au niveau de l’intervalle 5% pour les prêts interbancaires (+), les prêts aux conditions de marché TF (-) et les prêts aux collectivités locales TV (+), de l’intervalle 80% pour les prêts interbancaires (-) et les prêts LEL (+) et de l’intervalle 100% pour l’emprunt écureuil TV (+) et l’emprunt au jour le jour (-). Ces réallocations engendrent une augmentation des réserves obligatoires et du ratio de solvabilité par rapport au scénario de la CELIM et une diminution du ratio de liquidité.
Pour b=0.03, les prêts interbancaires sont plus faibles que dans le scénario 1 contrairement aux prêts à la consommation et aux prêts bancaires aux entreprises.
Pour b=1, les prêts interbancaires sont également plus faibles que dans le scénario 1 alors que les prêts bancaires aux entreprises sont plus élevés.
L’effet de la hausse des taux réglementés du scénario de taux 3 sur la répartition des objectifs pour différents degrés d’aversion au risque (b=0, 0.01, 0.03 et 1) est décrite respectivement dans les tableaux 35 à 40 et dans les annexes 4.26 à 4.29. Les résultats obtenus sont comparés à ceux du scénario de la CELIM (tableaux 6 à 13).
| Intervalles | Taux de croissance de la MI de la PN (1) | Taux de croissance de la MI de la PN (3) | Taux de croissance du risque du bilan (2) | % des réserves obligatoires de la PN dans les emplois de la PN | Ratio de solvabilité | Ratio de liquidité | Ratio de fonds propres et de ressources permanentes |
| Objectifs CELIM | 0.81% | 11.42% | 261.37% | 38.96% | |||
| ± 5% | 0.91% | 1.38% | 1.68% | 0.82% | 11.41% | 261.61% | 39.00% |
| ± 10% | 2.42% | 2.88% | 3.52% | 0.80% | 11.39% | 261.86% | 39.00% |
| ± 20% | 5.38% | 5.83% | 7.33% | 0.76% | 11.36% | 262.36% | 39.00% |
| ± 30% | 8.33% | 8.76% | 11.23% | 0.72% | 11.34% | 262.86% | 39.00% |
| ± 40% | 11.28% | 11.70% | 15.26% | 0.68% | 11.30% | 263.37% | 39.00% |
| ± 50% | 14.23% | 14.63% | 19.44% | 0.64% | 11.27% | 263.87% | 39.00% |
| ± 60% | 17.17% | 17.56% | 23.76% | 0.60% | 11.24% | 264.38% | 39.00% |
| ± 80% | 23.07% | 23.43% | 32.82% | 0.52% | 11.18% | 265.39% | 39.00% |
| ± 100% | 28.97% | 29.30% | 42.44% | 0.44% | 11.12% | 266.42% | 39.00% |
(1) par rapport à la marge calculée avec le scénario de taux de la CELIM et les objectifs de la CELIM.
(2) par rapport au risque calculé avec les objectifs de la CELIM.
(3) par rapport à la marge calculée avec le scénario de taux 1 et les objectifs de la CELIM.
Notre méthode de gestion du risque de taux d’intérêtpermet également pour une hausse des taux réglementés, d’accroître la marge d’intérêt de la production nouvelle par rapport à la marge calculée avec les objectifs de la CELIM : dans le cas de neutralité au risque,la marge augmente de 1.38% et 29.30% respectivement pour les intervalles 5% et 100%.
| Intervalles | Taux de croissance de la MI de la PN (1) | Taux de croissance de la MI de la PN (3) | Taux de croissance du risque du bilan (2) | % des réserves obligatoires de la PN dans les emplois de la PN | Ratio de solvabilité | Ratio de liquidité | Ratio de fonds propres et de ressources permanentes |
| Objectifs CELIM | 0.81% | 11.42% | 261.37% | 38.96% | |||
| ± 5% | 0.37% | 0.84% | -2.57% | 0.83% | 11.42% | 261.48% | 39.00% |
| ± 10% | 1.15% | 1.61% | -5.79% | 0.83% | 11.42% | 261.59% | 39.00% |
| ± 20% | 2.59% | 3.05% | -12.04% | 0.82% | 11.43% | 261.80% | 39.00% |
| ± 30% | 4.03% | 4.48% | -18.02% | 0.81% | 11.43% | 262.02% | 39.00% |
| ± 40% | 5.48% | 5.92% | -23.72% | 0.81% | 11.43% | 262.24% | 39.00% |
| ± 50% | 6.92% | 7.36% | -29.16% | 0.80% | 11.43% | 262.46% | 39.00% |
| ± 60% | 8.91% | 9.34% | -33.03% | 0.79% | 11.44% | 262.68% | 39.00% |
| ± 80% | 12.36% | 12.78% | -41.50% | 0.77% | 11.44% | 263.12% | 39.00% |
| ± 100% | 17.29% | 17.67% | -45.79% | 0.76% | 11.41% | 263.56% | 39.00% |
(1) par rapport à la marge calculée avec le scénario de taux de la CELIM et les objectifs de la CELIM.
(2) par rapport au risque calculé avec les objectifs de la CELIM.
(3) par rapport à la marge calculée avec le scénario de taux 1 et les objectifs de la CELIM.
| Opérations à privilégier | Opérations à réduire |
| Emplois - Découverts entreprises (X4) - Carte aurore (X9) - Découverts particuliers (X10) - Prêts à la consommation (X11) (-) - Prêts étudiants (X12) - Prêts LEL (X15) - Prêts PEL (X16) - Prêts conventionnés (X17) - Prêts entreprises autres (X18) - Prêts bancaires aux entreprises (X19) (+) - Prêts aux conditions de marché TF (X20) - Prêts aux associations à TF (X22) - Prêts aux collectivités locales TF (X23) - Prêts aux collectivités locales TV (X24) (+) Ressources - Bons d’épargne (X2) - PEP permanence (X3) - Livret épargne logement (X6) - CODEVI et livret B (X7) - Bons de caisse (X28) - CAT (X29) - PEP 2ème génération (X30) - CAT PEP (X31) - CAT PEL (X32) - Plans épargne logement (X33) - Emprunt écureuil TF (X34) - Emprunt écureuil à TV (X35) |
Emplois - Prêts habitat TF (X13) (-) - Prêts habitat TV (X14) - Prêts bonifiés (X21) - Prêts aux collectivités locales lignes de crédit (X25) - Prêts interbancaires (X26) Ressources - 15% LEP (X5) - Livret Jeunes (X8) - Emprunt au jour le jour (X36) |
*Les opérations en gras indiquent les réallocations qui se produisent ((+) et (-) respectivement pour un accroissement et une réduction) à la suite de la hausse des taux du scénario 3 pour b=0.01, par rapport à la répartition des opérations du tableau 9, page 224.
| Intervalles | Taux de croissance de la MI de la PN (1) | Taux de croissance de la MI de la PN (3) | Taux de croissance du risque du bilan (2) | % des réserves obligatoires de la PN dans les emplois de la PN | Ratio de solvabilité | Ratio de liquidité | Ratio de fonds propres et de ressources permanentes |
| Objectifs CELIM | 0.81% | 11.42% | 261.37% | 38.96% | |||
| ± 5% | -0.67% | -0.20% | -4.08% | 0.87% | 11.44% | 261.17% | 39.00% |
| ± 10% | -0.67% | -0.20% | -8.44% | 0.90% | 11.45% | 260.98% | 39.00% |
| ± 20% | -0.70% | -0.23% | -16.70% | 0.96% | 11.47% | 260.60% | 39.00% |
| ± 30% | -0.74% | -0.26% | -24.53% | 1.02% | 11.49% | 260.23% | 39.00% |
| ± 40% | -0.77% | -0.30% | -31.94% | 1.08% | 11.51% | 259.85% | 39.00% |
| ± 50% | -0.80% | -0.33% | -38.91% | 1.14% | 11.53% | 259.48% | 39.00% |
| ± 60% | -0.84% | -0.36% | -45.45% | 1.20% | 11.55% | 259.10% | 39.00% |
| ± 80% | 0.40% | 0.87% | -56.26% | 1.32% | 11.56% | 258.36% | 39.00% |
| ± 100% | 2.83% | 3.29% | -64.78% | 1.44% | 11.56% | 257.63% | 39.00% |
(1) par rapport à la marge calculée avec le scénario de taux de la CELIM et les objectifs de la CELIM.
(2) par rapport au risque calculé avec les objectifs de la CELIM.
(3) par rapport à la marge calculée avec le scénario de taux 1 et les objectifs de la CELIM.
| Intervalles | Taux de croissance de la MI de la PN (1) | Taux de croissance de la MI de la PN (3) | Taux de croissance du risque du bilan (2) | % des réserves obligatoires de la PN dans les emplois de la PN | Ratio de solvabilité | Ratio de liquidité | Ratio de fonds propres et de ressources permanentes |
| Objectifs CELIM | 0.81% | 11.42% | 261.37% | 38.96% | |||
| ± 5% | -1.00% | -0.52% | -4.09% | 0.87% | 11.44% | 261.13% | 39.00% |
| ± 10% | -1.32% | -0.84% | -8.48% | 0.90% | 11.45% | 260.90% | 39.00% |
| ± 20% | -2.00% | -1.52% | -16.79% | 0.96% | 11.47% | 260.44% | 39.00% |
| ± 30% | -2.68% | -2.20% | -24.67% | 1.02% | 11.49% | 259.98% | 39.00% |
| ± 40% | -3.37% | -2.88% | -32.14% | 1.08% | 11.51% | 259.53% | 39.00% |
| ± 50% | -4.05% | -3.56% | -39.18% | 1.14% | 11.53% | 259.07% | 39.00% |
| ± 60% | -4.73% | -4.24% | -45.80% | 1.20% | 11.55% | 258.62% | 39.00% |
| ± 80% | -6.59% | -6.09% | -57.81% | 1.32% | 11.61% | 257.72% | 39.00% |
| ± 100% | -8.57% | -8.06% | -68.19% | 1.44% | 11.67% | 256.83% | 39.00% |
(1) par rapport à la marge calculée avec le scénario de taux de la CELIM et les objectifs de la CELIM.
(2) par rapport au risque calculé avec les objectifs de la CELIM.
(3) par rapport à la marge calculée avec le scénario de taux 1 et les objectifs de la CELIM.
| Opérations à privilégier | Opérations à réduire |
| Emplois - Carte aurore (X9) - Découverts particuliers (X10) - Prêts étudiants (X12) - Prêts LEL (X15) - Prêts PEL (X16) - Prêts conventionnés (X17) - Prêts bancaires aux entreprises (X19) (+) - Prêts aux conditions de marché TF (X20) - Prêts aux associations à TF (X22) - Prêts aux collectivités locales TF (X23) - Prêts aux collectivités locales TV (X24) - Prêts aux collectivités locales lignes de crédit (X25) - Prêts interbancaires (X26) (-) Ressources - Bons d’épargne (X2) - PEP permanence (X3) - 15% LEP (X5) - Livret épargne logement (X6) - CODEVI et livret B (X7) - Livret Jeunes (X8)- Bons de caisse (X28) - CAT (X29) - PEP 2ème génération (X30) - CAT PEP (X31) - CAT PEL (X32) - Plans épargne logement (X33) - Emprunt écureuil TF (X34) |
Emplois - Découverts entreprises (X4) - Prêts à la consommation (X11) - Prêts habitat TF (X13) - Prêts habitat TV (X14) - Prêts entreprises autres (X18) - Prêts bonifiés (X21) Ressources - Emprunt écureuil à TV (X35) - Emprunt au jour le jour (X36) |
*Les opérations en gras indiquent les réallocations qui se produisent ((+) et (-) respectivement pour un accroissement et une réduction), à la suite de la hausse des taux du scénario 3 pour b=1, par rapport à la répartition des opérations du tableau 14, page 227.
Là encore, les réallocations des objectifs sont de moins en moins importantes à mesure que l’aversion au risque augmente. Pour b=0.01 et b=1, le niveau de risque varie respectivement à partir des intervalles 10% et 80%. En revanche, pour b=0.03, il n’y a aucune réallocation.
Pour b=0.01, les réallocations ne se répercutent sur les contraintes réglementaires que pour l’intervalle 100%, les pondérations associées à chacune des opérations qui subissent des modifications étant identiques pour les intervalles 5 à 90%.
Pour b=1, la hausse des prêts bancaires aux entreprises n’est pas compensée par la baisse des prêts interbancaires, d’où la baisse du ratio de solvabilité pour les intervalles 80% et 100%.
Finalement, lorsque nous comparons les résultats du scénario 3 à ceux des scénarios 1 et 2, nous constatons que pour b=0.01 et b=1, la hausse des taux réglementés par rapport à une hausse des taux de marché implique une exposition au risque plus élevée. Les réserves obligatoires et le ratio de solvabilité augmentent également contrairement au ratio de liquidité. Toutefois, pour b=0.01, la sensibilité de la répartition des opérations par rapport à la répartition des opérations pour le scénario CELIM se manifeste pour tous les intervalles alors que pour b=1, elle n’apparaît qu’à partir de l’intervalle 60%.
En revanche, pour b=0.03, la hausse des taux réglementés se différencie de la hausse des taux de marché du scénario 1 et du scénario 2 uniquement à partir respectivement des intervalles 50% et 80%. Dans ce cas, en période de hausse des taux réglementés, la CELIM est moins exposée au risque et le ratio de solvabilité diminue. Les réallocations n’ont aucun impact sur les réserves obligatoires et le ratio de liquidité.
Dans toutes les simulations précédentes, nous avons analysé l’effet de la variation des différents éléments de la fonction objectif de notre programme sur la répartition des objectifs, soient de l’aversion au risque, du niveau de risque et des taux d’intérêt. Nous étudions maintenant l’influence des différentes contraintes de notre programme sur les résultats.
Nous analysons l’effet sur la répartition des objectifs de la présence ou non des contraintes réglementaires et des contraintes d’intervalle mais également de la variation des objectifs sur le montant total des emplois et des ressources risqués. Excepté pour les simulations où nous supprimons les contraintes d’intervalle, toutes les simulations sont réalisées pour un degré d’aversion au risque égal à 0.01, la matrice des variances-covariances qui génère le niveau de risque le plus faible, 98 2s, et le scénario de taux de la CELIM.
Nous nous intéressons à l’effet de l’ensemble des contraintes réglementaires que nous considérons dans notre modèle puis de chacune d’entre elles.
Nous supprimons simultanément les quatre contraintes réglementaires de notre modèle, c'est-à-dire les contraintes de réserves obligatoires, de solvabilité, de liquidité et de fonds propres et de ressources permanentes. Nous comparons les résultats obtenus avec ceux des tableaux 8 et 9 où les contraintes réglementaires sont prises en compte.
Comme nous l’avons précisé dans l’annexe 4 .9, dans toutes les simulations précédentes, les réserves obligatoires n’étant pas contraintes par des bornes minimales et maximales, l’intervalle qui leur était associé était très large. Nous réduisons maintenant l’intervalle des réserves obligatoires en le construisant comme pour les autres opérations, c'est-à-dire en faisant varier les objectifs de la CELIM de 5% à 100%.
Le tableau 41 montre que, contrairement à ce à quoi on pourrait s’attendre intuitivement, supprimer les contraintes réglementaires réduit le niveau de risque et accroît la marge d’intérêt de la production nouvelle. Cependant, ce résultat est expliqué par le fait que les contraintes ont trait au risque de défaut qui n’est pas pris en compte ici. Supprimer ces contraintes devient alors avantageux en terme de diversification et de rémunération des actifs.
| Intervalles | Taux de croissance de la MI de la PN (1) | Taux de croissance du risque du bilan (2) | % des réserves obligatoires de la PN dans les emplois de la PN | Ratio de solvabilité | Ratio de liquidité | Ratio de fonds propres et de ressources permanentes |
| Objectifs CELIM | 0.81% | 11.42% | 261.37% | 38.96% | ||
| ± 5% | 0.50% | -4.52% | 0.77% | 11.42% | 261.48% | 38.87% |
| ± 10% | 0.99% | -8.92% | 0.73% | 11.42% | 261.59% | 38.77% |
| ± 20% | 1.98% | -17.35% | 0.65% | 11.42% | 261.81% | 38.58% |
| ± 30% | 3.11% | -24.97% | 0.57% | 11.43% | 262.09% | 38.32% |
| ± 40% | 4.41% | -31.72% | 0.48% | 11.43% | 262.33% | 38.10% |
| ± 50% | 5.73% | -38.05% | 0.40% | 11.43% | 262.57% | 37.9°% |
| ± 60% | 6.87% | -44.38% | 0.32% | 11.43% | 262.81% | 37.69% |
| ± 80% | 10.05% | -53.71% | 0.16% | 11.43% | 263.29% | 37.43% |
| ± 100% | 15.19% | -57.44% | 0.00% | 11.42% | 263.78% | 37.39% |
(1) par rapport à la marge calculée avec le scénario de taux de la CELIM et les objectifs de la CELIM.
(2) par rapport au risque calculé avec les objectifs de la CELIM.
| Opérations à privilégier | Opérations à réduire |
| Emplois - Découverts entreprises (X4) - Carte aurore (X9) - Découverts particuliers (X10) - Prêts étudiants (X12) - Prêts habitat TF (X13) (+) - Prêts PEL (X16) - Prêts conventionnés (X17) - Prêts entreprises autres (X18) - Prêts aux conditions de marché TF (X20) - Prêts aux associations à TF (X22) - Prêts aux collectivités locales TF (X23) - Prêts aux collectivités locales TV (X24) Ressources - Livret épargne logement (X6) - CODEVI et livret B (X7) - Bons d’épargne (X2) - Bons de caisse (X28) - CAT (X29) - CAT PEP (X31) - CAT PEL (X32) - Plans épargne logement (X33) - Emprunt écureuil à TV (X35) |
Emplois - Prêts à la consommation (X11) (-) - Prêts habitat TV (X14) - Prêts LEL (X15) (-) - Prêts bancaires aux entreprises (X19) (-) - Prêts bonifiés (X21) - Prêts aux collectivités locales lignes de crédit (X25) - Prêts interbancaires (X26) Ressources - PEP permanence (X3) (-) - 15% LEP (X5) - Livret Jeunes (X8) - PEP 2ème génération (X30) (-) - Emprunt écureuil TF (X34) (-) - Emprunt au jour le jour (X36) (+) |
*Les opérations en gras indiquent les réallocations qui se produisent ((+) et (-) respectivement pour un accroissement et une réduction), en supprimant les contraintes réglementaires pour b=0.01, par rapport à la répartition des opérations du tableau 9 page 224.
Ces simulations ne permettent pas de déterminer, à ce stade de l’analyse, quelle est ou quelles sont les contraintes à l’origine de ce résultat. Pour cela nous devons isoler l’impact de chaque contrainte. Le tableau 42 nous indique les réallocations qui se produisent (opérations en gras) entre les opérations de la production nouvelle et nous permet, avec l’aide de l’annexe amovible 4.8, d’expliquer comment elles se répercutent sur les ratios.
En supprimant la contrainte de réserves obligatoires, les réserves obligatoires deviennent indépendantes des ressources. Elles sont alors considérées comme n’importe quel autre prêt mais elles sont moins rémunératrices que les autres prêts puisqu’elles sont rémunérées au taux des appels d’offre plus faible que les taux du marché. C’est cette plus faible rémunération qui est à l’origine de leur réduction par rapport au cas avec contraintes.
La légère baisse du ratio de solvabilité provient de l’augmentation des prêts habitat TF qui n’est pas parfaitement compensée par la diminution des prêts à la consommation, des prêts LEL et des prêts bancaires aux entreprises. Ces résultats n’apparaissent pas explicitement ici car de si faibles variations ne peuvent être mises en évidence qu’avec des pourcentages à 4 chiffres après la virgule alors que les % sont présentés avec seulement 2 chiffres après la virgule.
C’est la réduction des PEP permanence et des PEP 2ème génération qui est à l’origine de la hausse du ratio de liquidité.
Enfin, le coefficient de fonds propres et de ressources permanentes, qui dans toutes les simulations précédentes a toujours été égal à son seuil minimum de 39%, diminue. C’est la réallocation des prêts habitat TF, des PEP permanence et des PEP 2G qui engendre la réduction du ratio de fonds propres et de ressources permanentes.
Nous avons mis en évidence l’impact de la suppression de l’ensemble des contraintes sur la répartition des opérations de la production nouvelle. La prise en compte isolément de chaque contrainte nous permet maintenant de connaître l’impact de chacune d’elle sur le risque et la marge d’intérêt.
Tout d’abord, nous prenons seulement en compte la contrainte de réserves obligatoires. Le montant des réserves obligatoires dépend à nouveau des ressources dont la maturité est inférieure à 2 ans. Nous relâchons donc son intervalle. L’effet de la prise en compte de cette contrainte est mis en évidence dans les tableaux 43 et 44 et est comparé aux résultats des tableaux 41 et 42.
| Intervalles | Taux de croissance de la MI de la PN (1) | Taux de croissance du risque du bilan (2) | % des réserves obligatoires de la PN dans les emplois de la PN | Ratio de solvabilité | Ratio de liquidité | Ratio de fonds propres et de ressources permanentes |
| Objectifs CELIM | 0.81% | 11.42% | 261.37% | 38.96% | ||
| ± 5% | 0.46% | -4.59% | 0.83% | 11.42% | 261.48% | 38.87% |
| ± 10% | 0.94% | -9.02% | 0.83% | 11.42% | 261.59% | 38.77% |
| ± 20% | 1.90% | -17.51% | 0.82% | 11.43% | 261.81% | 38.59% |
| ± 30% | 2.99% | -25.18% | 0.81% | 11.43% | 262.09% | 38.33% |
| ± 40% | 4.30% | -31.87% | 0.81% | 11.43% | 262.33% | 38.12% |
| ± 50% | 5.54% | -38.35% | 0.80% | 11.43% | 262.57% | 37.92% |
| ± 60% | 6.65% | -44.71% | 0.79% | 11.44% | 262.81% | 37.72% |
| ± 80% | 9.78% | -54.01% | 0.77% | 11.44% | 263.29% | 37.47% |
| v 100% | 14.99% | -57.48% | 0.76% | 11.43% | 263.78% | 37.45% |
(1) par rapport à la marge calculée avec le scénario de taux de la CELIM et les objectifs de la CELIM.
(2) par rapport au risque calculé avec les objectifs de la CELIM.
| Opérations à privilégier | Opérations à réduire |
| Emplois - Découverts entreprises (X4) - Carte aurore (X9) - Découverts particuliers (X10) - Prêts étudiants (X12) - Prêts habitat TF (X13)*(-) - Prêts PEL (X16) - Prêts conventionnés (X17) - Prêts entreprises autres (X18) - Prêts aux conditions de marché TF (X20) - Prêts aux associations à TF (X22) - Prêts aux collectivités locales TF (X23) - Prêts aux collectivités locales TV (X24) Ressources - Bons d’épargne (X2) - Livret épargne logement (X6) - CODEVI et livret B (X7) - CAT (X29) - CAT PEP (X31) - CAT PEL (X32) - Plans épargne logement (X33) |
Emplois - Prêts à la consommation (X11) - Prêts habitat TV (X14) - Prêts LEL (X15) - Prêts bancaires aux entreprises (X19) - Prêts bonifiés (X21) - Prêts aux collectivités locales lignes de crédit (X25) - Prêts interbancaires (X26) Ressources - PEP permanence (X3) - 15% LEP (X5) - Livret Jeunes (X8) - Bons de caisse (X28) - PEP 2ème génération (X30) - Emprunt écureuil TF (X34) - Emprunt écureuil à TV (X35) - Emprunt au jour le jour (X36) |
*Les opérations en gras indiquent les réallocations qui se produisent ((+) et (-) respectivement pour un accroissement et une réduction), en intégrant uniquement les réserves obligatoires par rapport au cas sans contraintes pour b=0.01, par rapport à la répartition des opérations du tableau 42, page 251.
La prise en compte de la seule contrainte de réserves obligatoires a un effet négatif sur la marge d’intérêt mais permet de diminuer le risque par rapport au cas sans contraintes.
Par rapport à la situation sans contraintes (annexe 4.30), le montant des réserves obligatoires est plus élevé, contrairement à celui des prêts habitat TF (X13). C’est cette réallocation qui est à l’origine de la diminution de la marge et du risque, les réserves obligatoires étant moins rémunérées et moins risquées que les prêts habitat TF.
Les ratios de solvabilité et de liquidité ne sont pas contraignants puisqu’ils sont largement supérieurs aux normes imposées par les autorités bancaires qui sont respectivement de 8% et de 100%. Seule une production nouvelle très élevée qui modifierait la structure du bilan de telle sorte que ces deux ratios diminuent fortement saturerait ces deux contraintes. Nous retrouvons donc les mêmes résultats que ceux sans contraintes des tableaux 41 et 42.
Nous isolons maintenant le ratio de fonds propres et de ressources permanentes. Ce ratio est très contraignant puisque avec les objectifs de la CELIM il est égal à 38.96% alors que la norme imposée par les autorités bancaires est de 60%. Nous mettons en évidence l’impact de sa prise en compte sur les résultats de la CELIM lorsque son seuil est fixé à 39%. Nous augmentons ensuite ce seuil minimum à 40%, 41% et 42%. Nous comparons les résultats obtenus à ceux des tableaux 41 et 42 où aucune contrainte réglementaire n’est prise en compte.
| Intervalles | Taux de croissance de la MI de la PN (1) | Taux de croissance du risque du bilan (2) | % des réserves obligatoires de la PN dans les emplois de la PN | Ratio de solvabilité | Ratio de liquidité | Ratio de fonds propres et de ressources permanentes |
| Objectifs CELIM | 0.81% | 11.45% | 261.37% | 38.96% | ||
| ± 5% | 0.83% | -2.59% | 0.85% | 11.42% | 261.48% | 39.00% |
| ± 10% | 1.68% | -5.64% | 0.89% | 11.43% | 261.59% | 39.00% |
| ± 20% | 3.41% | -11.25% | 0.97% | 11.43% | 261.80% | 39.00% |
| ± 30% | 5.13% | -16.60% | 1.05% | 11.43% | 262.02% | 39.00% |
| ± 40% | 6.78% | -21.85% | 1.13% | 11.44% | 262.24% | 39.00% |
| ± 50% | 8.43% | -26.84% | 1.21% | 11.44% | 262.46% | 39.00% |
| ± 60% | 10.72% | -30.09% | 1.29% | 11.44% | 262.68% | 39.00% |
| ± 80% | 15.09% | -36.57% | 0.30% | 11.43% | 263.12% | 39.00% |
| ± 100% | 19.98% | -41.13% | 0.00% | 11.41% | 263.56% | 39.00% |
(1) par rapport à la marge calculée avec le scénario de taux de la CELIM et les objectifs de la CELIM.
(2) par rapport au risque calculé avec les objectifs de la CELIM.
| Opérations à privilégier | Opérations à réduire |
| Emplois - Découverts entreprises (X4) - Carte aurore (X9) - Découverts particuliers (X10) - Prêts à la consommation (X11) (+) - Prêts étudiants (X12) - Prêts LEL (X15) (+) - Prêts PEL (X16) - Prêts conventionnés (X17) - Prêts entreprises autres (X18) - Prêts aux conditions de marché TF (X20) - Prêts aux associations à TF (X22) - Prêts aux collectivités locales TF (X23) - Prêts aux collectivités locales TV (X24) Ressources - Bons d’épargne (X2) - PEP permanence (X3) (+) - Livret épargne logement (X6) - CODEVI et livret B (X7) - Bons de caisse (X28) - CAT (X29) - PEP 2ème génération (X30) (+) - CAT PEP (X31) - CAT PEL (X32) - Plans épargne logement (X33) - Emprunt écureuil à TV (X35) |
Emplois - 15% LEP (X5) - Livret Jeunes (X8) - Prêts habitat TF (X13) (-) - Prêts habitat TV (X14) - Prêts bancaires aux entreprises (X19) (+) - Prêts bonifiés (X21) - Prêts aux collectivités locales lignes de crédit (X25) - Prêts interbancaires (X26) Ressources - Emprunt écureuil TF (X34) - Emprunt au jour le jour (X36) (-) |
*Les opérations en gras indiquent les réallocations qui se produisent ((+) et (-) respectivement pour un accroissement et une réduction), en intégrant un coefficient de fonds propres et de ressources permanenttes=39% pour b=0.01, par rapport à la répartition des opérations du tableau 7, page 221.
La prise en compte du coefficient de fonds propres et de ressources permanentes, qui se traduit donc par une hausse de ce dernier, engendre un taux de croissance de la marge d’intérêt et du risque plus élevé (le risque diminue moins par rapport au cas de neutralité au risque que lorsqu’il n’y a pas de contraintes réglementaires).
Les réallocations engendrées par la prise en compte de la contrainte de fonds propres et de ressources permanentes privilégient l’accroissement de la marge aux dépens de la réduction du risque. Par exemple, nous avons vu précédemment que l’accroissement de l’aversion absolue au risque permet de classer les opérations les plus risquées et les moins risquées, des plus avantageuses en termes de rendement-risque aux moins avantageuses. Ainsi, les prêts habitat TF, les prêts bancaires aux entreprises et l’emprunt au jour le jour sont considérés comme les opérations les plus risquées les plus avantageuses en termes de rendement-risque. Or lorsque la réglementation est ignorée (tableau 41), comme les prêts habitat TF et l’emprunt au jour le jour augmentent plus que les prêts à la consommation et les prêts bancaires aux entreprises, le risque augmente. A l’inverse, les prêts LEL et les PEP permanence sont considérés comme les opérations les moins risquées les plus avantageuses en termes de rendement-risque. Leur réduction qui résulte de la suppression des contraintes (tableau 41) engendre également plus de risque. L’accroissement du risque est donc expliqué.
| Intervalles | Taux de croissance de la MI de la PN (1) | Taux de croissance du risque du bilan (2) | % des réserves obligatoires de la PN dans les emplois de la PN | Ratio de solvabilité | Ratio de liquidité | Ratio de fonds propres et de ressources permanentes |
| Objectifs CELIM | 0.81% | 11.42% | 261.37% | 38.96% | ||
| Seuil minimum du ratio de fonds propres et de ressources permanentes : 40% | ||||||
| ± 40% | 5.03% | 3.20% | 1.13% | 11.50% | 262.25% | 40.00% |
| ± 50% | 6.56% | -6.89% | 1.21% | 11.52% | 262.46% | 40.00% |
| ± 60% | 8.31% | -15.59% | 1.29% | 11.52% | 262.68% | 40.00% |
| ± 80% | 13.36% | -26.33% | 1.45% | 11.48% | 263.12% | 40.00% |
| ± 100% | 17.84% | -35.17% | 1.62% | 11.46% | 263.56% | 40.00% |
| Seuil minimum du ratio de fonds propres et de ressources permanentes : 41% | ||||||
| ± 80% | 10.14% | 3.85% | 1.45% | 11.57% | 263.12% | 41.00% |
| ± 100% | 13.19% | -15.62% | 1.62% | 11.61% | 263.56% | 41.00% |
| Seuil minimum du ratio de fonds propres et de ressources permanentes : 42% | ||||||
| ± 100% | 12.25% | 25.38% | 1.62% | 11.61% | 263.56% | 42.00% |
(1) par rapport à la marge calculée avec le scénario de taux de la CELIM et les objectifs de la CELIM.
(2) par rapport au risque calculé avec les objectifs de la CELIM.
Une hausse supplémentaire du ratio de fonds propres et de ressources permanentes à 40%, 41% et 42% affecte le taux de croissance de la marge d’intérêt mais accroît le risque.Il est donc doublement pénalisant, en termes de marge et de risque, de fixer un coefficient de fonds propres et de ressources permanentes supérieur à 39%.
Nous remarquons que plus le seuil minimum imposé à ce coefficient est élevé, plus les intervalles doivent être larges pour que la contrainte soit vérifiée. Seul l’intervalle 100% permet d’atteindre un coefficient de 42%. En effet, par exemple, comme le montre l’annexe 4.33, imposer un ratio de fonds propres et de ressources permanentes égal à 42% engendre uniquement une réallocation entre les prêts aux collectivités locales TF (X23), qui diminuent de 20.29% à 7.42%, et les prêts interbancaires (X26), qui augmentent de 26.25% à 39.12%. Or, seul l’intervalle 100% permet d’obtenir 39.12% de prêts interbancaires, la borne supérieure de l’intervalle 80% étant 37.15%
Nous supprimons les contraintes commerciales, ce qui revient à imposer des contraintes de signes, positifs pour les emplois et négatifs pour les ressources. Le premier élément de notre solution reste égal à la constante qui représente l’impasse du stock risqué. La suppression des contraintes commerciales, exprimées sous forme d’intervalles, permet de prendre en compte uniquement les opérations qui sont les plus avantageuses en termes de rendement-risque puisque aucun montant maximum n’est imposé aux opérations. Nous réalisons diverses simulations en conservant toutes les autres contraintes du programme et en faisant varier le degré d’aversion au risque, les scénarios de taux et le niveau de risque.
| Taux de croissance de la MI de la PN (1) | Taux de croissance du risque du bilan (2) | % des réserves obligatoires de la PN dans les emplois de la PN | Ratio de solvabilité | Ratio de liquidité | Ratio de fonds propres et de ressources permanentes | |
| Objectifs CELIM | 0.81% | 11.42% | 261.37% | 38.96% | ||
| Scénario de taux CELIM | ||||||
| b=0 | 257.90% | 14.95% | 5.97% | 12.32% | 248.56% | 42.10% |
| b=0.01 | 246.58% | -95.72% | 5.96% | 12.32% | 248.53% | 42.10% |
| b=0.03 | 244.30% | -99.38% | 5.85% | 12.32% | 248.27% | 42.10% |
| b=1 | 238.20% | -99.93% | 5.72% | 12.32% | 248.10% | 41.92% |
| Scénario 1, b=0.01 | 249.88% | -93.37% | 5.97% | 12.32% | 248.56% | 42.10% |
| Scénario 2, b=0.01 | 250.26% | -93.37% | 5.97% | 12.32% | 248.56% | 42.10% |
| Scénario 3, b=0.01 | 227.48% | -99.40% | 5.84% | 12.32% | 248.25% | 42.10% |
(1) par rapport à la marge calculée avec le scénario de taux de la CELIM et les objectifs de la CELIM.
(2) par rapport au risque calculé avec les objectifs de la CELIM.
| Taux de croissance de la MI de la PN (1) | Taux de croissance du risque du bilan (2) | % des réserves obligatoires de la PN dans les emplois de la PN | Ratio de solvabilité | Ratio de liquidité | Ratio de fonds propres et de ressources permanentes | |
| Objectifs CELIM | 0.81% | 11.42% | 261.37% | 38.96% | ||
| Scénario CELIM | ||||||
| b=0 | 257.90% | -23.81% | 5.97% | 12.32% | 248.56% | 42.10% |
| b=0.01 | 256.85% | -25.98% | 5.97% | 12.32% | 248.56% | 42.10% |
| b=0.03 | 226.06% | -46.79% | 5.97% | 12.07% | 243.23% | 42.10% |
| b=1 | 35.01% | -80.81% | 2.96% | 11.42% | 242.48% | 41.43% |
| b=5 | 34.27% | -80.82% | 2.91% | 11.42% | 242.91% | 41.47% |
| b=7 | 34.23% | -80.82% | 2.91% | 11.42% | 242.93% | 41.47% |
| b=8 | 34.21% | -80.82% | 2.90% | 11.42% | 242.94% | 41.47% |
| Scénario 1, b=0.01 | 263.78% | -24.90% | 5.97% | 12.32% | 248.56% | 42.10% |
| Scénario 2, b=0.01 | 264.15% | -24.90% | 5.97% | 12.32% | 248.56% | 42.10% |
| Scénario 3, b=0.01 | 231.42% | -27.02% | 5.97% | 12.32% | 248.56% | 42.10% |
(1) par rapport à la marge calculée avec le scénario de taux de la CELIM et les objectifs de la CELIM.
(2) par rapport au risque calculé avec les objectifs de la CELIM.
Les contraintes d’intervalle sont une manière très rudimentaire de prendre en compte les effets de demande de la clientèle. Supprimer ces contraintes consiste à supposer que les objectifs sont réalisables quel que soit leur montant. Même si cette façon de procéder est irréaliste, il nous a cependant paru intéressant d’analyser les résultats obtenus avec une telle procédure qui présuppose que la CELIM est price taker à la fois sur le marché des emplois et sur celui des ressources.
La suppression des intervalles permet d’obtenir un taux de croissance de la marge d’intérêt extrêmement élevé et un niveau de risque beaucoup plus faible que lorsque nous avons des contraintes d’intervalle pour chaque opération. C’est pour cela que supprimer les limites supérieures pour les objectifs procure des objectifs très peu diversifiés, comme l’indiquent les annexes 4.34 à 4.37, mais très avantageux en termes de rendement-risque. Toutefois, cette possibilité n’est pas réalisable pour la CELIM qui doit conserver une gamme complète d’activités pour satisfaire la demande de la clientèle.
En effet, lorsque les simulations sont réalisées avec le scénario de la CELIM, b=0.01 et la matrice des variances-covariances qui génère le niveau de risque le plus faible, Ω98 2s, (annexe 4.34), la production nouvelle n’est constituée que de 4 opérations en plus des réserves obligatoires : les découverts entreprises, les découverts particuliers pour les emplois, le livret épargne logement et les CAT PEL pour les ressources.
Lorsque les simulations sont réalisées avec la matrice des variances-covariances qui génère le niveau de risque le plus élevé, Ω98, pour b=0.01 et quelque soit le scénario de taux considéré (annexe 4.36 et 4.37), la production nouvelle ne comprend plus que 3 opérations en plus des réserves obligatoires : les découverts entreprises et les découverts particuliers pour les emplois, et le livret épargne logement pour les ressources.
L’impasse risquée est largement excédentaire en ressources par rapport aux emplois. Nous conservons cette impasse, qui équilibre le bilan, mais nous faisons varier les objectifs sur les emplois et sur les ressources risqués. Tout d’abord, nous augmentons l’objectif sur les emplois de 10%, 20%, 30% et 40% et nous en déduisons le montant des ressources, compte tenu de l’impasse risquée. Ensuite, nous faisons varier les ressources de 2 à 10%, avec des pas de 1, et nous en déduisons le niveau des emplois risqués. Quelles que soient les simulations, nous considérons uniquement l’intervalle le plus large de 100% pour s’assurer que les objectifs que nous fixons soient réalisables.
| Variation de l’objectif sur les emplois risqués | Taux de croissance de la MI de la PN (1) | Taux de croissance du risque du bilan (2) | % des réserves obligatoires de la PN dans les emplois de la PN | Ratio de solvabilité | Ratio de liquidité | Ratio de fonds propres et de ressources permanentes |
| Objectifs CELIM | 0.81% | 11.45% | 261.37% | 38.96% | ||
| 10% | 21.33% | -34.44% | 0.67% | 11.33% | 263.56% | 39.00% |
| 20% | 23.75% | -17.38% | 0.60% | 11.29% | 263.56% | 39.00% |
| 30% | 26.18% | 5.36% | 0.54% | 11.26% | 263.56% | 39.00% |
| 40% | 26.01% | 35.08% | 0.89% | 11.21% | 258.28% | 39.00% |
(1) par rapport à la marge calculée avec le scénario de taux de la CELIM et les objectifs de la CELIM.
(2) par rapport au risque calculé avec les objectifs de la CELIM.
| Variation de l’objectif sur les emplois risqués | Taux de croissance de la MI de la PN (1) | Taux de croissance du risque du bilan (2) | % des réserves obligatoires de la PN dans les emplois de la PN | Ratio de solvabilité | Ratio de liquidité | Ratio de fonds propres et de ressources permanentes |
| Objectifs CELIM | 0.81% | 11.42% | 261.37% | 38.96% | ||
| 1% | 21.06% | -38.47% | 0.72% | 11.37% | 263.56% | 39.00% |
| 2% | 21.61% | -35.62% | 0.69% | 11.34% | 263.56% | 39.00% |
| 3% | 21.71% | -32.11% | 0.66% | 11.33% | 263.56% | 39.00% |
| 4% | 22.65% | -25.84% | 0.63% | 11.31% | 263.56% | 39.00% |
| 5% | 23.59% | -18.72% | 0.60% | 11.30% | 263.56% | 39.00% |
| 6% | 24.52% | -10.76% | 0.58% | 11.28% | 263.56% | 39.00% |
| 7% | 25.46% | -1.95% | 0.56% | 11.27% | 263.56% | 39.00% |
| 8% | 26.40% | 7.70% | 0.54% | 11.25% | 263.56% | 39.00% |
| 9% | 27.34% | 18.22% | 0.52% | 11.24% | 263.56% | 39.00% |
| 10% | 28.35% | 29.70% | 0.50% | 11.22% | 263.56% | 39.00% |
(1) par rapport à la marge calculée avec le scénario de taux de la CELIM et les objectifs de la CELIM.
(2) par rapport au risque calculé avec les objectifs de la CELIM.
De manière triviale, un accroissement des emplois comme des ressources accroît la marge d’intérêt mais également le risque : le taux de croissance de la marge d’intérêt est toujours supérieur à celui obtenu avec les objectifs initiaux de production nouvelle qui est de 19.85% (tableau 7 intervalle 100%).
Dans ces simulations, ce sont surtout le ratio de solvabilité et les réserves obligatoires qui sont affectés par les réallocations qui se produisent. Le ratio de liquidité ne diminue que pour une variation des emplois de 40%.
Les résultats des premières simulations que nous venons de présenter valident l’efficacité de notre méthode de gestion du risque de taux d’intérêt avec une périodicité annuelle. En effet, la répartition de la production nouvelle que notre méthode parvient à déterminer permet d’améliorer la marge d’intérêt de la CELIM. Néanmoins, ces simulations annuelles sont réalisées à partir de scénarios de taux annuels qui ont l’inconvénient de ne pas pouvoir prendre en compte une évolution de la structure par terme des taux au cours de l’année. Or, il est important qu’un établissement bancaire puisse réorienter ses objectifs en cours d’année en cas de changement de tendance de l’évolution des taux. C’est pour cette raison que nous affinons nos simulations en réalisant des simulations mensuelles.
Nous voulons optimiser la répartition de la production nouvelle mais pour chaque mois de l’année 1999 avec des scénarios de taux qui évoluent mensuellement. Pour chacun des trois scénarios que nous avons définis précédemment, nous réalisons donc douze optimisations mensuelles de la marge d’intérêt sous contraintes.
Toutefois, pour réaliser nos simulations mensuelles, un certain nombre de modifications sont à prendre en compte par rapport aux simulations annuelles.
Tout d’abord, le bilan évolue mensuellement au cours de l’année comme l’expriment les relations (4.29) et (4.30).
A la date t, le bilan (Bt) est composé du stock et de la production nouvelle non risqués ( Snr,t et Pnr,t ) et risqués ( Sr,t et Pr,t ). La production nouvelle risquée (Pr,t), quant à elle, est constituée de la production nouvelle à taux fixe (PTF,t), à taux réglementé non stratifiée (PTRnstrat,t) et à taux variable et révisable (PTV,t). Le bilan à la date t est exprimé par la relation suivante :
La production nouvelle risquée en t devient du stock en t+1. Mais, la production nouvelle à taux fixe de la date t devient du stock sans risque en t+1, elle n’apparaît donc plus dans le vecteur X des opérations risquées en t+1. En revanche, la production nouvelle à taux réglementé non stratifiée et à taux variable et révisable de la date t reste risquée en t+1. Le bilan en t+1 est alors composé du stock et de la production nouvelle de t après échéancement et de la production nouvelle de t+1. Les encours de t en t+1 ne sont pas les mêmes que ceux de t puisque entre t et t+1 les emplois se sont amortis et les ressources ont capitalisé. La structure du bilan en t+1 s’écrit alors :
La première parenthèse de l’équation (4.30) correspond au stock sans risque en t+1, Snr,t+1, et la deuxième au stock risqué en t+1, Sr,t+1.
Une partie de la production nouvelle de la date t à taux réglementé non stratifiée et à taux variable et révisable s’ajoute au stock des groupes de risque (tableau 1) alors que l’autre partie s’ajoute au stock risqué qui est représenté par la constante du vecteur X. Cette constante évolue donc chaque mois en fonction de la répartition de la production nouvelle risquée des mois précédents, déterminée par notre modèle de gestion du risque de taux d’intérêt. Il en est de même pour le stock des groupes, que nous retrouvons dans la construction des intervalles, et pour les constantes qui apparaissent dans les contraintes réglementaires.
De plus, la production nouvelle de janvier, par exemple, évolue tout au long de l’année : les emplois s’amortissent et les ressources capitalisent selon les règles d’échéancement présentées dans les annexes amovibles 3.3 et 3.4 du chapitre précédent. Certaines opérations dont la maturité est très courte comme par exemple les bons de caisse qui ont une durée de trois mois meurent avant la fin de l’année considérée.
Les résultats mensuels ne peuvent pas être comparés aux résultats annuels compte tenu de l’évolution mensuelle des encours.
Comme nous l’avons vu, les simulations annuelles sont réalisées à partir :
Dans ces conditions, nos variables mensuelles (risque, marge d’intérêt et ratios réglementaires), à l’exception des réserves obligatoires qui ne sont calculées que pour la production nouvelle, ne peuvent être comparées à leurs homologues annuelles. Pour pouvoir établir des comparaisons, il faudrait calculer ces variables uniquement pour la production nouvelle mensuelle. Ce calcul n’est réalisé ici que pour la marge d’intérêt mais pas pour les autres variables étudiées.
Les résultats sont présentés dans des tableaux dont la structure générale est la suivante :
| Mois | Risque | % des réserves obligatoires de la PN dans les emplois de la PN | Ratio de solvabilité | Ratio de liquidité | Ratio de fonds propres et de ressources permanentes |
| Janvier | |||||
![]() |
|||||
| Décembre |
Le taux de croissance mensuel de la marge d’intérêt de la production nouvelle n’apparaît pas dans le tableau, nous le calculons directement en annuel de manière à le comparer à celui obtenu avec nos simulations annuelles.
En revanche, l’évolution mensuelle du risque et des ratios réglementaires est présentée dans les tableaux de résultats puisque nous ne calculons pas leurs valeurs annuelles. Contrairement aux simulations annuelles, le risque est exprimé en valeur et non en taux de croissance par rapport au risque obtenu avec les objectifs de la CELIM, le risque mensuel correspondant aux objectifs de la CELIM n’étant pas connu.
Les contraintes d’intervalles sont redéfinies : les intervalles sont construits autour des objectifs annuels de la CELIM divisés par douze, que nous faisons varier de plus ou moins 100%. Des intervalles plus étroits ne permettent pas d’obtenir une solution optimale notamment en fin d’année. En effet, l’impasse du stock risqué et le stock des groupes ne cessent de croître, en valeur absolue, au cours de l’année alors que la production nouvelle est toujours la même. Le poids du stock risqué est donc plus en plus important par rapport au poids de la production nouvelle risquée dans le bilan risqué. Dans ce cas de figure, la réallocation des opérations doit être suffisamment importante pour pouvoir obtenir une solution optimale et donc les intervalles doivent être suffisamment larges.
Les valeurs des éléments de la fonction objectif, utilisées pour nos simulations mensuelles, sont les suivantes :
Nous présentons les résultats de nos simulations mensuelles pour les trois scénarios de taux que nous avons définis précédemment en considérant à chaque fois la matrice des variances-covariances annuelle puis les matrices variances-covariances mensuelles.
Les résultats des simulations sont présentés dans les tableaux 52 et 53.
Le taux de croissance de la marge d’intérêt de la production nouvelle par rapport à la marge calculée avec les objectifs de la CELIM pour le scénario 1 que nous calculons est de 18.65% contre 15.60% pour l’optimisation annuelle (intervalle 100% du tableau 22) : l’optimisation mensuelle de la marge d’intérêt avec des scénarios de taux mensuels procure une marge d’intérêt plus élevée que celle obtenue avec l’optimisation annuelle et des scénarios de taux annuels.
Le fait d’avoir de la production nouvelle chaque mois tout au long de l’année (tableau 52) explique l’évolution mensuelle à la hausse du risque et des réserves obligatoires et à la baisse des ratios de solvabilité, de liquidité et du coefficient de fonds propres et de ressources permanentes. En effet, l’expression de ces trois derniers ratios, le fait que la production nouvelle soit très excédentaire en ressources et que les emplois de durée restant à courir supérieure à 5 ans soient excédentaires aux ressources de même maturité, engendrent une plus forte augmentation du dénominateur que de numérateur de ces ratios. Plus précisément, le numérateur du ratio de solvabilité, constitué de fonds propres, est constant. Les exigibilités du dénominateur du ratio de liquidité augmentent plus que les liquidités du numérateur. Les emplois de durée restant à courir supérieure à 5 ans du dénominateur du coefficient de fonds propres et de ressources permanentes augmentent également plus les ressources de même maturité du numérateur.
Nous remarquons que le risque, exprimé en valeur, est quasiment multiplié par 7 entre le mois de janvier et le mois de décembre. Cette augmentation provient notamment de l’accroissement de l’impasse du stock risqué qui est quasiment multipliée par 4 entre ces deux dates. L’impasse du stock risqué augmente chaque mois compte tenu de l’échéancement de ses opérations et de la production nouvelle à taux variable et révisable et à taux réglementé du mois précédent qui s’y rajoute.
Dans l’annexe 4.40, la comparaison de la somme des pourcentages mensuels au cours d’une année pour chaque opération (ligne total annuel) à leur pourcentage annuel de la CELIM (ligne objectifs annuels) permet de mettre en évidence les réallocations qui se produisent avec les simulations mensuelles par rapport aux simulations annuelles. Les réallocations sont décrites dans le tableau 53.
| Mois | Risque | % des réserves obligatoires de la PN dans les emplois de la PN | Ratio de solvabilité | Ratio de liquidité | Ratio de fonds propres et de ressources permanentes |
| Janvier | 49 035.23 | 0.04% | 12.25% | 278.19% | 41.72% |
| Février | 55 417.81 | 0.04% | 12.15% | 273.43% | 41.36% |
| Mars | 64 209.91 | 0.04% | 12.05% | 272.92% | 41.04% |
| Avril | 61 300.07 | 0.04% | 11.98% | 272.42% | 40.93% |
| Mai | 65 971.29 | 0.04% | 11.91% | 271.92% | 40.86% |
| Juin | 92 486.92 | 0.04% | 11.86% | 271.41% | 40.85% |
| Juillet | 112 266.76 | 0.05% | 11.35% | 261.07% | 40.80% |
| Août | 152 749.18 | 0.05% | 11.25% | 260.56% | 40.77% |
| Septembre | 211 476.92 | 0.09% | 11.15% | 259.74% | 40.73% |
| Octobre | 203 523.06 | 0.10% | 11.05% | 258.80% | 40.69% |
| Novembre | 213 999.51 | 0.10% | 10.95% | 257.87% | 40.69% |
| Décembre | 335 033.59 | 0.10% | 10.87% | 256.81% | 40.86% |
| Opérations à privilégier | Opérations à réduire |
| Emplois - Prêts habitat TF (X13) - Prêts bonifiés (X21) - Prêts interbancaires (X26) Ressources - Emprunt au jour le jour (X36) |
Emplois - Prêts aux conditions de marché TF (X20) - Prêts aux collectivités locales TF (X23) - Prêts aux collectivités locales TV (X24) - Prêts aux collectivités locales lignes de crédit (X25) Ressources - Bons d’épargne (X2) - PEP permanence (X3) - 15% LEP (X5) - CODEVI et livret B (X7) - Livret Jeunes (X8) - PEP 2ème génération (X30) - Emprunt écureuil TF (X34) |
*Les opérations qui ne subissent pas de réallocations par rapport aux simulations annuelles ne sont pas indiquées dans ce tableau.
Le tableau 53 montre effectivement que la hausse progressive des taux de marché au cours de l’année a un impact sur la répartition de la production nouvelle.
Nous considérons maintenant une matrice des variances-covariances qui évolue chaque mois avec l’évolution mensuelle des taux d’intérêt.
Les réallocations qui se produisent en considérant l’évolution mensuelle de la matrice des variances-covariances sont mises en évidence en comparant l’annexe 4.41 à l’annexe 4.40 et sont résumées dans le tableau 55.
| Mois | Risque | % des réserves obligatoires de la PN dans les emplois de la PN | Ratio de solvabilité | Ratio de liquidité | Ratio de fonds propres et de ressources permanentes |
| Janvier | 105 060.81 | 0.05% | 12.25% | 277.96% | 41.72% |
| Février | 357 550.44 | 0.05% | 12.14% | 273.20% | 41.41% |
| Mars | 890 526.15 | 0.05% | 12.09% | 272.68% | 41.38% |
| Avril | 620 903.23 | 0.05% | 12.02% | 272.18% | 41.36% |
| Mai | 646 615.69 | 0.05% | 11.97% | 271.68% | 41.34% |
| Juin | 1 590 766.77 | 0.10% | 11.91% | 270.57% | 41.29% |
| Juillet | 3 185 663.27 | 0.10% | 11.38% | 258.02% | 41.28% |
| Août | 5 697 936.91 | 0.10% | 11.28% | 258.90% | 41.20% |
| Septembre | 10 096 613.43 | 0.10% | 11.17% | 257.97% | 41.16% |
| Octobre | 9 940 292.05 | 0.10% | 11.07% | 257.04% | 41.12% |
| Novembre | 10 735 371.97 | 0.10% | 10.98% | 256.13% | 41.08% |
| Décembre | 17 613 315.52 | 0.10% | 10.89% | 255.08% | 41.03% |
| Opérations à privilégier | Opérations à réduire |
| Emplois - Prêts habitat TV (X14) - Prêts LEL (X15) - Prêts aux collectivités locales TV (X24) - Prêts aux collectivités locales lignes de crédit (X25) - Prêts interbancaires (X26) Ressources - PEP permanence (X3) - 15% LEP (X5) - CODEVI et livret B (X7) - Livret Jeunes (X8) - PEP 2ème génération (X30) - Emprunt écureuil TF (X34) |
Emplois - Découverts particuliers (X10) - Prêts habitat TF (X13) - Prêts PEL (X16) - Prêts conventionnés (X17) - Prêts aux conditions de marché TF (X20) - Prêts bonifiés (X21) - Prêts aux collectivités locales TF (X23) Ressources - Bons de caisse (X28) - Plans épargne logement (X33) - Emprunt au jour le jour (X36) |
*Les opérations qui ne subissent pas de réallocations par rapport aux simulations annuelles ne sont pas indiquées dans ce tableau.
En faisant varier la matrice des variances-covariances mensuellement, nous obtenons un taux de croissance de la marge d’intérêt de la production nouvelle annualisée de 11.41% alors qu’il était de 18.65% avec la matrice annuelle, calculée pour le second semestre 1998.
Le risque mensuel augmente considérablement au cours de l’année, comme l’indique le tableau 54. Ce phénomène a deux origines. D’une part, comme nous l’avons déjà précisé pour les simulations mensuelles avec la matrice annuelle, l’impasse du stock risqué augmente considérablement au cours de l’année 1999. D’autre part, l’allongement de l’historique des taux accroît les corrélations entre les taux des opérations qui sont indexées sur des taux de marché qui dans nos scénarios suivent des tendances similaires.
Le tableau 54 montre que l’augmentation du risque au sein du stock conduit à privilégier les opérations les moins risquées de la production nouvelle, notamment les ressources réglementées, et les moins coûteuses comme l’emprunt au jour le jour à TF, aux dépens des opérations les plus rentables.
La comparaison des pourcentages annualisés aux pourcentages annuels dans l’annexe 4.42 permet de mettre en évidence les réallocations qui se produisent dans les simulations mensuelles par rapport aux simulation annuelles (tableau 57).
A nouveau, l’optimisation mensuelle permet d’améliorer la marge d’intérêt de la production nouvelle sur l’année par rapport à l’optimisation annuelle : le taux de croissance de la marge d’intérêt de la production nouvelle par rapport à la marge d’intérêt calculée avec les objectifs de la CELIM est de 17.18% en mensuel contre 14.60% en annuel (intervalle 100% du tableau 28).
| Mois | Risque | % des réserves obligatoires de la PN dans les emplois de la PN | Ratio de solvabilité | Ratio de liquidité | Ratio de fonds propres et de ressources permanentes |
| Janvier | 49 035.23 | 0.05% | 12.25% | 278.19% | 41.72% |
| Février | 55 417.81 | 0.05% | 12.15% | 273.42% | 41.36% |
| Mars | 64 209.91 | 0.05% | 12.05% | 272.92% | 41.04% |
| Avril | 61 300.07 | 0.05% | 11.99% | 272.42% | 40.95% |
| Mai | 66 057.95 | 0.05% | 11.92% | 271.92% | 40.77% |
| Juin | 91 059.03 | 0.05% | 11.83% | 271.35% | 40.51% |
| Juillet | 108 533.07 | 0.05% | 11.33% | 261.01% | 40.45% |
| Août | 133 889.88 | 0.10% | 11.23% | 260.06% | 40.43% |
| Septembre | 180 237.32 | 0.10% | 11.14% | 259.12% | 40.43% |
| Octobre | 163 780.82 | 0.10% | 11.04% | 258.18% | 40.40% |
| Novembre | 162 043.39 | 0.10% | 10.94% | 257.26% | 40.39% |
| Décembre | 262 990.38 | 0.10% | 10.86% | 256.21% | 40.59% |
| Opérations à privilégier | Opérations à réduire |
| Emplois - Prêts habitat TF (X13) - Prêts habitat TV (X14) - Prêts LEL (X15) - Prêts bancaires aux entreprises (X19) - Prêts bonifiés (X21) - Prêts interbancaires (X26) Ressources - Emprunt au jour le jour (X36) |
Emplois - Prêts aux conditions de marché TF (X20) - Prêts aux collectivités locales TF (X23) - Prêts aux collectivités locales TV (X24) - Prêts aux collectivités locales lignes de crédit (X25) Ressources - Bons d’épargne (X2) - PEP permanence (X3) - 15% LEP (X5) - CODEVI et livret B (X7) - Livret Jeunes (X8) - PEP 2ème génération (X30) - Emprunt écureuil TF (X34) |
*Les opérations qui ne subissent pas de réallocations par rapport aux simulations annuelles ne sont pas indiquées dans ce tableau.
L’évolution de la structure des taux de marché du scénario 2 par rapport à celle du scénario 1 (tableau 52) se reflète sur le niveau de risque comme sur les ratios réglementaires (tableau 56) notamment à partir de mars, avril, mai ou juin selon les variables.
Nous remarquons que l’inversion de la courbe des taux du scénario 2 (graphique 4 page 152) conduit à privilégier les prêts habitat TV, les prêts LEL et les prêts bancaires aux entreprises par rapport aux objectifs mensuels réalisées pour le scénario 1.
En faisant varier la matrice des variances-covariances mensuellement, le taux de croissance de la marge d’intérêt de la production nouvelle annualisée est de 13.30% contre 17.18% avec la matrice des variances-covariances annuelle.
| Mois | Risque | % des réserves obligatoires de la PN dans les emplois de la PN | Ratio de solvabilité | Ratio de liquidité | Ratio de fonds propres et de ressources permanentes |
| Janvier | 105 061.37 | 0.05% | 12.25% | 277.96% | 41.72% |
| Février | 326 740.82 | 0.05% | 12.14% | 273.20% | 41.41% |
| Mars | 798 367.73 | 0.05% | 12.09% | 272.68% | 41.38% |
| Avril | 534 160.65 | 0.05% | 12.03% | 272.18% | 41.35% |
| Mai | 490 552.71 | 0.05% | 11.98% | 271.68% | 41.32% |
| Juin | 997 218.24 | 0.10% | 11.93% | 270.65% | 41.29% |
| Juillet | 1 925 127.23 | 0.10% | 11.40% | 259.85% | 41.25% |
| Août | 3 685 010.68 | 0.10% | 11.29% | 258.90% | 41.22% |
| Septembre | 7 124 573.12 | 0.10% | 11.19% | 257.97% | 41.18% |
| Octobre | 7 204 978.61 | 0.10% | 11.09% | 257.04% | 41.15% |
| Novembre | 8 037 342.49 | 0.10% | 10.99% | 256.13% | 41.11% |
| Décembre | 14 182 172.60 | 0.10% | 10.90% | 255.08% | 41.08% |
| Opérations à privilégier | Opérations à réduire |
| Emplois - Prêts habitat TV (X14) - Prêts LEL (X15) - Prêts aux collectivités locales TV (X24) - Prêts aux collectivités locales lignes de crédit (X25) - Prêts interbancaires (X26) Ressources - Bons d’épargne (X2) - PEP permanence (X3) - 15% LEP (X5) - CODEVI et livret B (X7) - PEP 2ème génération (X30) |
Emplois - Découverts particuliers (X10) - Prêts habitat TF (X13) - Prêts conventionnés (X17) - Prêts bancaires aux entreprises (X19) - Prêts aux conditions de marché TF (X20) - Prêts bonifiés (X21) - Prêts aux collectivités locales TF (X23) Ressources - Bons de caisse (X28) - Plans épargne logement (X33)- Emprunt au jour le jour (X36) |
*Les opérations qui ne subissent pas de réallocations par rapport aux simulations annuelles ne sont pas indiquées dans ce tableau.
De même que pour le scénario 1, l’accroissement du risque au sein du stock, généré par les matrices variances-covariances mensuelles implique une diminution de la marge d’intérêt. Les corrélations plus fortes entre les taux des opérations limitent la diversification et donc emputent la marge d’intérêt. Les ressources privilégiées sont les ressources réglementées, qui sont les moins risquées (tableau 59).
Le taux de croissance de la marge d’intérêt de la production nouvelle est à nouveau plus élevé avec l’optimisation mensuelle qu’avec l’optimisation annuelle, il est de 26.13% contre 17.67% (intervalle 100% du tableau 36).
Le tableau 61 nous indique les réallocations qui se produisent par rapport à l’optimisation annuelle.
La hausse des taux réglementés et donc la baisse des taux de marché par rapport au scénario 1 engendrent une réduction des prêts LEL, des prêts habitat TV, des prêts bancaires aux entreprises et des CAT PEP et un accroissement des prêts à la consommation et des prêts aux collectivités ligne de crédit.
De même, les réallocations qui se produisent par rapport au scénario 2 consistent à réduire les prêts LEL, les prêts bancaires aux entreprises et les CAT PEP et à privilégier les 15% du LEP, le Livret Jeunes, les prêts à la consommation, les prêts aux collectivités ligne de crédit et l’emprunt écureuil TF.
| Mois | Risque | % des réserves obligatoires de la PN dans les emplois de la PN | Ratio de solvabilité | Ratio de liquidité | Ratio de fonds propres et de ressources permanentes |
| Janvier | 54 849.56 | 0.02% | 12.24% | 278.20% | 41.77% |
| Février | 55 027.52 | 0.02% | 12.17% | 273.66% | 41.71% |
| Mars | 66 269.74 | 0.02% | 12.10% | 273.38% | 41.66% |
| Avril | 63 161.28 | 0.02% | 12.03% | 273.10% | 41.61% |
| Mai | 68 155.88 | 0.02% | 11.97% | 272.82% | 41.56% |
| Juin | 94 116.62 | 0.02% | 11.91% | 272.55% | 41.50% |
| Juillet | 116 054.20 | 0.02% | 11.38% | 262.37% | 41.44% |
| Août | 158 723.37 | 0.02% | 11.28% | 262.12% | 41.39% |
| Septembre | 221 067.76 | 0.02% | 11.28% | 262.09% | 41.40% |
| Octobre | 213 454.86 | 0.02% | 11.07% | 261.61% | 41.28% |
| Novembre | 252 116.35 | 0.02% | 10.99% | 261.35% | 41.47% |
| Décembre | 353 794.06 | 0.02% | 10.89% | 260.96% | 41.47% |
| Opérations à privilégier | Opérations à réduire |
| Emplois - Prêts à la consommation (X11) - Prêts habitat TF (X13) - Prêts bonifiés (X21) - Prêts aux collectivités locales lignes de crédit (X25) - Prêts interbancaires (X26) Ressources - Emprunt au jour le jour (X36) |
Emplois - Prêts LEL (X15) - Prêts bancaires aux entreprises (X19) - Prêts aux conditions de marché TF (X20) - Prêts aux collectivités locales TF (X23) - Prêts aux collectivités locales TV (X24) Ressources - Bons d’épargne (X2) - PEP permanence (X3) - CODEVI et livret B (X7) - PEP 2ème génération (X30) - CAT PEP (X31) |
*Les opérations qui ne subissent pas de réallocations par rapport aux simulations annuelles ne sont pas indiquées dans ce tableau.
En considérant les matrices variances-covariances mensuelles, nous obtenons un taux de croissance de la marge d’intérêt de la production nouvelle de 7.91% contre 26.13% avec la matrice des variances-covariances annuelle.
| Mois | Risque | % des réserves obligatoires de la PN dans les emplois de la PN | Ratio de solvabilité | Ratio de liquidité | Ratio de fonds propres et de ressources permanentes |
| Janvier | 1 592 481.70 | 0.01% | 12.28% | 278.34% | 42.03% |
| Février | 3 363 474.01 | 0.01% | 12.21% | 273.79% | 41.98% |
| Mars | 5 478 170.26 | 0.01% | 12.14% | 273.62% | 41.93% |
| Avril | 5 424 804.92 | 0.01% | 12.07% | 273.45% | 41.88% |
| Mai | 5 416 548.91 | 0.01% | 12.00% | 273.27% | 41.84% |
| Juin | 7 451 057.84 | 0.01% | 11.93% | 273.14% | 41.79% |
| Juillet | 8 960 218.89 | 0.01% | 11.41% | 263.01% | 41.73% |
| Août | 16 102 505.20 | 0.01% | 11.30% | 262.86% | 41.66% |
| Septembre | 24 901 042.38 | 0.01% | 11.19% | 262.70% | 41.60% |
| Octobre | 26 480 521.58 | 0.01% | 11.09% | 262.54% | 41.54% |
| Novembre | 28 478 935.98 | 0.01% | 11.00% | 262.39% | 41.49% |
| Décembre | 37 299 683.07 | 0.01% | 10.90% | 262.10% | 41.43% |
| Opérations à privilégier | Opérations à réduire |
| Emplois - Prêts habitat TV (X14) - Prêts LEL (X15) - Prêts bancaires aux entreprises (X19) - Prêts aux conditions de marché TF (X20) - Prêts bonifiés (X21) - Prêts aux collectivités locales TV (X24) - Prêts aux collectivités locales lignes de crédit (X25) - Prêts interbancaires (X26) Ressources - Emprunt au jour le jour (X36) |
Emplois - Découverts particuliers (X10) - Prêts habitat TF (X13) - Prêts conventionnés (X17) - Prêts aux collectivités locales TF (X23) Ressources - PEP permanence (X3) - Livret Epargne Logement (X6) - Bons de caisse (X28) - PEP 2ème génération (X30) - CAT PEL (X32) - Emprunt écureuil à TV (X35) |
*Les opérations qui ne subissent pas de réallocations par rapport aux simulations annuelles ne sont pas indiquées dans ce tableau.
Le niveau de risque est nettement plus élevé pour le scénario 3 que pour les deux scénarios de taux précédents. Etant donné que dans le scénario 3 seuls les taux réglementés varient et de manière simultanée, les corrélations entre ces taux sont nécessairement très élevées et certainement plus élevées que les corrélations entre les taux de marché issues des scénarios 1 et 2. Cet accroissement considérable du risque, dû à des coefficients de corrélation élevés, est à l’origine de la forte baisse du taux de croissance de la marge d’intérêt de la production nouvelle observée.
Dans ce chapitre, nous avons adapté notre modèle théorique de choix de portefeuille du chapitre 2 au bilan de la CELIM pour gérer son risque de taux d’intérêt. Nous avons ensuite mis en application cette méthode de gestion du risque de taux d’intérêt en réalisant des simulations à partir d’un bilan annuel puis mensuel.
Les principaux enseignements des simulations annuelles sont les suivants.
Tout d’abord, notre objectif est atteint puisque notre méthode de gestion du risque de taux d’intérêt permet bien d’augmenter la marge d’intérêt de la CELIM en réallouant ses objectifs et cela quel que soit le scénario de taux, comme le synthétise le tableau suivant :
| Scénario de taux 1 | |||||||||
| Simulations annuelles | Simulations mensuelles | ||||||||
| Matrice des variances-covariances | Ω98 2s | Ω98 2s | Ω98 tm | ||||||
| Intervalles* | 5% | 10% | 20% | 40% | 60% | 80% | 100% | 100% | |
| Taux de croissance en % | 0.67 | 1.39 | 2.90 | 5.97 | 9.03 | 12.12 | 15.60 | 18.65 | 11.41 |
| Scénario de taux 2 | |||||||||
| Simulations annuelles | Simulations mensuelles | ||||||||
| Matrice des variances-covariances | Ω98 2s | Ω98 2s | Ω98 tm | ||||||
| Intervalles* | 5% | 10% | 20% | 40% | 60% | 80% | 100% | 100% | |
| Taux de croissance en % | 0.66 | 1.39 | 2.84 | 5.78 | 8.71 | 11.65 | 14.60 | 17.18 | 13.30 |
| Scénario de taux 3 | |||||||||
| Matrice des variances-covariances | Ω98 2s | Ω98 2s | Ω98 tm | ||||||
| Intervalles* | 5% | 10% | 20% | 40% | 60% | 80% | 100% | 100% | |
| Taux de croissance en % | 0.84 | 1.61 | 3.05 | 5.92 | 9.34 | 12.78 | 17.67 | 26.13 | 7.92 |
* Les intervalles sont plus ou moins larges et représentent les contraintes commerciales, plus ou moins strictes, que doit respecter la CELIM.
La prise en compte de matrices variances-covariances caractérisées par des niveaux de risque et des coefficients de corrélation entre les taux des opérations risquées plus ou moins élevés, ainsi que d’une plus ou moins forte aversion au risque s’est révélée particulièrement instructive.
D’une part, un niveau de risque et des coefficients de corrélation entre les taux élevés, limitent les avantages de la diversification. La réallocation des opérations qui permet de diminuer le risque se fait au profit des opérations les moins risquées qui sont généralement les moins rentables. Une diminution du risque engendre alors une baisse de la marge d’intérêt, quel que soit le degré d’aversion au risque et quels que soient les intervalles retenus.
D’autre part, un degré d’aversion au risque supérieur à l’unité limite également les possibilités de réallocation entre les objectifs. La baisse du risque supporté par la CELIM qui résulte d’une plus forte aversion au risque conduit également à ne privilégier que les opérations les moins risquées qui sont les moins rentables. En revanche, un coefficient d’aversion au risque inférieur à 0.03 permet de conserver une certaine sensibilité à l’évolution des taux et d’augmenter la marge d’intérêt. Un degré d’aversion au risque compris entre 0.03 et 1 n’empêche pas la réallocation des objectifs mais diminue l’intérêt de notre méthode.
Ainsi, compte tenu du nombre de contraintes prises en compte dans notre programme d’optimisation, notre méthode de gestion du risque de taux d’intérêt revêt tout son intérêt si les emplois et les ressources ne sont pas trop risqués et si le degré d’aversion au risque n’est pas trop élevé.
La prise en compte de la réglementation a un effet positif sur la marge d’intérêt mais accroît le niveau de risque de taux d’intérêt du bilan. C’est le coefficient de fonds propres et de ressources permanentes qui est à l’origine de ce phénomène. Ce résultat suggère que les normes réglementaires qui visent à réduire le risque de défaut et/ou de liquidité peuvent accroître le risque du bilan, mesuré par les variances et les covariances des taux des opérations risquées.
Enfin, la suppression des contraintes commerciales permet de réallouer les objectifs en ne considérant que les opérations les plus avantageuses en termes de rendement-risque. Cela conduit à diminuer considérablement le nombre d’opérations au sein des objectifs et donc d’obtenir des objectifs très peu diversifiés.
Les simulations mensuelles quant à elles permettent d’améliorer le taux de croissance de la marge d’intérêt de la production nouvelle par rapport aux simulations annuelles. Ces résultats confirment bien l’intérêt d’affiner la périodicité des objectifs et donc la prévision de l’évolution des taux d’intérêt : considérer une périodicité annuelle pour gérer le risque de taux d’intérêt n’est donc pas suffisant.
Toutefois ces résultats font apparaître l’importance du choix de la matrice des variances-covariances et surtout du rôle des corrélations entre les taux des opérations.
La méthode que nous proposons pour gérer le risque de taux d’intérêt de la Caisse d’Epargne du Limousin est donc validée par les résultats de nos simulations. Toutefois, la structure du bilan de la Caisse d’Epargne du Limousin en 1999 que nous avons utilisée pour réaliser nos simulations est un cas d’étude qui ne doit pas être considéré comme un cas général de son exposition au risque de taux d’intérêt. Tout travail ultérieur portant sur l’exposition au risque de taux d’intérêt de la Caisse d’Epargne du Limousin impliquerait des adaptations. Par exemple, la suppression d’opérations risquées dans le bilan ainsi que la création de nouvelles opérations nécessiteraient de modifier la dimension de l’expression matricielle de notre programme, c'est-à-dire la dimension du vecteur des opérations risquées, du vecteur des taux d’intérêt, de la matrice des variances-covariances et des différentes contraintes.
| Résidents | Non Résidents | ||||||||||||||
| Opérations | Code Poste | Euros | Devises |
|
|||||||||||
| Opérations avec la clientèle non financière | |||||||||||||||
| Comptes ordinaires créditeurs | 120 | ||||||||||||||
| Comptes créditeurs à terme <= 2 ans | 121 | ||||||||||||||
| Comptes créditeurs à terme > 2 ans | 122 | " | " | ||||||||||||
| Comptes d’épargne à régime spécial | |||||||||||||||
| Livrets ordinaires | 126 | " | " | ||||||||||||
| Livrets A | 127 | " | " | ||||||||||||
| Livrets bleus | 128 | ||||||||||||||
| Livrets jeunes | 129 | " | " | ||||||||||||
| Livrets d'épargne populaire | 130 | " | " | ||||||||||||
| CODEVI | 131 | " | " | ||||||||||||
| Comptes d'épargne logement | 132 | " | " | ||||||||||||
| Comptes d’affacturage disponibles | 135 | ||||||||||||||
| Bons de caisse, bons d'épargne <= 2 ans | 136 | ||||||||||||||
| Bons de caisse, bons d'épargne > 2 ans | 137 | ||||||||||||||
| Dépôts de garantie d’une durée initiale =< 2 ans | 138 | ||||||||||||||
| Dépôts de garantie d’une durée initiale > 2 ans | 139 | ||||||||||||||
| Autres sommes dues | 145 | ||||||||||||||
| Opérations sur titres | |||||||||||||||
| Certificats de dépôts ou BISF d’une durée initiale =< 2 ans | 156 | ||||||||||||||
| Autres dettes représentées par un titre d’une durée initiale > 2 ans | 160 | ||||||||||||||
| Titres donnés en pension livrée | 161 | ||||||||||||||
| Calcul des réserves avant abattement | Code Poste | Assiette 1 | Taux | Réserves 2 |
|||||||||||
| Exigibilités à vue et assimilés | 201 | 2% | |||||||||||||
| Exigibilités =< 2 ans | 202 | 2% | |||||||||||||
| Exigibilités > 2 ans | 203 | 0% | |||||||||||||
| Pensions | 204 | 0% | |||||||||||||
| Total des réserves avant abattement | 210 | ||||||||||||||
| Total des réserves à constituer | Code Poste | 1 | Montants 2 |
||||||||||||
| Total des réserves avant abattement : | |||||||||||||||
| Activité métropole | 215 | ||||||||||||||
| Abattement sur réserves | 220 | 655 957.00 | |||||||||||||
| Total des réserves à constituer | 225 | ||||||||||||||
* Etats Membres de l’Union Monétaire
| Codes | Montants | ||||
| I. Fonds propres de base | |||||
| Capital | 101 | ||||
| Réserves consolidées | 102 | ||||
| Report à nouveau | 103 | ||||
| Bénéfices intermédiaires | 104 | ||||
| Différence de première consolidation | 105 | ||||
| Différence sur mise en équivalence | 106 | ||||
| Ecart de conversion | 107 | ||||
| Intérêts minoritaires | 108 | ||||
| Fonds pour risques bancaires généraux | 109 | ||||
| Sous - total | 110 | A | |||
| A déduire | |||||
| Actionnaires | 111 | ||||
| Actions propres | 112 | ||||
| Report à nouveau | 113 | ||||
| Résultat déficitaire intermédiaire | 114 | ||||
| Frais d'établissement | 115 | ||||
| Immobilisations incorporelles | 116 | ||||
| Différences de première consolidation (débit) | 117 | ||||
| Ecart de conversion (débit) | 118 | ||||
| Intérêts minoritaires | 119 | ||||
| Sous - total | 120 | B | |||
| FONDS PROPRES DE BASE (A-B) | 121 | C | |||
| II. Fonds propres complémentaires | |||||
| Réserves et écarts de réévaluation | 123 | ||||
| - fonds de garantie intégralement mutualisés | 124 | ||||
| - autres fonds de garantie | 125 | ||||
| - subventions | 126 | ||||
| - réserves latentes des opérations de crédit bail | 127 | ||||
| - autres | 128 | ||||
| Titres et emprunts subordonnés | 129 | ||||
| Sous - total | 130 | E | |||
| Titres et emprunts subordonnés | 131 | F | |||
| Part admise dans les fonds propres complémentaires | |||||
| si F<= C/2 prendre G=F | 132 | G | |||
| si F > C/2 prendre G=C/2 | 133 | G | |||
| Total avant limitation globale (H=E+G) | 134 | H | |||
| Fonds propres complémentaires: | |||||
| Part des fonds propres complémentaires | |||||
| admise dans les fonds propres | |||||
| si H <= C prendre J = H | 135 | J | |||
| si H > C prendre J = C | 136 | J | |||
| III. Déduction des participation dans des établissement de crédit ou financiers | |||||
| Participation > 10 % dans EDC ou Fin. | 137 | K | |||
| Autres participations sur EDC | 139 | L | |||
| Franchise M=(C+J)*10% | 140 | M | |||
| Limitation déduction | 141 | N | |||
| Total déduction K + N | 142 | P | |||
| IV. Déduction des garanties fonds comm. créances | |||||
| Garanties coordonnées | 144 | Q | |||
| FONDS PROPRES | 143 | R | FONDS PROPRES | ||
| (C+J-P-Q) | 0.00 | ||||
| ACTIFS | ||||||
| Codes postes | Montants | Observations | Contre- garanties reçues | Pondération | Montants pondérés | |
| 201 | Caisse et éléments assimilés | 0% | ||||
| 202 | Créances sur les administrations centra. De la zone A | 0% | ||||
| 203 | Créances sur les administrations ou les banques centrales de la zone B libellées financées dans la monnaie de l’emprunteur | 0% | ||||
| 204 | Créances sur les institutions des CE | 0% | ||||
| 205 | Créances. sur les banques multilatérales de développement | 20% | ||||
| 206 | 20% | |||||
| 207 | 20% | |||||
| 208 | 20% | |||||
| 209 | Créances sur les administrations. régionales /locales zone A | Prêts collectivités territoriales | 20% | |||
| 210 | 20% | |||||
| 211 | 20% | |||||
| 212 | 20% | |||||
| 213 | Créances sur les établissements de crédit de la zone B (<=1 an) ou zone A | 20% | ||||
| 214 | 20% | |||||
| 215 | 20% | |||||
| 216 | 20% | |||||
| 217 | Valeurs en cours de recouvrement | 20% | ||||
| 218 | Risques résiduels résultant de contregaranties. | 20% | ||||
| 219 | Crédits à la clientèle. garantis. par hypothèque/ un logement | 50% | ||||
| 220 | Crédit-bail immobilier | 50% | ||||
| 221 | 50% | |||||
| 222 | 50% | |||||
| 223 | 50% | |||||
| 224 | 50% | |||||
| 225 | Comptes de régularisation (non ventilés) | 50% | ||||
| 226 | Créances sur les administrations régionales/locales zone B | 50% | ||||
| 227 | 50% | |||||
| 228 | 50% | |||||
| 229 | 50% | |||||
| 230 | 50% | |||||
| 231 | Créances sur les administrations régionales/locales zone B | 100% | ||||
| 232 | 100% | |||||
| 233 | 100% | |||||
| 234 | 100% | |||||
| 235 | 100% | |||||
| 236 | Autres créances sur les établissement de crédit zone B | 100% | ||||
| 237 | 100% | |||||
| 238 | 100% | |||||
| 239 | 100% | |||||
| 240 | 100% | |||||
| 241 | Créances sur la clientèle, crédit-bail mobilier et location avec option d’achat | 100% | ||||
| 242 | 100% | |||||
| 243 | 100% | |||||
| 244 | 100% | |||||
| 245 | 100% | |||||
| 246 | Immobilisations | Immobilisations | 100% | |||
| 247 | Part. non déduites des fonds propres | 100% | ||||
| 248 | Autres actifs | 100% | ||||
| TOTAL | ||||||
| Contreparties | Zones/Instruments | Pondérations | ||||||
| Administrations et Banques Centrales |
|
|||||||
| CEE, CECA, EURATOM | 0% | |||||||
| Administrations régionales et locales |
|
|||||||
| Banques multilatérales de développement | 20% | |||||||
| Etablissements de crédit |
|
|||||||
| Etablissements de crédit affiliés à un même organe central | 0% | |||||||
| Clientèle |
|
|||||||
| LIQUIDITES ET EXIGIBILITES HORS SOLDE DE TRESORERIE | ENCOURS | % | RESULTAT | ||
| Concours consentis durée initiale <= 1 an | |||||
| 111 | Crédits à la clientèle | 75 | 0 | ||
| 112 | |||||
| 113 | |||||
| Concours consentis durée initiale >1 an | |||||
| 114 | Crédits à la clientèle | 100 | 0 | ||
| 115 | |||||
| 116 | |||||
| 117 | B.T. ayant au plus un mois à courir, | 100 | 0 | ||
| 118 | B.T. ayant + 1 mois et au + 6 mois à courir | 95 | 0 | ||
| 119 | B.T. ayant + 6 mois à courir | 90 | 0 | ||
| Valeurs mobilières à revenus fixes | |||||
| 120 | Emises par état CEE cotées sur. marchés organisés. | 90 | 0 | ||
| 121 | Garanties par état CEE cotées s. marchés organisés | 80 | 0 | ||
| 122 | Autres cotées s. marchés organisés. | 70 | 0 | ||
| 123 | Valeurs mobilières. à revenus. variables cotées s. marché organisé | 50 | 0 | ||
| Voir état annexe portefeuille actions cotées | |||||
| 124 | Titres de développement industriel | 15 | 0 | ||
| TDI uniquement => solde du 361510 | |||||
| 125 | Parts ou actions d'OPCVM | 71.45 | 0 | ||
| 126 | Comptes de recouvrement (solde net débiteur) | 100 | 0 | ||
| 132 | TOTAL A | 0 | |||
| 127 | ) | ||||
| 128 | ) | ||||
| 129 | ) En principe, néant pour la Caisse d'Epargne du Limousin | ||||
| 130 | ) | ||||
| 131 | ) | ||||
| 132 | TOTAL A | 0 | |||
| LIQUIDITES ET EXIGIBILITES HORS SOLDE DE TRESORERIE | ENCOURS | % | RESULTAT | ||
| 133 | Comptes créditeurs à terme au + 1 mois à courir | 70 | 0 | ||
| 134 | Plans épargne logement au + 1 mois à courir | 70 | 0 | ||
| 135 | Bons de caisse au + 1 mois à courir | 70 | 0 | ||
| 136 | Titres de créances négociables au + 1 mois à courir | 70 | 0 | ||
| 137 | Comptes ordinaires créditeurs | 0 | |||
| 138 | Comptes créditeurs à terme > 1 mois à courir | 0 | |||
| 139 | Bons de caisse > 1 mois à courir | 0 | |||
| 140 | 137+138+139 =ti, ti>800.000mf, R=20% ti + 80000mf | 0 | R | 80 000 | |
| 141 | Comptes épargne à régime spécial (sauf PEL) | 15 | 0 | ||
| 142 | Plans d'Epargne Populaire | 7 | 0 | ||
| 143 | Emprunt. obligataires Et subordonnés remboursement dans le mois | 100 | 0 | ||
| 144 | Comptes de recouvrement (solde net créditeur) | 100 | 0 | ||
| 145 | Cautions, avals, endossement en faveur établissements de crédit (sauf CCCEP) | 5 | 0 | ||
| 146 | Engagement en faveur de la clientèle | 5 | 0 | ||
| 147 | |||||
| 148 | |||||
| 149 | En principe, néant pour la CELIM | ||||
| 150 | |||||
| 151 | TOTAL B | 80 000 | |||
| SOLDE DE TRESORERIE | ENCOURS | % | RESULTAT | ||
| 152 | Fonds propres nets (selon calcul 4008) | 100 | 0 | ||
| 153 | Caisse, Etat 4000 = A10 | 100 | 0 | ||
| 154 | Comptes ordinaires. débiteurs auprès établissements de crédit | 100 | 0 | ||
| 155 | |||||
| 156 | Prêts aux établissements de crédit, Trésor Public, CCP… au +1mois | 100 | 0 | ||
| 157 | TCN ayant au plus un mois à courir | 100 | 0 | ||
| 158 | TCN ayant + 1 mois et au + 6 mois à courir | 40 | 0 | ||
| 159 | TCN ayant + 6 mois à courir | 25 | 0 | ||
| 157 / 158 / 159 =Titres de placement + titres investissement | |||||
| Valeurs nettes de provisions | |||||
| 160 | Excèdent de titres à livrer sur titres à recevoir. dans le mois à venir | 20 | 0 | ||
| 161 | ) En principe, néant pour la CELIM | ||||
| 162 | ) | ||||
| 163 | TOTAL D | 0 | |||
| SOLDE DE TRESORERIE (suite) | ENCOURS | % | RESULTAT | ||
| 164 | Comptes ordinaires. créditeurs auprès établissement de crédit | 100 | 0 | ||
| 165 | Emprunt et pensions JJ auprès établissements. de crédit | 100 | 0 | ||
| 166 | Emprunts aux établissements de crédit, Trésor Public, CCP… au +1mois | 100 | 0 | ||
| 167 | Excèdent de titres à recevoir. sur titres à livrer dans le mois à venir | 20 | 0 | ||
| 168 | TOTAL C | 0 | |||
| 169 | SOLDE PRETEUR | D-C = P | 0 | ||
| 170 | SOLDE EMPRUNTEUR | C-D = E | 0 | ||
| 171 | COEFFICIENT DE LIQUIDITE | A+P= n | 0 | 0 | |
| 172 | DE LIQUIDITE | B+E d | 80 000 | ||
| 173 | EXCEDENT DE LIQUIDITE | n - d | 0 | ||
| 174 | INSUFFISANCE DE LIQUIDITE | d - n | 80 000 | ||
| EMPLOIS NETS | |||||
| Code Lignes | Libellé | Montants Lignes F. | Comptes | Montants | |
| 126 | Immobilisations - hors immobilisations déduite au numérateur | ||||
| 127 | Titres participations et filiales | ||||
| 128 | Dotations des successions et agences étranger | ||||
| 129 | Prêts participatifs | ||||
| 130 | Créances immobilières douteuses non transférables | ||||
| 131 | Valeurs non inscrites à la cote officielle | ||||
| 132 | Valeurs mobilières sauf emprunt obligataires ayant 5 | ||||
| ans au plus a courir émises par EDC | |||||
| 133 | Sous total F | ||||
| Fraction ayant + de 5 ans de durée résiduelle des emplois suivants | |||||
| 134 | Crédits à la clientèle | ||||
| 136 | Excédents des prêts consentis aux EDC et IF | ||||
| 138 | Sous total G | ||||
| 139 | Fraction non utilisée des lignes de crédit ayant | ||||
| plus de 5 ans à courir accordées par établissements de crédits / Institutions financières | |||||
| 140 | Sous total H = G - ligne 139 | ||||
| Fraction ayant + de 5 ans de durée résiduelle | |||||
| des emplois suivants | |||||
| 141 | Prêts principaux EL | ||||
| 142 | Fonds en attente d'emplois | ||||
| 143 | Prêts bancaires aux entreprises | ||||
| 144 | Financés par emprunt LT sur marché international | ||||
| 145 | Autres emplois | ||||
| 146 | Sous total I | ||||
| 147 | Total des emplois nets J = F + G- I | ||||
| RESSOURCES NETTES | ||||||
| Code Lignes | Libellé | Montants Lignes F. | Comptes | Montants | ||
| 101 | Capital ou Dotation | |||||
| 102 | Réserves et FRBG | 0.00 | ||||
| 103 | Report à nouveau | |||||
| 104 | Provisions ayant supporté l'impôt | |||||
| 105 | Provision spéciales constituées en franchise d’impôts | |||||
| 106 | Autres provisions et fonds de garanties | |||||
| 107 | Provisions pour dépréciation des actifs | |||||
| 108 | Emprunt participatif et autres dettes subordonnées non remboursables | |||||
| 109 | Autres ressources | |||||
| 110 | Sous total A | |||||
| A DEDUIRE | ||||||
| 111 | Actionnaires ou associés | |||||
| 112 | Résultat déficitaire | |||||
| 113 | Immobilisations incorporelles | |||||
| ne pas prendre le 441110 et le 441991 | ||||||
| 114 | Frais d'établissement | |||||
| 116 | Sous total B | |||||
| 117 | Sous total C = A - B | |||||
| Fraction ayant plus de 5 ans de durée | ||||||
| résiduelle des ressources suivantes : | ||||||
| 118 | Emprunt part et autres dettes subordonnées remboursées | |||||
| 119 | Emprunts obligataires | |||||
| 120 | Titres créances négociables émis par l'Etat | |||||
| 148 | Plans épargne pop à concurrence 80% | 0.00 | ||||
| 121 | Dépôts de la clientèle | 0.00 | ||||
| 122 | Excédent des emprunts contractés auprès | |||||
| des EDC et IF | ||||||
| 123 | Autres ressources | |||||
| 124 | Sous total D | 0.00 | ||||
| 125 | Total ressources nettes E = C + D | 0.00 | ||||
Pour calculer le coefficient de fonds propres et de ressources permanentes nous voulons connaître la part des prêts, des PEP et du compte à terme PEP dont la durée restant à courir est supérieure à cinq ans. En d’autre termes, nous calculons le montant de ces opérations dans 5 ans après amortissement ou capitalisation.
Le montant des prêts dans 5 ans correspond au capital restant dû dans cinq ans. Les prêts pour lesquels nous voulons estimer ce capital restant dû sont les suivants :
- Prêts habitat TF 
- Prêts habitat TR 
- Prêts conventionnés 
- Prêts aux conditions de marché 
- Prêts bonifiés 
- Prêts aux collectivités locales TF 
- Prêts aux collectivités locales TV 
Parmi ces prêts nous distinguons ceux qui ont un échéancement à amortissement constant
des autres qui ont un échéancement à échéances constantes.
Lorsque l’échéancement est à amortissement constant, le calcul est simple puisque le montant dont la durée restant à courir est supérieur à 5 ans correspond au capital restant dû. Celui-ci est obtenu en déduisant du capital initial les soixante premiers amortissements si la périodicité de l’amortissement est mensuelle.
Dans le cas des prêts aux collectivités locales à taux variables pour lesquels la maturité est de 14 ans et l’échéancement est mensuel, nous obtenons :

Le calcul de l’échéancement des prêts avec des échéances constantes est plus complexe que celui à amortissement constant. Des simulations d’un amortissement de ce type, réalisées avec Excel, font apparaître que la part des prêts dont la durée restant à courir (DRC) est supérieure à cinq ans évolue avec les taux et les maturités, comme le montre le tableau suivant :
| Maturités \ Taux | 4% | 5% | 6% | 7% | 8% | 9% | 10% | Moyenne |
| 14 ans | 0.70 | 0.72 | 0.73 | 0.75 | 0.76 | 0.77 | 0.79 | 0.75 |
| 12 ans | 0.64 | 0.65 | 0.67 | 0.68 | 0.69 | 0.71 | 0.72 | 0.68 |
| 10 ans | 0.55 | 0.56 | 0.57 | 0.59 | 0.60 | 0.61 | 0.62 | 0.59 |
| 9 ans | 0.49 | 0.50 | 0.51 | 0.52 | 0.53 | 0.54 | 0.56 | 0.52 |
| 8 ans | 0.41 | 0.42 | 0.43 | 0.44 | 0.45 | 0.46 | 0.47 | 0.44 |
Le tableau A7.1 montre que 59% du montant d’un prêt souscrit pour 10 ans au taux de 7% a une DRC supérieur à 5 ans. Le capital restant dû dans 5 ans des prêts auxquels nous nous intéressons, est calculé à partir des coefficients moyens par maturité du tableau A7.1. Nous obtenons ainsi les relations suivantes :
- Prêts habitat TF (12 ans) : 
- Prêts habitat TV (10 ans) : 
- Prêts conventionnés (9 ans) : 
- Prêts aux conditions de marché (8 ans) 
- Prêts bonifiés (8 ans) : 
- Prêts aux collectivités locales TF (14 ans) : 
Dans la remontée CENCEP du 18 janvier 1999, nous distinguons trois types de PEP, les PEP placement, les PEP performance et les PEP permanence.
Il existe deux types de PEP placement, les PEP placement 1ère génération (PEP 1G) et les PEP placement 2ème génération (PEP 2G).
Les PEP placement sont des contrats à taux fixe dont l’objectif est de favoriser une épargne longue et stable. Le PEP Placement est un produit d’épargne stratifié.
La durée légale de ce contrat est de 10 ans mais 8 ans seulement permettent de bénéficier des avantages fiscaux.
Le montant minimum du versement initial sur les PEP placement est de 5000F et le montant maximum est de 600 000F (hors intérêts).
Des versements périodiques peuvent être versés à raison de 1500F par trimestre, 3000F par semestre ou 6000F par an. Des versements libres peuvent également être versés mais pour un montant minimum de 2000F.
La capitalisation des intérêts se fait à date anniversaire.
Le taux minimum garanti est égal au taux du livret A+1.5% pour le PEP 1G et au taux du livret A pour le PEP 2G.
L’historique des taux des PEP 1G et des PEP 2G est détaillé dans le tableau suivant :
| Date (à partir de) | Taux PEP placement 1G | Date (à partir de) | Taux PEP placement 2G |
| 01/01/1990 | 9.00% | 04/07/1994 | 5.45% |
| 01/04/1990 | 8.00% | 02/11/1994 | 6.50% |
| 01/01/1993 | 7.50% | 01/05/1995 | 6.00% |
| 01/05/1993 | 7.15% | 02/11/1995 | 6.25% |
| 06/07/1993 | 6.75% | 08/01/1996 | 6.00% |
| 01/10/1993 | 6.65% | 01/03/1996 | 5.50% |
| 01/12/1993 | 6.25% | 01/01/1997 | 5.00% |
| 01/01/1994 | 6.00% | 01/04/1997 | 4.50% |
| 01/03/1996 | 5.00% | 01/07/1997 | 4.30% |
| 01/07/1998 | 4.50% | 01/07/1998 | 3.75% |
| 05/08/1999 | 3.75% | 01/09/1998 | 4.00% |
| 02/11/1998 | 3.75% | ||
| 01/02/1999 | 3.25% | ||
| 01/04/1999 | 3.00% | ||
| 01/09/1999 | 4.00% | ||
| 01/01/2000 | 4.00% |
Source : Caisse d’Epargne du Limousin
Les PEP 1G ont été crées le 1er janvier 1990 puis fermé à la souscription à partir du 4 juillet 1994. Ils ont ensuite été retirés de la vente le 31 décembre 1999. Entre juillet 1994 et décembre 1999, il n’y a donc plus de nouvelles souscriptions mais seulement des versements (Pp12 dans G2) qui alimentent les PEP.
Les derniers PEP souscrits, ouverts en juin 1994, ont une durée restant à courir au 31 décembre 1998 au plus de 5.5 années. Nous considérons donc que la DRC moyenne de ces versements est inférieure à 5 ans.
La DRC des versements qui alimentent les PEP 1G est nécessairement inférieure à un an puisque les PEP 1G ont été retirés de la vente le 31/12/1999.
Finalement, ni les PEP 1G en stock, ni les versements qui les alimentent ne sont intégrés dans le calcul du coefficient de fonds propres et de ressources permanentes.
Les PEP 2G (Pp9) ont été crées le 4 juillet 1994 pour remplacer les PEP 1G et sont fermés à la souscription depuis le 29 novembre 1999.
Dans le cas de la remontée CENCEP du 18 janvier 1999, il ne peut y avoir de nouvelles ouvertures qu’en 1999 alors que les PEP peuvent être alimentés par des versements tant que le produit n’est pas retiré de la vente. Toutefois, il n’y a pas de Objectifs réalisées sur les versements qui alimentent les PEP 2G. Nous ne nous intéressons donc qu’à l’estimation du montant des PEP 2G souscrits en 1999, dont la DRC est supérieure à 5 ans. Or, les contrats PEP 2G souscrits en 1999, compte tenu d’une durée légale de 10 ans, ont nécessairement une durée restant à courir supérieure à 5 ans.
Le montant des PEP dans 5 ans dépend du taux du PEP et du montant initialement versé sur les PEP. La périodicité (trimestrielle, semestrielle ou annuelle) des versements programmés a très peu d’incidence sur l’estimation de ce montant. Par mesure de simplification, nous admettons qu’elle n’en a aucune. Les versements libres, compte tenu de leur aspect aléatoire, ne sont pas pris en compte dans les simulations. Les montants des PEP 2G dont la DRC est supérieure ou égale à 5 ans sont estimés en multipliant le versement initial par les coefficients du tableau A7.3 correspondants à un versement initial et à un taux donnés.
| Versement initial/Taux | 3.00% | 3.25% | 3.75% | 4.00% | 4.25% | 4.50% | 4.75 | 5.00% | 5.50% | 6.00% | 6.50% |
| 5 000F | 7.65 | 7.71 | 7.82 | 7.88 | 7.94 | 7.99 | 8.05 | 8.11 | 8.23 | 8.35 | 8.48 |
| 10 000F | 4.40 | 4.44 | 4.51 | 4.55 | 4.58 | 4.62 | 4.66 | 4.69 | 4.77 | 4.85 | 4.92 |
| 50 000F | 1.81 | 1.83 | 1.86 | 1.88 | 1.90 | 1.92 | 1.94 | 1.96 | 2.00 | 2.04 | 2.08 |
| 100 000F | 1.48 | 1.50 | 1.53 | 1.55 | 1.57 | 1.58 | 1.60 | 1.62 | 1.65 | 1.69 | 1.73 |
| 200 000F | 1.32 | 1.34 | 1.37 | 1.38 | 1.40 | 1.41 | 1.43 | 1.45 | 1.48 | 1.51 | 1.55 |
| 300 000F | 1.27 | 1.28 | 1.31 | 1.33 | 1.34 | 1.36 | 1.37 | 1.39 | 1.42 | 1.46 | 1.49 |
Etant donné que nous ne connaissons pas le montant moyen du versement initial versé à l’ouverture d’un PEP, nous supposons qu’il est égal à 50000F.
Le taux des PEP 2G pour 1999 est de 3.75% dans le scénario de taux réglementés de la Caisse d'Epargne du Limousin et de 4.25% dans le scénario de taux 1. Dans le scénario de taux 2, le taux du PEP 2G est de 4.25% à partir de janvier puis de 4.75% à partir d’août.
Afin de simplifier, les calculs pour les différents taux, nous arrondissons le coefficient utilisé pour estimer le montant des PEP 2G dans 5 ans à 1.90.
Ainsi, quel que soit le taux du PEP 2G de nos simulations, le montant de ce PEP dont la DRC est supérieure ou égale à 5 ans est défini par la relation suivante :

avec
, le montant du PEP dont la DRC est ≥ 5 ans
Le PEP performance (Pp15) est un produit d’épargne à taux révisable, contrairement au PEP placement. C’est donc un produit d’épargne non stratifié.
De même que pour les PEP placement, sa durée légale est de 10 ans et sa durée fiscale de 8 ans.
Le montant minimum d’un PEP performance est de 500F et le montant maximum de 600 000F (hors intérêts).
Ce PEP peut être alimenté par des versements programmés, de 200F par mois, 600F par trimestre, 1 200F par semestre ou 2 400F par an, mais également par des versements libres d’un montant minimum de 500F.
L’historique des taux des PEP performance est donné dans le tableau A7.4.
| Dates (à partir de) | Taux PEP performance (sans abonnement) |
Taux PEP performance (avec abonnement) |
| 01/01/1990 | 9.00% | 9.00% |
| 01/04/1990 | 8.00% | 8.00% |
| 01/01/1993 | 7.60% | 7.80% |
| 01/05/1993 | 7.15% | 7.25% |
| 01/07/1993 | 6.75% | 6.75% |
| 01/10/1993 | 6.65% | 6.75% |
| 01/12/1993 | 6.25% | 6.35% |
| 01/01/1994 | 6.00% | 6.10% |
| 01/04/1996 | 5.80% | 5.90% |
| 01/08/1996 | 5.10% | 5.20% |
| 01/01/1997 | 5.00% | 5.10% |
| 01/07/1998 | 4.50% | 4.50% |
| 05/08/1999 | 3.75% | 3.75% |
Le PEP performance a été crée le 1er janvier 1990 et a été retiré de la vente le 31 décembre 1999. Dans la remontée CENCEP du 18 janvier 1999, il n’y a pas de Objectifs sur les nouvelles ouvertures de 1999 ni sur les nouveaux versements. Ces produits n’apparaissent que dans le stock. Les versements sur les PEP performance ne sont donc pas pris en compte explicitement dans le calcul du coefficient de fonds propres et de ressources permanentes pour la production nouvelle.
Le PEP Permanence est composé d’un compte épargne PEP (Pp10 et Pp13) et de comptes à terme (Pp11). Il associe donc capitalisation et versement de revenus réguliers (Pp13). Ce contrat garantit la restitution au bout de 8 ans d’un capital égal au versement initial alors que parallèlement des versements réguliers générés par les comptes à terme sont versés au titulaire du contrat.
Le taux de rémunération de ce contrat, fixé au moment de la signature, est garanti pour 8 ans. Le PEP permanence est stratifié, comme les PEP placement.
Le montant sur le PEP doit être compris entre 50 000F et 600 000F (hors intérêts).
La périodicité des revenus peut être mensuelle, trimestrielle, semestrielle ou annuelle. Toutefois, la périodicité mensuelle ne peut être retenue que si le dépôt initial est supérieur à 300 000F.
Le taux de rendement minimum garanti du PEP permanence est égal au taux du livret A + 1.5%. L’historique des taux des PEP permanence est détaillé dans le tableau A7.5.
Le PEP permanence a été crée en septembre 1990 et retiré de la vente le 31 décembre 1999. Ainsi, comme pour les PEP placement et les PEP performance, seule la production nouvelle de 1999 comprend des nouvelles ouvertures (Pp10 et Pp11).
Tableau A7.5
| Date (à partir de) | Partie PEP | Partie CAT |
| 01/01/1990 | 8.00% | 7.50% |
| 01/01/1993 | 7.50% | 7.50% |
| 01/05/1993 | 7.15% | 7.15% |
| 06/07/1993 | 6.75% | 6.75% |
| 01/10/1993 | 6.65% | 6.65% |
| 01/12/1993 | 6.25% | 6.25% |
| 01/01/1994 | 6.00% | 5.50% |
| 01/03/1996 | 5.00% | 3.50% |
| 01/07/1998 | 4.50% | 3.00% |
| 01/08/1999 | 3.75% | 3.00% |
On estime successivement le montant des nouvelles souscriptions et des nouveaux versements dont la DRC est supérieure ou égale à 5 ans.
- Le montant
initialement déposé sur le contrat PEP Permanence est ventilé entre le PEP (Pp10) et le CAT (Pp11) selon les relations suivantes :

et 
avec Pp10, le montant alloué à la partie épargne du PEP
D, le montant initialement déposé sur le contrat PEP Permanence
, le taux annuel d’indexation des dépôts, généralement nul
, le taux du PEP permanence
Pp11, le montant attribué au CAT
d est la durée totale du dépôt, exprimée en mois.
Nous remarquons que le taux du PEP agit sur la répartition du montant initialement déposé entre le PEP et le CAT.
Le montant attribué à la partie épargne du PEP capitalise au cours des 8 années selon la périodicité retenue. Le total des intérêts est égal au montant placé sur les CAT. Ainsi, à chaque échéance le capital sur le PEP est tel que :

où d est la durée totale du dépôt, exprimée en mois.
Au terme du contrat, d’une durée de 8 ans, le montant disponible sur le PEP est égal au capital initialement déposé (Pp10) majoré des intérêts dont le montant est égal à Pp11 :

Le montant du PEP dont la durée restant à courir est supérieure ou égale à 5 ans
est alors tel que :

Les intérêts du PEP ne sont pas fiscalisés dans la mesure ou le contrat n’est pas rompu avant son échéance.
La part du dépôt allouée aux CAT est répartie entre le nombre de CAT.

avec
le montant du CAT i
n, le nombre de CAT. Le nombre de CAT ainsi que les dates d’échéance de chaque CAT sont déterminés en fonction de leur date de dépôt, de la périodicité des revenus (mensuelle, trimestrielle, semestrielle ou annuelle), de la date du premier revenu et de la date d’échéance du PEP. En fonction de la configuration des données retenues, le nombre de CAT peut aller de 5 à 96.
L’ouverture d’un CAT suit l’échéance d’un autre. Les intérêts générés par les sommes déposées sont fiscalisés au taux du prélèvement libératoire. Le revenu net d’impôt versé périodiquement est constant. Il est égal au montant du capital initial du CAT majoré des intérêts nets d’impôt.

avec R, le revenu net d’impôt constant versé au client
, le taux de rémunération des CAT, garanti au cours des 8 ans, mais pas nécessairement égal à celui du PEP.
est la durée du
exprimée en mois
, le taux du prélèvement libératoire.
Le capital d’un CAT est la valeur actuelle du revenu futur :

où
est le facteur d’actualisation du revenu futur net
On déduit de l’équation précédente :

L’équation permet de calculer le montant du revenu net versé périodiquement R. Connaissant le revenu net et les facteurs d’actualisation,
nous pouvons en déduire le capital de chaque CAT
.
Retenir une périodicité des revenus mensuelle nécessite que le dépôt initial soit supérieur à 300 000F. Etant donné que le montant total alloué au poste CAT PEP n’est pas nécessairement un multiple de 300 000F, nous ne retenons pas cette hypothèse. Nous sommes donc amenés à supposer que la périodicité principalement retenue pour le versement du revenu brut est trimestrielle.
La part du CAT dont la durée restant à courir est supérieure à 5 ans correspond alors au total des 20 premiers CAT :

Les versements sur les PEP permanence (Pp13) capitalisent, comme le versement initial sur le PEP. Le montant des versements dans 5 ans
est simplement défini par la relation suivante :

Des simulations avec Excel permettent de calculer pour les taux historiques du PEP permanence ainsi que pour les taux des scénarios de la Caisse d'Epargne du Limousin et des deux scénarios que nous avons définis dans le chapitre précédent (3 dernières lignes du tableau A7.5), la répartition du montant initial entre le PEP et le CAT ainsi que le montant du PEP, des versements et du CAT ayant une durée restant à courir supérieure ou égale à 5 ans. Les résultats de ces simulations sont présentés dans le tableau A7.6 :
| Taux | Répartition du montant initial | Montant dont la DRC est >= 5 ans | |||
| PEP | CAT | % PEP | % CAT | , ![]() ![]() |
![]() |
| 8.00% | 7.50% | 54% | 46% | 1.47 | 0.67 |
| 7.50% | 7.50% | 56% | 44% | 1.44 | 0.67 |
| 7.15% | 7.15% | 68% | 42% | 1.41 | 0.67 |
| 6.75% | 6.75% | 59% | 41% | 1.39 | 0.67 |
| 6.65% | 6.65% | 60% | 40% | 1.38 | 0.67 |
| 6.25% | 6.25% | 62% | 38% | 1.35 | 0.66 |
| 6.00% | 5.50% | 63% | 37% | 1.34 | 0.65 |
| 5.00% | 3.50% | 68% | 32% | 1.28 | 0.65 |
| 4.50% | 3.00% | 70% | 30% | 1.25 | 0.65 |
| 3.75% | 3.00% | 74% | 26% | 1.20 | 0.64 |
| 4.00% | 3.00% | 73% | 27% | 1.22 | 0.64 |
| 4.50% | 3.50% | 70% | 30% | 1.25 | 0.65 |
| 5.00% | 4.00% | 65% | 35% | 1.31 | 0.65 |
Afin d’éviter d’avoir une expression du coefficients de fonds propres et de ressources permanentes pour chaque scénario de taux, nous considérons de manière générale les coefficients correspondant au couple de taux (4.50%, 3.50%).
Le montant de la partie PEP et de la partie CAT dans 5 ans est alors estimé par les relations suivantes:


avec
et
, la part des versements du PEP 1G et des nouveaux PEP permanence dans G3 est estimée respectivement à 60% et 22%.
On doit également vérifier la relation suivante : 
| RO1 | 40082 | 40053 | 40044 | ||||
| Numérateur | Dénominateur | Numérateur | Dénominateur | ||||
| X1 | Stock TV | ||||||
| X2, G1 | Bons d'épargne | ||||||
| X3, G2 | PEP permanence | 0.0700 | 0.4000 | ||||
| X4, G3 | Découvert entreprises | 0.7500 | |||||
| X5, G4 | 15% LEP | 0.1333 | 1.0000 | ||||
| X6, G5 | Livret épargne logement (LEL) | 0.0200 | 0.1500 | ||||
| X7, G6 | 47.5% CODEVI + Livret B | 0.0289 | 0.0666 | 0.2166 | |||
| X8, G7 | Livret jeunes | 0.0200 | 0.1500 | ||||
| X9, Pa1 | Carte aurore | 0.7500 | |||||
| X10, Pa2 | Découverts particuliers | 0.7500 | |||||
| X11, Pa3 | Prêts à la consommation | 0.85 | |||||
| X12, Pa4 | Prêts étudiants | 0.85 | |||||
| X13, Pa5 | Prêts habitat TF | 0.85 | 0.6800 | ||||
| X14, Pa6 | Prêts habitat TV | 0.85 | 0.5900 | ||||
| X15, Pa7 | Prêts LEL | 0.85 | |||||
| X16, Pa8 | Prêts PEL | 0.85 | |||||
| X17, Pa10 | Prêts conventionnés | 0.85 | 0.5200 | ||||
| X18, Pa11 | Prêts entreprises autres | 0.85 | |||||
| X19, Pa12 | Prêts bancaires aux entreprises | 0.85 | |||||
| X20, Pa13 | Prêts aux conditions de marché à TF | 0.85 | 0.4400 | ||||
| X21, Pa14 | Prêts bonifiés | 0.85 | 0.4400 | ||||
| X22, Pa15 | Prêts aux associations à TF | 0.20 | |||||
| X23, Pa16 | Prêts aux collectivités locales TF | 0.20 | 0.7500 | ||||
| X24, Pa17 | Prêts aux collectivités locales TV | 0.20 | 0.6400 | ||||
| X25, Pa18 | Prêts aux collectivités lignes de crédit | 0.20 | |||||
| X26, Pa19 | Prêts interbancaires | 0.20 | |||||
| X27, Pa20 | Prêts réserves obligatoires (RO) | ||||||
| X28, Pp5 | Bons de caisse | 0.0200 | 0.2000 | ||||
| X29, Pp8 | CAT | 0.0200 | 0.2000 | ||||
| X30, Pp9 | PEP placement 2ème génération | 0.0700 | 1.5200 | ||||
| X31, Pp11 | CAT PEP | 0.0012 | 0.2000 | 0.0450 | |||
| X32, Pp15 | CAT PEL | 0.0020 | 0.2000 | ||||
| X33, Pp16 | Plan épargne logement (PEL) | ||||||
| X34, Pp17 | Emprunt écureuil TF | ||||||
| X35, Pp18 | Emprunt écureuil TV | ||||||
| X36, Pp19 | Emprunt au jour le jour | ||||||
1 Réserves obligatoires, 2 Ratio de solvabilité, 3 Ratio de liquidité, 4 Ratio de fonds propres et de ressources permanentes.
Les bornes des intervalles sont exprimées en pourcentage du total des emplois ou des ressources risqués de la production nouvelle selon que l’opération est un emploi ou une ressource. Elles représentent une variation de 5% à 100% par rapport aux objectifs de la CELIM, excepté pour les réserves (X27, Pa20) et l’emprunt au jour le jour (X36, Pp19) pour lesquels les intervalles sont très larges de manière à laisser une certaine liberté quant à l’évolution de ces opérations. Les correspondances aux numéros des opérations dans les tableaux ci-dessous sont données dans l’annexe 4.8.
| Intervalles | X2, G1 | X3, G2 | X4, G3 | X5, G4 | X6, G5 | X7, G6 | X8, G7 | X9, Pa1 |
| ± 5% | 1.05% | 0.36% | 1.14% | 0.83% | 1.21% | 1.97% | 0.70% | 2.13% |
| 0.95% | 0.33% | 1.26% | 0.75% | 1.09% | 1.78% | 0.63% | 2.36% | |
| ± 10% | 1.10% | 0.38% | 1.08% | 0.87% | 1.26% | 2.06% | 0.74% | 2.02% |
| 0.90% | 0.31% | 1.33% | 0.71% | 1.03% | 1.69% | 0.60% | 2.47% | |
| ± 20% | 1.20% | 0.41% | 0.96% | 0.95% | 1.38% | 2.25% | 0.80% | 1.80% |
| 0.80% | 0.27% | 1.45% | 0.63% | 0.92% | 1.50% | 0.53% | 2.69% | |
| ± 30% | 1.30% | 0.45% | 0.84% | 1.03% | 1.49% | 2.44% | 0.87% | 1.57% |
| 0.70% | 0.24% | 1.57% | 0.55% | 0.80% | 1.31% | 0.47% | 2.92% | |
| ± 40% | 1.40% | 0.48% | 0.72% | 1.11% | 1.61% | 2.62% | 0.94% | 1.35% |
| 0.60% | 0.21% | 1.69% | 0.48% | 0.69% | 1.12% | 0.40% | 3.14% | |
| ± 50% | 1.50% | 0.52% | 0.60% | 1.19% | 1.72% | 2.81% | 1.00% | 1.12% |
| 0.50% | 0.17% | 1.81% | 0.40% | 0.57% | 0.94% | 0.33% | 3.37% | |
| ± 60% | 1.60% | 0.55% | 0.48% | 1.27% | 1.84% | 3.00% | 1.07% | 0.90% |
| 0.40% | 0.14% | 1.93% | 0.32% | 0.46% | 0.75% | 0.27% | 3.59% | |
| ± 80% | 1.80% | 0.62% | 0.24% | 1.43% | 2.07% | 3.37% | 1.20% | 0.45% |
| 0.20% | 0.07% | 2.17% | 0.16% | 0.23% | 0.37% | 0.13% | 4.04% | |
| ± 100% | 2.01% | 0.69% | 0.00% | 1.58% | 2.30% | 3.75% | 1.34% | 0.00% |
| 0.00% | 0.00% | 2.41% | 0.00% | 0.00% | 0.00% | 0.00% | 4.49% |
| Intervalles | X10, Pa2 | X11, Pa3 | X12, Pa4 | X13, Pa5 | X14, Pa6 | X15, Pa7 | X16, Pa8 | X17, Pa10 | X18, Pa11 |
| ± 5% | 1.72% | 11.93% | 0.49% | 20.41% | 6.30% | 1.35% | 0.69% | 0.34% | 0.60% |
| 1.90% | 13.19% | 0.54% | 22.55% | 6.96% | 1.49% | 0.76% | 0.37% | 0.66% | |
| ± 10% | 1.63% | 11.30% | 0.46% | 19.33% | 5.96% | 1.28% | 0.65% | 0.32% | 0.57% |
| 1.99% | 13.81% | 0.56% | 23.63% | 7.29% | 1.56% | 0.79% | 0.39% | 0.69% | |
| ± 20% | 1.45% | 10.05% | 0.41% | 17.18% | 5.30% | 1.13% | 0.58% | 0.28% | 0.50% |
| 2.17% | 15.07% | 0.61% | 25.78% | 7.95% | 1.70% | 0.87% | 0.43% | 0.76% | |
| ± 30% | 1.26% | 8.79% | 0.36% | 15.04% | 4.64% | 0.99% | 0.51% | 0.25% | 0.44% |
| 2.35% | 16.32% | 0.67% | 27.92% | 8.61% | 1.84% | 0.94% | 0.46% | 0.82% | |
| ± 40% | 1.08% | 7.53% | 0.31% | 12.89% | 3.98% | 0.85% | 0.43% | 0.21% | 0.38% |
| 2.53% | 17.58% | 0.72% | 30.07% | 9.28% | 1.98% | 1.01% | 0.50% | 0.88% | |
| ± 50% | 0.90% | 6.28% | 0.26% | 10.74% | 3.31% | 0.71% | 0.36% | 0.18% | 0.31% |
| 2.71% | 18.84% | 0.77% | 32.22% | 9.94% | 2.13% | 1.08% | 0.53% | 0.94% | |
| ± 60% | 0.72% | 5.02% | 0.20% | 8.59% | 2.65% | 0.57% | 0.29% | 0.14% | 0.25% |
| 2.89% | 20.09% | 0.82% | 34.37% | 10.60% | 2.27% | 1.15% | 0.57% | 1.01% | |
| ± 80% | 0.36% | 2.51% | 0.10% | 4.30% | 1.33% | 0.28% | 0.14% | 0.07% | 0.13% |
| 3.25% | 22.60% | 0.92% | 38.66% | 11.93% | 2.55% | 1.30% | 0.64% | 1.13% | |
| ± 100% | 0.00% | 0.00% | 0.00% | 0.00% | 0.00% | 0.00% | 0.00% | 0.00% | 0.00% |
| 3.61% | 25.11% | 1.02% | 42.96% | 13.25% | 2.83% | 1.44% | 0.71% | 1.26% |
| Intervalles | X19, Pa12 | X20, Pa13 | X21, Pa14 | X22, Pa15 | X23, Pa16 | X24, Pa17 | X25, Pa18 | X26, Pa19 | X27, Pa20 |
| ± 5% | 3.28% | 6.74% | 0.64% | 0.56% | 10.96% | 4.62% | 0.75% | 19.61% | 0.77% |
| 3.62% | 7.45% | 0.70% | 0.62% | 12.11% | 5.11% | 0.83% | 21.67% | 0.85% | |
| ± 10% | 3.11% | 6.39% | 0.60% | 0.53% | 10.38% | 4.38% | 0.71% | 18.58% | 0.73% |
| 3.80% | 7.81% | 0.74% | 0.65% | 12.69% | 5.35% | 0.87% | 22.70% | 0.89% | |
| ± 20% | 2.76% | 5.68% | 0.54% | 0.47% | 9.23% | 3.89% | 0.63% | 16.51% | 0.65% |
| 4.14% | 8.52% | 0.80% | 0.71% | 13.84% | 5.84% | 0.94% | 24.77% | 0.97% | |
| ± 30% | 2.42% | 4.97% | 0.47% | 0.41% | 8.07% | 3.41% | 0.55% | 14.45% | 0.57% |
| 4.49% | 9.23% | 0.87% | 0.77% | 14.99% | 6.33% | 1.02% | 26.83% | 1.05% | |
| ± 40% | 2.07% | 4.26% | 0.40% | 0.35% | 6.92% | 2.92% | 0.47% | 12.38% | 0.48% |
| 4.83% | 9.94% | 0.94% | 0.83% | 16.15% | 6.82% | 1.10% | 28.90% | 1.13% | |
| ± 50% | 1.73% | 3.55% | 0.33% | 0.30% | 5.77% | 2.43% | 0.39% | 10.32% | 0.40% |
| 5.18% | 10.65% | 1.00% | 0.89% | 17.30% | 7.30% | 1.18% | 30.96% | 1.21% | |
| ± 60% | 1.38% | 2.84% | 0.27% | 0.24% | 4.61% | 1.95% | 0.31% | 8.26% | 0.32% |
| 5.52% | 11.36% | 1.07% | 0.94% | 18.45% | 7.79% | 1.26% | 33.02% | 1.29% | |
| ± 80% | 0.69% | 1.42% | 0.13% | 0.12% | 2.31% | 0.97% | 0.16% | 4.13% | 0.16% |
| 6.21% | 12.78% | 1.20% | 1.06% | 20.76% | 8.76% | 1.42% | 37.15% | 1.45% | |
| ± 100% | 0.00% | 0.00% | 0.00% | 0.00% | 0.00% | 0.00% | 0.00% | 0.00% | 0.00% |
| 6.90% | 14.20% | 1.34% | 1.18% | 23.07% | 9.74% | 1.57% | 41.28% | 1.62% |
| Intervalles | X28, Pp5 | X29, Pp8 | X30, Pp9 | X31, Pp11 | X32, Pp15 | X33, Pp16 | X34, Pp17 | X35, Pp18 | X36, Pp19 |
| ± 5% | 0.21% | 0.43% | 0.12% | 0.14% | 0.30% | 4.45% | 0.62% | 0.62% | 91.99% |
| 0.19% | 0.39% | 0.11% | 0.13% | 0.27% | 4.02% | 0.56% | 0.56% | 83.23% | |
| ± 10% | 0.22% | 0.45% | 0.13% | 0.15% | 0.32% | 4.66% | 0.65% | 0.65% | 96.37% |
| 0.18% | 0.37% | 0.10% | 0.12% | 0.26% | 3.81% | 0.53% | 0.53% | 78.85% | |
| ± 20% | 0.24% | 0.49% | 0.14% | 0.16% | 0.35% | 5.08% | 0.71% | 0.71% | 105.13% |
| 0.16% | 0.33% | 0.09% | 0.11% | 0.23% | 3.39% | 0.47% | 0.47% | 70.09% | |
| ± 30% | 0.26% | 0.53% | 0.15% | 0.17% | 0.37% | 5.51% | 0.77% | 0.77% | 113.89% |
| 0.14% | 0.29% | 0.08% | 0.09% | 0.20% | 2.96% | 0.41% | 0.41% | 61.33% | |
| ± 40% | 0.28% | 0.57% | 0.16% | 0.19% | 0.40% | 5.93% | 0.83% | 0.83% | 122.65% |
| 0.12% | 0.24% | 0.07% | 0.08% | 0.17% | 2.54% | 0.35% | 0.35% | 52.57% | |
| ± 50% | 0.30% | 0.61% | 0.17% | 0.20% | 0.43% | 6.35% | 0.89% | 0.89% | 131.41% |
| 0.10% | 0.20% | 0.06% | 0.07% | 0.14% | 2.12% | 0.30% | 0.30% | 43.80% | |
| ± 60% | 0.32% | 0.65% | 0.18% | 0.21% | 0.46% | 6.78% | 0.94% | 0.94% | 140.18% |
| 0.08% | 0.16% | 0.05% | 0.05% | 0.12% | 1.69% | 0.24% | 0.24% | 35.04% | |
| ± 80% | 0.36% | 0.73% | 0.21% | 0.24% | 0.52% | 7.62% | 1.06% | 1.06% | 157.70% |
| 0.04% | 0.08% | 0.02% | 0.03% | 0.06% | 0.85% | 0.12% | 0.12% | 17.52% | |
| ± 100% | 0.40% | 0.81% | 0.23% | 0.27% | 0.58% | 8.47% | 1.18% | 1.18% | 175.22% |
| 0.00% | 0.00% | 0.00% | 0.00% | 0.00% | 0.00% | 0.00% | 0.00% | 0.00% |
| Intervalles* | X2, G1 | X3, G2 | X4, G3 | X5, G4 | X6, G5 | X7, G6 | X8, G7 | X9, Pa1 |
| Objectifs** | 1.00% | 0.34% | 1.20% | 0.79% | 1.15% | 1.87% | 0.67% | 2.24% |
| ± 5% | 0.95% | 0.36% | 1.26% | 0.75% | 1.21% | 1.97% | 0.63% | 2.36% |
| ± 10% | 0.90% | 0.34% | 1.33% | 0.71% | 1.26% | 2.06% | 0.60% | 2.47% |
| ± 20% | 0.80% | 0.27% | 1.45% | 0.63% | 1.38% | 2.25% | 0.53% | 2.69% |
| ± 30% | 0.70% | 0.24% | 1.57% | 0.55% | 1.49% | 2.44% | 0.47% | 2.92% |
| ± 40% | 0.60% | 0.21% | 1.69% | 0.48% | 1.61% | 2.62% | 0.40% | 3.14% |
| ± 50% | 0.50% | 0.17% | 1.81% | 0.40% | 1.72% | 2.81% | 0.33% | 3.37% |
| ± 60% | 0.40% | 0.14% | 1.93% | 0.32% | 1.84% | 3.00% | 0.27% | 3.59% |
| ± 80% | 0.20% | 0.07% | 2.17% | 0.16% | 2.07% | 3.37% | 0.13% | 4.04% |
| ± 100% | 0.00% | 0.00% | 2.41% | 0.00% | 2.30% | 3.75% | 0.00% | 4.49% |
| Intervalles* | X10, Pa2 | X11, Pa3 | X12, Pa4 | X13, Pa5 | X14, Pa6 | X15, Pa7 | X16, Pa8 | X17, Pa10 | X18, Pa11 |
| Objectifs** | 1.81% | 12.56% | 0.51% | 21.48% | 6.63% | 1.42% | 0.72% | 0.35% | 0.63% |
| ± 5% | 1.90% | 13.19% | 0.54% | 21.97% | 6.30% | 1.49% | 0.76% | 0.37% | 0.66% |
| ± 10% | 1.99% | 13.81% | 0.56% | 22.86% | 5.96% | 1.28% | 0.79% | 0.39% | 0.69% |
| ± 20% | 2.17% | 15.07% | 0.61% | 24.64% | 5.30% | 1.13% | 0.87% | 0.43% | 0.76% |
| ± 30% | 2.35% | 16.32% | 0.67% | 26.51% | 4.64% | 0.99% | 0.94% | 0.46% | 0.82% |
| ± 40% | 2.53% | 17.58% | 0.72% | 28.38% | 3.98% | 0.85% | 1.01% | 0.50% | 0.88% |
| ± 50% | 2.71% | 18.84% | 0.77% | 30.24% | 3.31% | 0.71% | 1.08% | 0.53% | 0.94% |
| ± 60% | 2.89% | 20.09% | 0.82% | 32.11% | 2.65% | 0.57% | 1.15% | 0.57% | 1.01% |
| ± 80% | 3.25% | 22.60% | 0.92% | 35.85% | 1.33% | 0.28% | 1.30% | 0.64% | 1.13% |
| ± 100% | 3.61% | 25.11% | 1.02% | 39.58% | 0.00% | 0.00% | 1.44% | 0.71% | 1.26% |
| Intervalles* | X19, Pa12 | X20, Pa13 | X21, Pa14 | X22, Pa15 | X23, Pa16 | X24, Pa17 | X25, Pa18 | X26, Pa19 | X27, Pa20 |
| Objectifs** | 3.45% | 7.10% | 0.67% | 0.59% | 11.53% | 4.87% | 0.79% | 20.64% | 0.81% |
| ± 5% | 3.62% | 7.45% | 0.70% | 0.62% | 10.96% | 4.62% | 0.75% | 19.65% | 0.83% |
| ± 10% | 3.80% | 7.81% | 0.74% | 0.65% | 10.38% | 4.38% | 0.71% | 18.58% | 0.83% |
| ± 20% | 4.04% | 8.52% | 0.54% | 0.71% | 9.23% | 3.89% | 0.63% | 16.51% | 0.82% |
| ± 30% | 4.07% | 9.23% | 0.47% | 0.77% | 8.07% | 3.41% | 0.55% | 14.45% | 0.81% |
| ± 40% | 4.09% | 9.94% | 0.40% | 0.83% | 6.92% | 2.92% | 0.47% | 12.38% | 0.81% |
| ± 50% | 4.11% | 10.65% | 0.33% | 0.89% | 5.77% | 2.43% | 0.39% | 10.32% | 0.80% |
| ± 60% | 4.13% | 11.36% | 0.27% | 0.94% | 4.61% | 1.95% | 0.31% | 8.26% | 0.79% |
| ± 80% | 4.18% | 12.78% | 0.13% | 1.06% | 2.31% | 0.97% | 0.16% | 4.13% | 0.77% |
| ± 100% | 4.22% | 14.20% | 0.00% | 1.18% | 0.00% | 0.00% | 0.00% | 0.00% | 0.76% |
| Intervalles* | X28, Pp5 | X29, Pp8 | X30, Pp9 | X31, Pp11 | X32, Pp15 | X33, Pp16 | X34, Pp17 | X35, Pp18 | X36, Pp19 |
| Objectifs** | 0.20% | 0.41% | 0.11% | 0.13% | 0.29% | 4.23% | 0.59% | 0.59% | 87.61% |
| ± 5% | 0.21% | 0.43% | 0.12% | 0.14% | 0.30% | 4.45% | 0.56% | 0.62% | 87.30% |
| ± 10% | 0.22% | 0.45% | 0.13% | 0.15% | 0.32% | 4.66% | 0.53% | 0.65% | 87.02% |
| ± 20% | 0.24% | 0.49% | 0.14% | 0.16% | 0.35% | 5.08% | 0.47% | 0.71% | 86.49% |
| ± 30% | 0.26% | 0.53% | 0.15% | 0.17% | 0.37% | 5.51% | 0.41% | 0.77% | 85.93% |
| ± 40% | 0.28% | 0.57% | 0.16% | 0.19% | 0.40% | 5.93% | 0.35% | 0.83% | 85.37% |
| ± 50% | 0.30% | 0.61% | 0.17% | 0.20% | 0.43% | 6.35% | 0.30% | 0.89% | 84.81% |
| ± 60% | 0.32% | 0.65% | 0.18% | 0.21% | 0.46% | 6.78% | 0.24% | 0.94% | 84.25% |
| ± 80% | 0.36% | 0.73% | 0.21% | 0.24% | 0.52% | 7.62% | 0.12% | 1.06% | 83.13% |
| ± 100% | 0.40% | 0.81% | 0.23% | 0.27% | 0.58% | 8.47% | 0.00% | 1.18% | 82.01% |
*Les cellules grises, blanches et en gras correspondent aux opérations qui se situent respectivement aux bornes maximum, minimum et entre les bornes des intervalles.
**Objectifs de la Caisse d'Epargne du Limousin
| Intervalles* | X2, G1 | X3, G2 | X4, G3 | X5, G4 | X6, G5 | X7, G6 | X8, G7 | X9, Pa1 |
| Objectifs** | 1.00% | 0.34% | 1.20% | 0.79% | 1.15% | 1.87% | 0.67% | 2.24% |
| ± 5% | 1.05% | 0.36% | 1.26% | 0.75% | 1.21% | 1.97% | 0.63% | 2.36% |
| ± 10% | 1.10% | 0.38% | 1.33% | 0.71% | 1.26% | 2.06% | 0.60% | 2.47% |
| ± 20% | 1.20% | 0.41% | 1.45% | 0.63% | 1.38% | 2.25% | 0.53% | 2.69% |
| ± 30% | 1.30% | 0.45% | 1.57% | 0.55% | 1.49% | 2.44% | 0.47% | 2.92% |
| ± 40% | 1.40% | 0.48% | 1.69% | 0.48% | 1.61% | 2.62% | 0.40% | 3.14% |
| ± 50% | 1.50% | 0.52% | 1.81% | 0.40% | 1.72% | 2.81% | 0.33% | 3.37% |
| ± 60% | 1.60% | 0.55% | 1.93% | 0.32% | 1.84% | 3.00% | 0.27% | 3.59% |
| ± 80% | 1.80% | 0.62% | 2.17% | 0.16% | 2.07% | 3.37% | 0.13% | 4.04% |
| ± 100% | 2.01% | 0.69% | 2.41% | 0.00% | 2.30% | 3.75% | 0.00% | 4.49% |
| Intervalles* | X10, Pa2 | X11, Pa3 | X12, Pa4 | X13, Pa5 | X14, Pa6 | X15, Pa7 | X16, Pa8 | X17, Pa10 | X18, Pa11 |
| Objectifs** | 1.81% | 12.56% | 0.51% | 21.48% | 6.63% | 1.42% | 0.72% | 0.35% | 0.63% |
| ± 5% | 1.90% | 13.19% | 0.54% | 20.41% | 6.30% | 1.49% | 0.76% | 0.37% | 0.66% |
| ± 10% | 1.99% | 13.81% | 0.56% | 19.67% | 5.96% | 1.56% | 0.79% | 0.39% | 0.69% |
| ± 20% | 2.17% | 15.07% | 0.61% | 18.44% | 5.30% | 1.70% | 0.87% | 0.43% | 0.76% |
| ± 30% | 2.35% | 16.32% | 0.67% | 17.22% | 4.64% | 1.84% | 0.94% | 0.46% | 0.82% |
| ± 40% | 2.53% | 17.58% | 0.72% | 15.99% | 3.98% | 1.98% | 1.01% | 0.50% | 0.88% |
| ± 50% | 2.71% | 18.84% | 0.77% | 14.76% | 3.31% | 2.13% | 1.08% | 0.53% | 0.94% |
| ± 60% | 2.89% | 20.04% | 0.82% | 13.53% | 2.65% | 2.27% | 1.15% | 0.57% | 1.01% |
| ± 80% | 3.25% | 22.60% | 0.92% | 11.07% | 1.33% | 2.30% | 1.30% | 0.64% | 1.13% |
| ± 100% | 3.61% | 25.11% | 1.02% | 10.82% | 0.00% | 1.00% | 1.44% | 0.71% | 1.26% |
| Intervalles* | X19, Pa12 | X20, Pa13 | X21, Pa14 | X22, Pa15 | X23, Pa16 | X24, Pa17 | X25, Pa18 | X26, Pa19 | X27, Pa20 |
| Objectifs** | 3.45% | 7.10% | 0.67% | 0.59% | 11.53% | 4.87% | 0.79% | 20.64% | 0.81% |
| ± 5% | 3.62% | 7.45% | 0.64% | 0.62% | 12.11% | 4.99% | 0.83% | 19.69% | 0.83% |
| ± 10% | 3.55% | 7.81% | 0.60% | 0.65% | 12.69% | 5.35% | 0.71% | 18.58% | 0.83% |
| ± 20% | 3.11% | 8.52% | 0.54% | 0.71% | 13.84% | 5.84% | 0.63% | 16.51% | 0.82% |
| ± 30% | 2.66% | 9.23% | 0.47% | 0.77% | 14.99% | 6.33% | 0.55% | 14.45% | 0.81% |
| ± 40% | 2.22% | 9.94% | 0.40% | 0.83% | 16.15% | 6.82% | 0.47% | 12.38% | 0.81% |
| ± 50% | 1.78% | 10.65% | 0.33% | 0.89% | 17.30% | 7.30% | 0.39% | 10.32% | 0.80% |
| ± 60% | 1.38% | 11.36% | 0.27% | 0.94% | 18.45% | 7.79% | 0.31% | 8.26% | 0.79% |
| ± 80% | 0.69% | 12.78% | 0.13% | 1.06% | 20.76% | 8.76% | 0.16% | 4.13% | 0.77% |
| ± 100% | 1.52% | 14.20% | 0.00% | 1.18% | 23.07% | 7.39% | 0.00% | 0.00% | 0.76% |
| Intervalles* | X28, Pp5 | X29, Pp8 | X30, Pp9 | X31, Pp11 | X32, Pp15 | X33, Pp16 | X34, Pp17 | X35, Pp18 | X36, Pp19 |
| Objectifs** | 0.20% | 0.41% | 0.11% | 0.13% | 0.29% | 4.23% | 0.59% | 0.59% | 87.61% |
| ± 5% | 0.21% | 0.43% | 0.12% | 0.14% | 0.30% | 4.45% | 0.62% | 0.62% | 87.14% |
| ± 10% | 0.22% | 0.45% | 0.13% | 0.15% | 0.32% | 4.66% | 0.65% | 0.65% | 86.66% |
| ± 20% | 0.24% | 0.49% | 0.14% | 0.16% | 0.35% | 5.08% | 0.71% | 0.71% | 85.72% |
| ± 30% | 0.26% | 0.53% | 0.15% | 0.17% | 0.37% | 5.51% | 0.77% | 0.77% | 84.77% |
| ± 40% | 0.28% | 0.57% | 0.16% | 0.19% | 0.40% | 5.93% | 0.83% | 0.83% | 83.82% |
| ± 50% | 0.30% | 0.61% | 0.17% | 0.20% | 0.43% | 6.35% | 0.89% | 0.89% | 82.88% |
| ± 60% | 0.32% | 0.65% | 0.18% | 0.21% | 0.46% | 6.78% | 0.26% | 0.94% | 82.62% |
| ± 80% | 0.36% | 0.73% | 0.21% | 0.24% | 0.52% | 7.62% | 0.12% | 1.06% | 80.98% |
| ± 100% | 0.40% | 0.81% | 0.23% | 0.27% | 0.58% | 8.47% | 0.00% | 1.18% | 79.32% |
*Les cellules grises, blanches et en gras correspondent aux opérations qui se situent respectivement aux bornes maximum, minimum et entre les bornes des intervalles.
**Objectifs de la Caisse d'Epargne du Limousin
| Intervalles* | X2, G1 | X3, G2 | X4, G3 | X5, G4 | X6, G5 | X7, G6 | X8, G7 | X9, Pa1 |
| Objectifs** | 1.00% | 0.34% | 1.20% | 0.79% | 1.15% | 1.87% | 0.67% | 2.24% |
| ± 5% | 1.05% | 0.36% | 1.26% | 0.83% | 1.21% | 1.97% | 0.70% | 2.36% |
| ± 10% | 1.10% | 0.38% | 1.33% | 0.87% | 1.26% | 2.06% | 0.74% | 2.47% |
| ± 20% | 1.20% | 0.41% | 1.45% | 0.95% | 1.38% | 2.25% | 0.80% | 2.69% |
| ± 30% | 1.30% | 0.45% | 1.57% | 1.03% | 1.49% | 2.44% | 0.87% | 2.92% |
| ± 40% | 1.40% | 0.48% | 1.69% | 1.11% | 1.61% | 2.62% | 0.94% | 3.14% |
| ± 50% | 1.50% | 0.52% | 1.81% | 1.19% | 1.72% | 2.81% | 1.00% | 3.37% |
| ± 60% | 1.60% | 0.55% | 1.93% | 1.27% | 1.84% | 3.00% | 1.07% | 3.59% |
| ± 80% | 1.80% | 0.62% | 2.17% | 1.43% | 2.07% | 3.37% | 1.20% | 4.04% |
| ± 100% | 2.01% | 0.69% | 2.41% | 1.58% | 2.30% | 3.75% | 1.34% | 4.49% |
| Intervalles* | X10, Pa2 | X11, Pa3 | X12, Pa4 | X13, Pa5 | X14, Pa6 | X15, Pa7 | X16, Pa8 | X17, Pa10 | X18, Pa11 |
| Objectifs** | 1.81% | 12.56% | 0.51% | 21.48% | 6.63% | 1.42% | 0.72% | 0.35% | 0.63% |
| ± 5% | 1.90% | 11.93% | 0.54% | 20.41% | 6.30% | 1.49% | 0.76% | 0.37% | 0.66% |
| ± 10% | 1.99% | 11.30% | 0.56% | 19.67% | 5.96% | 1.56% | 0.79% | 0.39% | 0.69% |
| ± 20% | 2.17% | 10.05% | 0.61% | 18.44% | 5.30% | 1.70% | 0.87% | 0.43% | 0.76% |
| ± 30% | 2.35% | 8.79% | 0.67% | 17.22% | 4.64% | 1.84% | 0.94% | 0.46% | 0.82% |
| ± 40% | 2.53% | 7.53% | 0.72% | 15.99% | 3.98% | 1.98% | 1.01% | 0.50% | 0.88% |
| ± 50% | 2.71% | 6.28% | 0.77% | 14.76% | 3.31% | 2.13% | 1.08% | 0.53% | 0.94% |
| ± 60% | 2.89% | 5.02% | 0.82% | 13.53% | 2.65% | 2.27% | 1.15% | 0.57% | 1.01% |
| ± 80% | 3.25% | 4.60% | 0.92% | 11.07% | 1.33% | 2.55% | 1.30% | 0.64% | 1.13% |
| ± 100% | 3.61% | 6.08% | 1.02% | 8.62% | 0.00% | 2.83% | 1.44% | 0.71% | 1.26% |
| Intervalles* | X19, Pa12 | X20, Pa13 | X21, Pa14 | X22, Pa15 | X23, Pa16 | X24, Pa17 | X25, Pa18 | X26, Pa19 | X27, Pa20 |
| Objectifs** | 3.45% | 7.10% | 0.67% | 0.59% | 11.53% | 4.87% | 0.79% | 20.64% | 0.81% |
| ± 5% | 3.62% | 7.27% | 0.64% | 0.62% | 12.11% | 5.11% | 0.83% | 20.97% | 0.87% |
| ± 10% | 3.80% | 7.81% | 0.60% | 0.65% | 12.69% | 5.35% | 0.87% | 20.62% | 0.90% |
| ± 20% | 4.14% | 8.52% | 0.54% | 0.71% | 13.84% | 5.84% | 0.94% | 20.05% | 0.96% |
| ± 30% | 4.49% | 9.23% | 0.47% | 0.77% | 14.99% | 6.33% | 1.02% | 19.48% | 1.02% |
| ± 40% | 4.83% | 9.94% | 0.40% | 0.83% | 16.15% | 6.82% | 1.10% | 18.92% | 1.08% |
| ± 50% | 5.18% | 10.65% | 0.33% | 0.89% | 17.30% | 7.30% | 1.18% | 18.35% | 1.14% |
| ± 60% | 5.52% | 11.36% | 0.27% | 0.94% | 18.45% | 7.79% | 1.26% | 17.78% | 1.20% |
| ± 80% | 6.21% | 12.78% | 0.13% | 1.06% | 20.76% | 8.76% | 1.42% | 14.56% | 1.32% |
| ± 100% | 6.90% | 14.20% | 0.00% | 1.18% | 23.07% | 9.74% | 1.57% | 9.42% | 1.44% |
| Intervalles* | X28, Pp5 | X29, Pp8 | X30, Pp9 | X31, Pp11 | X32, Pp15 | X33, Pp16 | X34, Pp17 | X35, Pp18 | X36, Pp19 |
| Objectifs** | 0.20% | 0.41% | 0.11% | 0.13% | 0.29% | 4.23% | 0.59% | 0.59% | 87.61% |
| ± 5% | 0.21% | 0.43% | 0.12% | 0.14% | 0.30% | 4.45% | 0.62% | 0.56% | 87.05% |
| ± 10% | 0.22% | 0.45% | 0.13% | 0.15% | 0.32% | 4.66% | 0.65% | 0.53% | 86.49% |
| ± 20% | 0.24% | 0.49% | 0.14% | 0.16% | 0.35% | 5.08% | 0.71% | 0.47% | 85.37% |
| ± 30% | 0.26% | 0.53% | 0.15% | 0.17% | 0.37% | 5.51% | 0.77% | 0.41% | 84.25% |
| ± 40% | 0.28% | 0.57% | 0.16% | 0.19% | 0.40% | 5.93% | 0.83% | 0.35% | 83.13% |
| ± 50% | 0.30% | 0.61% | 0.17% | 0.20% | 0.43% | 6.35% | 0.89% | 0.30% | 82.01% |
| ± 60% | 0.32% | 0.65% | 0.18% | 0.21% | 0.46% | 6.78% | 0.94% | 0.24% | 80.88% |
| ± 80% | 0.36% | 0.73% | 0.21% | 0.24% | 0.52% | 7.62% | 1.06% | 0.12% | 78.64% |
| ± 100% | 0.40% | 0.81% | 0.23% | 0.27% | 0.58% | 8.47% | 1.18% | 0.00% | 76.40% |
*Les cellules grises, blanches et en gras correspondent aux opérations qui se situent respectivement aux bornes maximum, minimum et entre les bornes des intervalles.
**Objectifs de la Caisse d'Epargne du Limousin.
| Intervalles* | X2, G1 | X3, G2 | X4, G3 | X5, G4 | X6, G5 | X7, G6 | X8, G7 | X9, Pa1 |
| Objectifs** | 1.00% | 0.34% | 1.20% | 0.79% | 1.15% | 1.87% | 0.67% | 2.24% |
| ± 5% | 1.05% | 0.36% | 1.14% | 0.83% | 1.21% | 1.97% | 0.70% | 2.36% |
| ± 10% | 1.10% | 0.38% | 1.08% | 0.87% | 1.26% | 2.06% | 0.74% | 2.47% |
| ± 20% | 1.20% | 0.41% | 0.96% | 0.95% | 1.38% | 2.25% | 0.80% | 2.69% |
| ± 30% | 1.30% | 0.45% | 0.84% | 1.03% | 1.49% | 2.44% | 0.87% | 2.92% |
| ± 40% | 1.40% | 0.48% | 0.72% | 1.11% | 1.61% | 2.62% | 0.94% | 3.14% |
| ± 50% | 1.50% | 0.52% | 0.60% | 1.19% | 1.72% | 2.81% | 1.00% | 3.37% |
| ± 60% | 1.60% | 0.55% | 0.48% | 1.27% | 1.84% | 3.00% | 1.07% | 3.59% |
| ± 80% | 1.80% | 0.62% | 0.24% | 1.43% | 2.07% | 3.37% | 1.20% | 4.04% |
| ± 100% | 2.01% | 0.69% | 0.00% | 1.58% | 2.30% | 3.75% | 1.34% | 4.49% |
| Intervalles* | X10, Pa2 | X11, Pa3 | X12, Pa4 | X13, Pa5 | X14, Pa6 | X15, Pa7 | X16, Pa8 | X17, Pa10 | X18, Pa11 |
| Objectifs** | 1.81% | 12.56% | 0.51% | 21.48% | 6.63% | 1.42% | 0.72% | 0.35% | 0.63% |
| ± 5% | 1.90% | 11.93% | 0.54% | 20.41% | 6.30% | 1.49% | 0.76% | 0.37% | 0.60% |
| ± 10% | 1.99% | 11.30% | 0.56% | 19.67% | 5.96% | 1.56% | 0.79% | 0.39% | 0.57% |
| ± 20% | 2.17% | 10.05% | 0.61% | 18.44% | 5.30% | 1.70% | 0.87% | 0.43% | 0.50% |
| ± 30% | 2.35% | 8.79% | 0.67% | 17.22% | 4.64% | 1.84% | 0.94% | 0.46% | 0.44% |
| ± 40% | 2.53% | 7.53% | 0.72% | 15.99% | 3.98% | 1.98% | 1.01% | 0.50% | 0.38% |
| ± 50% | 2.71% | 6.28% | 0.77% | 14.76% | 3.31% | 2.13% | 1.08% | 0.53% | 0.31% |
| ± 60% | 2.89% | 5.02% | 0.82% | 13.53% | 2.65% | 2.27% | 1.15% | 0.57% | 0.25% |
| ± 80% | 3.25% | 2.51% | 0.92% | 11.07% | 1.33% | 2.55% | 1.30% | 0.64% | 0.13% |
| ± 100% | 3.61% | 0.00% | 1.02% | 8.62% | 0.00% | 2.83% | 1.44% | 0.71% | 0.00% |
| Intervalles* | X19, Pa12 | X20, Pa13 | X21, Pa14 | X22, Pa15 | X23, Pa16 | X24, Pa17 | X25, Pa18 | X26, Pa19 | X27, Pa20 |
| Objectifs** | 3.45% | 7.10% | 0.67% | 0.59% | 11.53% | 4.87% | 0.79% | 20.64% | 0.81% |
| ± 5% | 3.62% | 7.27% | 0.64% | 0.62% | 12.11% | 5.11% | 0.83% | 21.15% | 0.87% |
| ± 10% | 3.80% | 7.81% | 0.60% | 0.65% | 12.69% | 5.35% | 0.87% | 20.99% | 0.90% |
| ± 20% | 4.14% | 8.52% | 0.54% | 0.71% | 13.84% | 5.84% | 0.94% | 20.79% | 0.96% |
| ± 30% | 4.49% | 9.23% | 0.47% | 0.77% | 14.99% | 6.33% | 1.02% | 20.58% | 1.02% |
| ± 40% | 4.83% | 9.94% | 0.40% | 0.83% | 16.15% | 6.82% | 1.10% | 20.38% | 1.08% |
| ± 50% | 5.18% | 10.65% | 0.33% | 0.89% | 17.30% | 7.30% | 1.18% | 20.18% | 1.14% |
| ± 60% | 5.52% | 11.36% | 0.27% | 0.94% | 18.45% | 7.79% | 1.26% | 19.98% | 1.20% |
| ± 80% | 4.35% | 12.78% | 0.13% | 1.06% | 20.76% | 8.76% | 1.42% | 21.44% | 1.32% |
| ± 100% | 2.93% | 14.20% | 0.00% | 1.18% | 23.07% | 9.74% | 1.57% | 23.15% | 1.44% |
| Intervalles* | X28, Pp5 | X29, Pp8 | X30, Pp9 | X31, Pp11 | X32, Pp15 | X33, Pp16 | X34, Pp17 | X35, Pp18 | X36, Pp19 |
| Objectifs** | 0.20% | 0.41% | 0.11% | 0.13% | 0.29% | 4.23% | 0.59% | 0.59% | 87.61% |
| ± 5% | 0.21% | 0.43% | 0.12% | 0.14% | 0.30% | 4.45% | 0.62% | 0.56% | 87.05% |
| ± 10% | 0.22% | 0.45% | 0.13% | 0.15% | 0.32% | 4.66% | 0.65% | 0.53% | 86.49% |
| ± 20% | 0.24% | 0.49% | 0.14% | 0.16% | 0.35% | 5.08% | 0.71% | 0.47% | 85.37% |
| ± 30% | 0.26% | 0.53% | 0.15% | 0.17% | 0.37% | 5.51% | 0.77% | 0.41% | 84.25% |
| ± 40% | 0.28% | 0.57% | 0.16% | 0.19% | 0.40% | 5.93% | 0.83% | 0.35% | 83.13% |
| ± 50% | 0.30% | 0.61% | 0.17% | 0.20% | 0.43% | 6.35% | 0.89% | 0.30% | 82.01% |
| ± 60% | 0.32% | 0.65% | 0.18% | 0.21% | 0.46% | 6.78% | 0.94% | 0.24% | 80.88% |
| ± 80% | 0.36% | 0.73% | 0.21% | 0.24% | 0.52% | 7.62% | 1.06% | 0.12% | 78.64% |
| ± 100% | 0.40% | 0.81% | 0.23% | 0.27% | 0.58% | 8.47% | 1.18% | 0.00% | 76.40% |
*Les cellules grises, blanches et en gras correspondent aux opérations qui se situent respectivement aux bornes maximum, minimum et entre les bornes des intervalles.
**Objectifs de la Caisse d'Epargne du Limousin.
| Intervalles* | X2, G1 | X3, G2 | X4, G3 | X5, G4 | X6, G5 | X7, G6 | X8, G7 | X9, Pa1 |
| Objectifs** | 1.00% | 0.34% | 1.20% | 0.79% | 1.15% | 1.87% | 0.67% | 2.24% |
| ± 5% | 1.05% | 0.36% | 1.14% | 0.83% | 1.21% | 1.97% | 0.70% | 2.36% |
| ± 10% | 1.10% | 0.38% | 1.08% | 0.87% | 1.26% | 2.06% | 0.74% | 2.47% |
| ± 20% | 1.20% | 0.41% | 0.96% | 0.95% | 1.38% | 2.25% | 0.80% | 2.69% |
| ± 30% | 1.30% | 0.45% | 0.84% | 1.03% | 1.49% | 2.44% | 0.87% | 2.92% |
| ± 40% | 1.40% | 0.48% | 0.72% | 1.11% | 1.61% | 2.62% | 0.94% | 3.14% |
| ± 50% | 1.50% | 0.52% | 0.60% | 1.19% | 1.72% | 2.81% | 1.00% | 3.37% |
| ± 60% | 1.60% | 0.55% | 0.48% | 1.27% | 1.84% | 3.00% | 1.07% | 3.59% |
| ± 80% | 1.80% | 0.62% | 0.24% | 1.43% | 2.07% | 3.37% | 1.20% | 4.04% |
| ± 100% | 2.01% | 0.69% | 0.00% | 1.58% | 2.30% | 3.75% | 1.34% | 4.49% |
| Intervalles* | X10, Pa2 | X11, Pa3 | X12, Pa4 | X13, Pa5 | X14, Pa6 | X15, Pa7 | X16, Pa8 | X17, Pa10 | X18, Pa11 |
| Objectifs** | 1.81% | 12.56% | 0.51% | 21.48% | 6.63% | 1.42% | 0.72% | 0.35% | 0.63% |
| ± 5% | 1.90% | 11.93% | 0.54% | 20.41% | 6.30% | 1.49% | 0.76% | 0.37% | 0.60% |
| ± 10% | 1.99% | 11.30% | 0.56% | 19.67% | 5.96% | 1.56% | 0.79% | 0.39% | 0.57% |
| ± 20% | 2.17% | 10.05% | 0.61% | 18.44% | 5.30% | 1.70% | 0.87% | 0.43% | 0.50% |
| ± 30% | 2.35% | 8.79% | 0.67% | 17.22% | 4.64% | 1.84% | 0.94% | 0.46% | 0.44% |
| ± 40% | 2.53% | 7.53% | 0.72% | 15.99% | 3.98% | 1.98% | 1.01% | 0.50% | 0.38% |
| ± 50% | 2.71% | 6.28% | 0.77% | 14.76% | 3.31% | 2.13% | 1.08% | 0.53% | 0.31% |
| ± 60% | 2.89% | 5.02% | 0.82% | 13.53% | 2.65% | 2.27% | 1.15% | 0.57% | 0.25% |
| ± 80% | 3.25% | 2.51% | 0.92% | 11.07% | 1.33% | 2.55% | 1.30% | 0.64% | 0.13% |
| ± 100% | 3.61% | 0.00% | 1.02% | 8.62% | 0.00% | 2.83% | 1.44% | 0.71% | 0.00% |
| Intervalles* | X19, Pa12 | X20, Pa13 | X21, Pa14 | X22, Pa15 | X23, Pa16 | X24, Pa17 | X25, Pa18 | X26, Pa19 | X27, Pa20 |
| Objectifs** | 3.45% | 7.10% | 0.67% | 0.59% | 11.53% | 4.87% | 0.79% | 20.64% | 0.81% |
| ± 5% | 3.62% | 7.27% | 0.64% | 0.62% | 12.11% | 5.11% | 0.83% | 21.15% | 0.87% |
| ± 10% | 3.80% | 7.81% | 0.60% | 0.65% | 12.69% | 5.35% | 0.87% | 20.99% | 0.90% |
| ± 20% | 4.14% | 8.52% | 0.54% | 0.71% | 13.84% | 5.84% | 0.94% | 20.79% | 0.96% |
| ± 30% | 4.49% | 9.23% | 0.47% | 0.77% | 14.99% | 6.33% | 1.02% | 20.58% | 1.02% |
| ± 40% | 4.83% | 9.94% | 0.40% | 0.83% | 16.15% | 6.82% | 1.10% | 20.38% | 1.08% |
| ± 50% | 5.18% | 10.65% | 0.33% | 0.89% | 17.30% | 7.30% | 1.18% | 20.18% | 1.14% |
| ± 60% | 5.48% | 11.36% | 0.27% | 0.94% | 18.45% | 7.79% | 1.26% | 20.03% | 1.20% |
| ± 80% | 4.05% | 12.78% | 0.13% | 1.06% | 20.76% | 8.76% | 1.42% | 21.74% | 1.32% |
| ± 100% | 2.63% | 14.20% | 0.00% | 1.18% | 23.07% | 9.74% | 1.57% | 23.45% | 1.44% |
| Intervalles* | X28, Pp5 | X29, Pp8 | X30, Pp9 | X31, Pp11 | X32, Pp15 | X33, Pp16 | X34, Pp17 | X35, Pp18 | X36, Pp19 |
| Objectifs** | 0.20% | 0.41% | 0.11% | 0.13% | 0.29% | 4.23% | 0.59% | 0.59% | 87.61% |
| ± 5% | 0.21% | 0.43% | 0.12% | 0.14% | 0.30% | 4.45% | 0.62% | 0.56% | 87.05% |
| ± 10% | 0.22% | 0.45% | 0.13% | 0.15% | 0.32% | 4.66% | 0.65% | 0.53% | 86.49% |
| ± 20% | 0.24% | 0.49% | 0.14% | 0.16% | 0.35% | 5.08% | 0.71% | 0.47% | 85.37% |
| ± 30% | 0.26% | 0.53% | 0.15% | 0.17% | 0.37% | 5.51% | 0.77% | 0.41% | 84.25% |
| ± 40% | 0.28% | 0.57% | 0.16% | 0.19% | 0.40% | 5.93% | 0.83% | 0.35% | 83.13% |
| ± 50% | 0.30% | 0.61% | 0.17% | 0.20% | 0.43% | 6.35% | 0.89% | 0.30% | 82.01% |
| ± 60% | 0.32% | 0.65% | 0.18% | 0.21% | 0.46% | 6.78% | 0.94% | 0.24% | 80.88% |
| ± 80% | 0.36% | 0.73% | 0.21% | 0.24% | 0.52% | 7.62% | 1.06% | 0.12% | 78.64% |
| ± 100% | 0.40% | 0.81% | 0.23% | 0.27% | 0.58% | 8.47% | 1.18% | 0.00% | 76.40% |
*Les cellules grises, blanches et en gras correspondent aux opérations qui se situent respectivement aux bornes maximum, minimum et entre les bornes des intervalles.
**Objectifs de la Caisse d'Epargne du Limousin.
| Intervalles* | X2, G1 | X3, G2 | X4, G3 | X5, G4 | X6, G5 | X7, G6 | X8, G7 | X9, Pa1 |
| Objectifs** | 1.00% | 0.34% | 1.20% | 0.79% | 1.15% | 1.87% | 0.67% | 2.24% |
| ± 5% | 0.95% | 0.33% | 1.26% | 0.75% | 1.21% | 1.78% | 0.63% | 2.36% |
| ± 10% | 0.90% | 0.31% | 1.33% | 0.71% | 1.26% | 1.69% | 0.60% | 2.47% |
| ± 20% | 0.80% | 0.27% | 1.45% | 0.63% | 1.38% | 1.50% | 0.53% | 2.69% |
| ± 30% | 0.70% | 0.24% | 1.57% | 0.55% | 1.49% | 1.31% | 0.47% | 2.92% |
| ± 40% | 0.60% | 0.21% | 1.69% | 0.48% | 1.61% | 1.12% | 0.40% | 3.14% |
| ± 50% | 0.50% | 0.17% | 1.81% | 0.40% | 1.72% | 0.94% | 0.33% | 3.37% |
| ± 60% | 0.40% | 0.14% | 1.93% | 0.32% | 1.84% | 0.75% | 0.27% | 3.59% |
| ± 80% | 0.25% | 0.07% | 2.17% | 0.16% | 2.07% | 0.37% | 0.13% | 4.04% |
| ± 100% | 2.01% | 0.00% | 2.41% | 0.00% | 2.30% | 0.00% | 0.00% | 4.49% |
| Intervalles* | X10, Pa2 | X11, Pa3 | X12, Pa4 | X13, Pa5 | X14, Pa6 | X15, Pa7 | X16, Pa8 | X17, Pa10 | X18, Pa11 |
| Objectifs** | 1.81% | 12.56% | 0.51% | 21.48% | 6.63% | 1.42% | 0.72% | 0.35% | 0.63% |
| ± 5% | 1.90% | 12.12% | 0.54% | 22.30% | 6.30% | 1.35% | 0.76% | 0.37% | 0.66% |
| ± 10% | 1.99% | 11.30% | 0.56% | 23.53% | 5.96% | 1.28% | 0.79% | 0.39% | 0.69% |
| ± 20% | 2.17% | 10.05% | 0.61% | 25.72% | 5.30% | 1.13% | 0.87% | 0.43% | 0.76% |
| ± 30% | 2.35% | 8.79% | 0.67% | 27.92% | 4.64% | 0.99% | 0.94% | 0.46% | 0.82% |
| ± 40% | 2.53% | 7.53% | 0.72% | 30.07% | 3.98% | 0.85% | 1.01% | 0.50% | 0.88% |
| ± 50% | 2.71% | 6.28% | 0.77% | 32.22% | 3.31% | 0.71% | 1.08% | 0.53% | 0.94% |
| ± 60% | 2.89% | 5.02% | 0.82% | 34.37% | 2.65% | 0.57% | 1.15% | 0.57% | 1.01% |
| ± 80% | 3.25% | 3.94% | 0.92% | 38.66% | 1.33% | 0.28% | 1.30% | 0.64% | 1.13% |
| ± 100% | 3.61% | 4.00% | 1.02% | 42.96% | 0.00% | 0.00% | 1.44% | 0.71% | 1.26% |
| Intervalles* | X19, Pa12 | X20, Pa13 | X21, Pa14 | X22, Pa15 | X23, Pa16 | X24, Pa17 | X25, Pa18 | X26, Pa19 | X27, Pa20 |
| Objectifs** | 3.45% | 7.10% | 0.67% | 0.59% | 11.53% | 4.87% | 0.79% | 20.64% | 0.81% |
| ± 5% | 3.28% | 6.74% | 0.64% | 0.62% | 10.96% | 4.62% | 0.75% | 21.67% | 0.82% |
| ± 10% | 3.11% | 6.39% | 0.60% | 0.65% | 10.38% | 4.38% | 0.71% | 22.70% | 0.79% |
| ± 20% | 2.76% | 5.68% | 0.54% | 0.71% | 9.23% | 3.89% | 0.63% | 24.65% | 0.75% |
| ± 30% | 2.42% | 4.97% | 0.47% | 0.77% | 8.26% | 3.41% | 0.55% | 26.40% | 0.70% |
| ± 40% | 2.07% | 4.26% | 0.40% | 0.83% | 7.35% | 2.92% | 0.47% | 28.15% | 0.65% |
| ± 50% | 1.73% | 3.55% | 0.33% | 0.89% | 8.01% | 2.43% | 0.39% | 28.33% | 0.61% |
| ± 60% | 1.38% | 2.84% | 0.27% | 0.94% | 7.57% | 1.95% | 0.31% | 29.62% | 0.56% |
| ± 80% | 0.69% | 1.42% | 0.13% | 1.06% | 6.42% | 0.97% | 0.16% | 31.00% | 0.49% |
| ± 100% | 0.00% | 0.00% | 0.00% | 1.18% | 5.27% | 0.00% | 0.00% | 31.25% | 0.40% |
| Intervalles* | X28, Pp5 | X29, Pp8 | X30, Pp9 | X31, Pp11 | X32, Pp15 | X33, Pp16 | X34, Pp17 | X35, Pp18 | X36, Pp19 |
| Objectifs** | 0.20% | 0.41% | 0.11% | 0.13% | 0.29% | 4.23% | 0.59% | 0.59% | 87.61% |
| ± 5% | 0.19% | 0.39% | 0.12% | 0.13% | 0.30% | 4.02% | 0.56% | 0.56% | 88.07% |
| ± 10% | 0.18% | 0.37% | 0.12% | 0.12% | 0.32% | 3.81% | 0.53% | 0.53% | 88.55% |
| ± 20% | 0.16% | 0.33% | 0.09% | 0.11% | 0.35% | 3.39% | 0.47% | 0.47% | 89.51% |
| ± 30% | 0.14% | 0.29% | 0.08% | 0.09% | 0.37% | 2.96% | 0.41% | 0.41% | 90.46% |
| ± 40% | 0.12% | 0.24% | 0.07% | 0.08% | 0.40% | 2.54% | 0.35% | 0.35% | 91.42% |
| ± 50% | 0.10% | 0.20% | 0.16% | 0.07% | 0.43% | 2.12% | 0.30% | 0.30% | 92.26% |
| ± 60% | 0.08% | 0.16% | 0.18% | 0.05% | 0.46% | 1.69% | 0.24% | 0.24% | 93.18% |
| ± 80% | 0.36% | 0.08% | 0.21% | 0.03% | 0.52% | 0.85% | 0.12% | 0.12% | 94.66% |
| ± 100% | 0.40% | 0.00% | 0.23% | 0.00% | 0.58% | 0.00% | 0.00% | 0.00% | 94.49% |
*Les cellules grises, blanches et en gras correspondent aux opérations qui se situent respectivement aux bornes maximum, minimum et entre les bornes des intervalles.
**Objectifs de la Caisse d'Epargne du Limousin.
| Intervalles* | X2, G1 | X3, G2 | X4, G3 | X5, G4 | X6, G5 | X7, G6 | X8, G7 | X9, Pa1 |
| Objectifs** | 1.00% | 0.34% | 1.20% | 0.79% | 1.15% | 1.87% | 0.67% | 2.24% |
| ± 5% | 0.95% | 0.36% | 1.26% | 0.83% | 1.21% | 1.78% | 0.70% | 2.23% |
| ± 10% | 0.90% | 0.34% | 1.33% | 0.87% | 1.26% | 1.69% | 0.74% | 2.02% |
| ± 20% | 0.80% | 0.27% | 1.45% | 0.93% | 1.38% | 1.50% | 0.80% | 1.80% |
| ± 30% | 0.70% | 0.24% | 1.57% | 0.77% | 1.49% | 1.31% | 0.87% | 1.57% |
| ± 40% | 0.60% | 0.21% | 1.69% | 0.48% | 1.61% | 1.12% | 0.94% | 1.35% |
| ± 50% | 0.50% | 0.18% | 1.81% | 0.40% | 1.72% | 0.94% | 1.00% | 1.12% |
| ± 60% | 1.60% | 0.14% | 1.93% | 0.32% | 1.84% | 0.75% | 1.07% | 0.90% |
| ± 80% | 1.80% | 0.13% | 2.17% | 0.16% | 2.07% | 0.37% | 1.20% | 0.45% |
| ± 100% | 2.01% | 0.19% | 2.41% | 0.00% | 2.30% | 0.00% | 1.34% | 0.00% |
| Intervalles* | X10, Pa2 | X11, Pa3 | X12, Pa4 | X13, Pa5 | X14, Pa6 | X15, Pa7 | X16, Pa8 | X17, Pa10 | X18, Pa11 |
| Objectifs** | 1.81% | 12.56% | 0.51% | 21.48% | 6.63% | 1.42% | 0.72% | 0.35% | 0.63% |
| ± 5% | 1.90% | 11.93% | 0.54% | 22.02% | 6.30% | 1.35% | 0.76% | 0.37% | 0.66% |
| ± 10% | 1.99% | 11.30% | 0.56% | 22.93% | 5.96% | 1.28% | 0.79% | 0.39% | 0.69% |
| ± 20% | 2.17% | 10.05% | 0.61% | 22.30% | 5.30% | 1.13% | 0.87% | 0.43% | 0.76% |
| ± 30% | 2.35% | 8.79% | 0.67% | 21.57% | 4.64% | 0.99% | 0.94% | 0.46% | 0.82% |
| ± 40% | 2.53% | 7.53% | 0.72% | 21.24% | 3.98% | 0.85% | 1.01% | 0.50% | 0.88% |
| ± 50% | 2.71% | 6.28% | 0.77% | 20.57% | 3.31% | 0.71% | 1.08% | 0.53% | 0.94% |
| ± 60% | 2.89% | 5.02% | 0.82% | 21.28% | 2.65% | 0.57% | 1.15% | 0.57% | 0.96% |
| ± 80% | 3.25% | 2.51% | 0.92% | 21.02% | 1.33% | 0.28% | 1.30% | 0.64% | 0.63% |
| ± 100% | 3.61% | 0.00% | 1.02% | 20.84% | 0.00% | 0.00% | 1.44% | 0.71% | 0.00% |
| Intervalles* | X19, Pa12 | X20, Pa13 | X21, Pa14 | X22, Pa15 | X23, Pa16 | X24, Pa17 | X25, Pa18 | X26, Pa19 | X27, Pa20 |
| Objectifs** | 3.45% | 7.10% | 0.67% | 0.59% | 11.53% | 4.87% | 0.79% | 20.64% | 0.81% |
| ± 5% | 3.28% | 6.74% | 0.64% | 0.62% | 10.96% | 5.11% | 0.83% | 21.67% | 0.85% |
| ± 10% | 3.11% | 6.39% | 0.60% | 0.65% | 10.38% | 5.35% | 0.71% | 22.70% | 0.86% |
| ± 20% | 2.76% | 5.68% | 0.54% | 0.71% | 11.35% | 5.84% | 0.63% | 24.77% | 0.88% |
| ± 30% | 2.42% | 4.97% | 0.47% | 0.77% | 12.85% | 5.99% | 0.55% | 26.83% | 0.80% |
| ± 40% | 2.07% | 4.26% | 0.40% | 0.83% | 14.21% | 5.91% | 0.47% | 28.90% | 0.68% |
| ± 50% | 1.73% | 3.55% | 0.33% | 0.89% | 15.76% | 5.91% | 0.39% | 30.96% | 0.64% |
| ± 60% | 1.38% | 2.84% | 0.27% | 0.94% | 16.46% | 5.43% | 0.31% | 33.02% | 0.61% |
| ± 80% | 0.69% | 1.42% | 0.13% | 1.06% | 18.91% | 5.45% | 0.16% | 37.15% | 0.53% |
| ± 100% | 0.00% | 0.00% | 0.00% | 1.18% | 21.55% | 5.50% | 0.00% | 41.28% | 0.45% |
| Intervalles* | X28, Pp5 | X29, Pp8 | X30, Pp9 | X31, Pp11 | X32, Pp15 | X33, Pp16 | X34, Pp17 | X35, Pp18 | X36, Pp19 |
| Objectifs** | 0.20% | 0.41% | 0.11% | 0.13% | 0.29% | 4.23% | 0.59% | 0.59% | 87.61% |
| ± 5% | 0.19% | 0.39% | 0.12% | 0.13% | 0.27% | 4.02% | 0.56% | 0.56% | 87.92% |
| ± 10% | 0.18% | 0.37% | 0.13% | 0.12% | 0.26% | 3.81% | 0.53% | 0.53% | 88.27% |
| ± 20% | 0.16% | 0.33% | 0.14% | 0.11% | 0.23% | 3.39% | 0.47% | 0.47% | 89.01% |
| ± 30% | 0.14% | 0.29% | 0.15% | 0.09% | 0.20% | 2.96% | 0.41% | 0.41% | 89.95% |
| ± 40% | 0.12% | 0.24% | 0.16% | 0.08% | 0.40% | 2.54% | 0.35% | 0.35% | 90.78% |
| ± 50% | 0.10% | 0.20% | 0.17% | 0.07% | 0.43% | 2.12% | 0.30% | 0.30% | 91.58% |
| ± 60% | 0.08% | 0.16% | 0.18% | 0.05% | 0.46% | 1.69% | 0.24% | 0.24% | 91.18% |
| ± 80% | 0.04% | 0.08% | 0.21% | 0.03% | 0.52% | 0.85% | 0.12% | 0.12% | 92.30% |
| ± 100% | 0.00% | 0.00% | 0.23% | 0.00% | 0.58% | 0.00% | 0.00% | 0.00% | 93.36% |
*Les cellules grises, blanches et en gras correspondent aux opérations qui se situent respectivement aux bornes maximum, minimum et entre les bornes des intervalles.
**Objectifs de la Caisse d'Epargne du Limousin.
| Intervalles* | X2, G1 | X3, G2 | X4, G3 | X5, G4 | X6, G5 | X7, G6 | X8, G7 | X9, Pa1 |
| Objectifs** | 1.00% | 0.34% | 1.20% | 0.79% | 1.15% | 1.87% | 0.67% | 2.24% |
| ± 5% | 0.95% | 0.36% | 1.26% | 0.83% | 1.21% | 1.78% | 0.70% | 2.13% |
| ± 10% | 0.90% | 0.38% | 1.33% | 0.87% | 1.26% | 1.69% | 0.74% | 2.02% |
| ± 20% | 0.80% | 0.41% | 1.45% | 0.95% | 1.38% | 1.50% | 0.80% | 1.80% |
| ± 30% | 0.70% | 0.45% | 1.57% | 1.03% | 1.49% | 1.31% | 0.87% | 1.57% |
| ± 40% | 1.20% | 0.48% | 1.50% | 1.11% | 1.61% | 1.12% | 0.94% | 1.35% |
| ± 50% | 1.50% | 0.52% | 1.44% | 1.19% | 1.72% | 0.94% | 1.00% | 1.12% |
| ± 60% | 1.60% | 0.55% | 1.38% | 1.27% | 1.84% | 0.75% | 1.07% | 0.90% |
| ± 80% | 1.80% | 0.62% | 1.25% | 1.43% | 2.07% | 0.37% | 1.20% | 0.45% |
| ± 100% | 2.01% | 0.69% | 0.48% | 1.58% | 2.30% | 0.00% | 1.34% | 0.00% |
| Intervalles* | X10, Pa2 | X11, Pa3 | X12, Pa4 | X13, Pa5 | X14, Pa6 | X15, Pa7 | X16, Pa8 | X17, Pa10 | X18, Pa11 |
| Objectifs** | 1.81% | 12.56% | 0.51% | 21.48% | 6.63% | 1.42% | 0.72% | 0.35% | 0.63% |
| ± 5% | 1.83% | 11.93% | 0.54% | 21.97% | 6.30% | 1.49% | 0.76% | 0.37% | 0.66% |
| ± 10% | 1.63% | 11.30% | 0.56% | 20.51% | 5.96% | 1.47% | 0.79% | 0.39% | 0.69% |
| ± 20% | 1.45% | 10.05% | 0.61% | 20.28% | 5.30% | 1.13% | 0.87% | 0.43% | 0.69% |
| ± 30% | 1.26% | 8.79% | 0.67% | 19.97% | 4.64% | 0.99% | 0.94% | 0.46% | 0.44% |
| ± 40% | 1.08% | 7.53% | 0.72% | 19.66% | 3.98% | 0.85% | 1.01% | 0.50% | 0.38% |
| ± 50% | 0.90% | 6.28% | 0.77% | 19.35% | 3.31% | 0.71% | 1.08% | 0.53% | 0.31% |
| ± 60% | 0.72% | 5.02% | 0.82% | 19.04% | 2.65% | 0.57% | 1.15% | 0.57% | 0.25% |
| ± 80% | 0.36% | 2.51% | 0.92% | 18.42% | 1.33% | 0.28% | 1.30% | 0.64% | 0.13% |
| ± 100% | 0.00% | 0.00% | 1.02% | 17.80% | 0.00% | 0.65% | 1.44% | 0.71% | 0.00% |
| Intervalles* | X19, Pa12 | X20, Pa13 | X21, Pa14 | X22, Pa15 | X23, Pa16 | X24, Pa17 | X25, Pa18 | X26, Pa19 | X27, Pa20 |
| Objectifs** | 3.45% | 7.10% | 0.67% | 0.59% | 11.53% | 4.87% | 0.79% | 20.64% | 0.81% |
| ± 5% | 3.28% | 6.74% | 0.70% | 0.62% | 10.96% | 5.11% | 0.83% | 21.67% | 0.85% |
| ± 10% | 3.11% | 6.39% | 0.74% | 0.65% | 12.69% | 5.35% | 0.87% | 22.70% | 0.86% |
| ± 20% | 2.76% | 5.68% | 0.54% | 0.71% | 13.84% | 5.84% | 0.94% | 24.77% | 0.88% |
| ± 30% | 2.42% | 4.97% | 0.47% | 0.77% | 14.99% | 6.33% | 1.02% | 26.83% | 0.90% |
| ± 40% | 2.07% | 4.26% | 0.40% | 0.83% | 16.15% | 6.82% | 1.10% | 28.90% | 0.92% |
| ± 50% | 1.73% | 3.55% | 0.33% | 0.89% | 17.30% | 7.30% | 1.18% | 30.96% | 0.95% |
| ± 60% | 1.38% | 2.84% | 0.27% | 0.94% | 18.45% | 7.79% | 1.26% | 33.02% | 0.97% |
| ± 80% | 0.69% | 1.42% | 0.13% | 1.06% | 20.76% | 8.76% | 1.42% | 37.15% | 1.01% |
| ± 100% | 0.00% | 0.00% | 0.00% | 1.18% | 23.07% | 9.74% | 1.57% | 41.28% | 1.06% |
| Intervalles* | X28, Pp5 | X29, Pp8 | X30, Pp9 | X31, Pp11 | X32, Pp15 | X33, Pp16 | X34, Pp17 | X35, Pp18 | X36, Pp19 |
| Objectifs** | 0.20% | 0.41% | 0.11% | 0.13% | 0.29% | 4.23% | 0.59% | 0.59% | 87.61% |
| ± 5% | 0.19% | 0.39% | 0.12% | 0.13% | 0.27% | 4.02% | 0.56% | 0.56% | 87.92% |
| ± 10% | 0.18% | 0.37% | 0.13% | 0.12% | 0.26% | 3.81% | 0.53% | 0.53% | 88.24% |
| ± 20% | 0.16% | 0.33% | 0.14% | 0.11% | 0.23% | 3.39% | 0.47% | 0.47% | 88.86% |
| ± 30% | 0.14% | 0.29% | 0.15% | 0.09% | 0.20% | 2.96% | 0.41% | 0.41% | 89.49% |
| ± 40% | 0.12% | 0.24% | 0.16% | 0.08% | 0.17% | 2.54% | 0.35% | 0.35% | 89.52% |
| ± 50% | 0.10% | 0.20% | 0.17% | 0.07% | 0.14% | 2.12% | 0.30% | 0.30% | 89.74% |
| ± 60% | 0.08% | 0.16% | 0.18% | 0.05% | 0.12% | 1.69% | 0.24% | 0.24% | 90.16% |
| ± 80% | 0.04% | 0.08% | 0.21% | 0.03% | 0.06% | 0.85% | 0.12% | 0.12% | 91.01% |
| ± 100% | 0.00% | 0.00% | 0.23% | 0.00% | 0.45% | 0.00% | 0.00% | 0.00% | 91.41% |
*Les cellules grises, blanches et en gras correspondent aux opérations qui se situent respectivement aux bornes maximum, minimum et entre les bornes des intervalles.
**Objectifs de la Caisse d'Epargne du Limousin.
| Intervalles* | X2, G1 | X3, G2 | X4, G3 | X5, G4 | X6, G5 | X7, G6 | X8, G7 | X9, Pa1 |
| Objectifs** | 1.00% | 0.34% | 1.20% | 0.79% | 1.15% | 1.87% | 0.67% | 2.24% |
| ± 5% | 1.05% | 0.36% | 1.26% | 0.75% | 1.21% | 1.97% | 0.63% | 2.36% |
| ± 10% | 1.10% | 0.38% | 1.33% | 0.71% | 1.26% | 2.06% | 0.60% | 2.47% |
| ± 20% | 1.20% | 0.41% | 1.45% | 0.63% | 1.38% | 2.25% | 0.53% | 2.69% |
| ± 30% | 1.30% | 0.45% | 1.57% | 0.55% | 1.49% | 2.44% | 0.47% | 2.92% |
| ± 40% | 1.40% | 0.48% | 1.69% | 0.48% | 1.61% | 2.62% | 0.40% | 3.14% |
| ± 50% | 1.50% | 0.52% | 1.81% | 0.40% | 1.72% | 2.81% | 0.33% | 3.37% |
| ± 60% | 1.60% | 0.55% | 1.93% | 0.32% | 1.84% | 3.00% | 0.27% | 3.59% |
| ± 80% | 1.80% | 0.62% | 2.17% | 0.16% | 2.07% | 3.37% | 0.13% | 4.04% |
| ± 100% | 2.01% | 0.69% | 2.41% | 0.00% | 2.30% | 3.75% | 0.00% | 4.49% |
| Intervalles* | X10, Pa2 | X11, Pa3 | X12, Pa4 | X13, Pa5 | X14, Pa6 | X15, Pa7 | X16, Pa8 | X17, Pa10 | X18, Pa11 |
| Objectifs** | 1.81% | 12.56% | 0.51% | 21.48% | 6.63% | 1.42% | 0.72% | 0.35% | 0.63% |
| ± 5% | 1.90% | 13.19% | 0.54% | 22.02% | 6.30% | 1.35% | 0.76% | 0.37% | 0.66% |
| ± 10% | 1.99% | 13.81% | 0.56% | 23.13% | 5.96% | 1.28% | 0.79% | 0.39% | 0.69% |
| ± 20% | 2.17% | 15.07% | 0.61% | 25.37% | 5.30% | 1.13% | 0.87% | 0.43% | 0.76% |
| ± 30% | 2.35% | 16.32% | 0.67% | 27.60% | 4.64% | 0.99% | 0.94% | 0.46% | 0.82% |
| ± 40% | 2.53% | 17.58% | 0.72% | 29.83% | 3.98% | 0.85% | 1.01% | 0.50% | 0.88% |
| ± 50% | 2.71% | 18.84% | 0.77% | 32.06% | 3.31% | 0.71% | 1.08% | 0.53% | 0.94% |
| ± 60% | 2.89% | 20.09% | 0.82% | 34.29% | 2.65% | 0.57% | 1.15% | 0.57% | 1.01% |
| ± 80% | 3.25% | 22.60% | 0.92% | 38.66% | 1.43% | 0.28% | 1.30% | 0.64% | 1.13% |
| ± 100% | 3.61% | 25.11% | 1.02% | 42.96% | 0.30% | 0.00% | 1.44% | 0.71% | 1.26% |
| Intervalles* | X19, Pa12 | X20, Pa13 | X21, Pa14 | X22, Pa15 | X23, Pa16 | X24, Pa17 | X25, Pa18 | X26, Pa19 | X27, Pa20 |
| Objectifs** | 3.45% | 7.10% | 0.67% | 0.59% | 11.53% | 4.87% | 0.79% | 20.64% | 0.81% |
| ± 5% | 3.28% | 7.45% | 0.64% | 0.62% | 10.96% | 4.62% | 0.75% | 20.16% | 0.83% |
| ± 10% | 3.11% | 7.81% | 0.60% | 0.65% | 10.38% | 4.38% | 0.71% | 19.13% | 0.83% |
| ± 20% | 2.76% | 8.52% | 0.54% | 0.71% | 9.23% | 3.89% | 0.63% | 17.07% | 0.82% |
| ± 30% | 2.42% | 9.23% | 0.47% | 0.77% | 8.07% | 3.41% | 0.55% | 15.01% | 0.81% |
| ± 40% | 2.07% | 9.94% | 0.40% | 0.83% | 6.92% | 2.92% | 0.47% | 12.95% | 0.81% |
| ± 50% | 1.73% | 10.65% | 0.33% | 0.89% | 5.77% | 2.43% | 0.39% | 10.89% | 0.80% |
| ± 60% | 1.38% | 11.36% | 0.27% | 0.94% | 4.61% | 1.95% | 0.31% | 8.83% | 0.79% |
| ± 80% | 0.69% | 12.78% | 0.13% | 1.06% | 2.31% | 0.97% | 0.16% | 4.69% | 0.77% |
| ± 100% | 0.00% | 14.20% | 0.00% | 1.18% | 0.00% | 0.00% | 0.00% | 0.54% | 0.76% |
| Intervalles* | X28, Pp5 | X29, Pp8 | X30, Pp9 | X31, Pp11 | X32, Pp15 | X33, Pp16 | X34, Pp17 | X35, Pp18 | X36, Pp19 |
| Objectifs** | 0.20% | 0.41% | 0.11% | 0.13% | 0.29% | 4.23% | 0.59% | 0.59% | 87.61% |
| ± 5% | 0.21% | 0.43% | 0.12% | 0.14% | 0.30% | 4.45% | 0.56% | 0.62% | 87.20% |
| ± 10% | 0.22% | 0.45% | 0.13% | 0.15% | 0.32% | 4.66% | 0.53% | 0.65% | 86.78% |
| ± 20% | 0.24% | 0.49% | 0.14% | 0.16% | 0.35% | 5.08% | 0.47% | 0.71% | 85.95% |
| ± 30% | 0.26% | 0.53% | 0.15% | 0.17% | 0.37% | 5.51% | 0.41% | 0.77% | 85.12% |
| ± 40% | 0.28% | 0.57% | 0.16% | 0.19% | 0.40% | 5.93% | 0.35% | 0.83% | 84.29% |
| ± 50% | 0.30% | 0.61% | 0.17% | 0.20% | 0.43% | 6.35% | 0.30% | 0.89% | 83.47% |
| ± 60% | 0.32% | 0.65% | 0.18% | 0.21% | 0.46% | 6.78% | 0.24% | 0.94% | 82.64% |
| ± 80% | 0.36% | 0.73% | 0.21% | 0.24% | 0.52% | 7.62% | 0.12% | 1.06% | 80.98% |
| ± 100% | 0.40% | 0.81% | 0.23% | 0.27% | 0.58% | 8.47% | 0.00% | 1.18% | 79.32% |
*Les cellules grises, blanches et en gras correspondent aux opérations qui se situent respectivement aux bornes maximum, minimum et entre les bornes des intervalles.
**Objectifs de la Caisse d'Epargne du Limousin.
| Intervalles* | X2, G1 | X3, G2 | X4, G3 | X5, G4 | X6, G5 | X7, G6 | X8, G7 | X9, Pa1 |
| Objectifs** | 1.00% | 0.34% | 1.20% | 0.79% | 1.15% | 1.87% | 0.67% | 2.24% |
| ± 5% | 1.05% | 0.36% | 1.26% | 0.83% | 1.21% | 1.97% | 0.70% | 2.36% |
| ± 10% | 1.10% | 0.38% | 1.33% | 0.87% | 1.26% | 2.06% | 0.74% | 2.47% |
| ± 20% | 1.20% | 0.41% | 1.45% | 0.95% | 1.38% | 2.25% | 0.80% | 2.69% |
| ± 30% | 1.30% | 0.45% | 1.57% | 1.03% | 1.49% | 2.44% | 0.87% | 2.92% |
| ± 40% | 1.40% | 0.48% | 1.69% | 1.11% | 1.61% | 2.62% | 0.94% | 3.14% |
| ± 50% | 1.50% | 0.52% | 1.81% | 1.19% | 1.72% | 2.81% | 1.00% | 3.37% |
| ± 60% | 1.60% | 0.55% | 1.93% | 1.27% | 1.84% | 3.00% | 1.07% | 3.59% |
| ± 80% | 1.80% | 0.62% | 2.17% | 1.43% | 2.07% | 3.37% | 1.20% | 4.04% |
| ± 100% | 2.01% | 0.69% | 2.41% | 1.58% | 2.30% | 3.75% | 1.34% | 4.49% |
| Intervalles* | X10, Pa2 | X11, Pa3 | X12, Pa4 | X13, Pa5 | X14, Pa6 | X15, Pa7 | X16, Pa8 | X17, Pa10 | X18, Pa11 |
| Objectifs** | 1.81% | 12.56% | 0.51% | 21.48% | 6.63% | 1.42% | 0.72% | 0.35% | 0.63% |
| ± 5% | 1.90% | 13.19% | 0.54% | 20.41% | 6.30% | 1.49% | 0.76% | 0.37% | 0.66% |
| ± 10% | 1.99% | 13.81% | 0.56% | 19.67% | 5.96% | 1.56% | 0.79% | 0.39% | 0.69% |
| ± 20% | 2.17% | 15.07% | 0.61% | 18.44% | 5.30% | 1.60% | 0.87% | 0.43% | 0.76% |
| ± 30% | 2.35% | 16.32% | 0.67% | 17.22% | 4.64% | 1.41% | 0.94% | 0.46% | 0.82% |
| ± 40% | 2.53% | 17.58% | 0.72% | 15.99% | 3.98% | 1.23% | 1.01% | 0.50% | 0.88% |
| ± 50% | 2.71% | 18.84% | 0.77% | 14.76% | 3.31% | 1.05% | 1.08% | 0.53% | 0.94% |
| ± 60% | 2.89% | 20.09% | 0.82% | 13.53% | 2.65% | 0.86% | 1.15% | 0.57% | 1.01% |
| ± 80% | 3.25% | 22.60% | 0.92% | 11.07% | 1.33% | 0.28% | 1.30% | 0.64% | 1.13% |
| ± 100% | 3.61% | 25.11% | 1.02% | 8.62% | 0.00% | 0.00% | 1.44% | 0.71% | 1.26% |
| Intervalles* | X19, Pa12 | X20, Pa13 | X21, Pa14 | X22, Pa15 | X23, Pa16 | X24, Pa17 | X25, Pa18 | X26, Pa19 | X27, Pa20 |
| Objectifs** | 3.45% | 7.10% | 0.67% | 0.59% | 11.53% | 4.87% | 0.79% | 20.64% | 0.81% |
| ± 5% | 3.62% | 7.45% | 0.64% | 0.62% | 12.11% | 4.99% | 0.83% | 19.66% | 0.87% |
| ± 10% | 3.33% | 7.81% | 0.60% | 0.65% | 12.69% | 5.35% | 0.87% | 18.58% | 0.90% |
| ± 20% | 2.76% | 8.52% | 0.54% | 0.71% | 13.84% | 5.84% | 0.94% | 16.51% | 0.96% |
| ± 30% | 2.42% | 9.23% | 0.47% | 0.77% | 14.99% | 6.33% | 1.02% | 14.45% | 1.02% |
| ± 40% | 2.07% | 9.94% | 0.40% | 0.83% | 16.15% | 6.82% | 1.10% | 12.38% | 1.08% |
| ± 50% | 1.73% | 10.65% | 0.33% | 0.89% | 17.30% | 7.30% | 1.18% | 10.32% | 1.14% |
| ± 60% | 1.38% | 11.36% | 0.27% | 0.94% | 18.45% | 7.79% | 1.26% | 8.26% | 1.20% |
| ± 80% | 0.69% | 12.78% | 0.13% | 1.06% | 20.76% | 8.76% | 1.42% | 4.34% | 1.32% |
| ± 100% | 0.00% | 14.20% | 0.00% | 1.18% | 23.07% | 9.74% | 1.57% | 0.13% | 1.44% |
| Intervalles* | X28, Pp5 | X29, Pp8 | X30, Pp9 | X31, Pp11 | X32, Pp15 | X33, Pp16 | X34, Pp17 | X35, Pp18 | X36, Pp19 |
| Objectifs** | 0.20% | 0.41% | 0.11% | 0.13% | 0.29% | 4.23% | 0.59% | 0.59% | 87.61% |
| ± 5% | 0.21% | 0.43% | 0.12% | 0.14% | 0.30% | 4.45% | 0.62% | 0.62% | 86.99% |
| ± 10% | 0.22% | 0.45% | 0.13% | 0.15% | 0.32% | 4.66% | 0.65% | 0.65% | 86.37% |
| ± 20% | 0.24% | 0.49% | 0.14% | 0.16% | 0.35% | 5.08% | 0.71% | 0.71% | 85.13% |
| ± 30% | 0.26% | 0.53% | 0.15% | 0.17% | 0.37% | 5.51% | 0.77% | 0.77% | 83.89% |
| ± 40% | 0.28% | 0.57% | 0.16% | 0.19% | 0.40% | 5.93% | 0.83% | 0.83% | 82.65% |
| 50% | 0.30% | 0.61% | 0.17% | 0.20% | 0.43% | 6.35% | 0.89% | 0.89% | 81.41% |
| ± 60% | 0.32% | 0.65% | 0.18% | 0.21% | 0.46% | 6.78% | 0.94% | 0.94% | 80.18% |
| ± 80% | 0.36% | 0.73% | 0.21% | 0.24% | 0.52% | 7.62% | 1.06% | 1.06% | 77.70% |
| ± 100% | 0.40% | 0.81% | 0.23% | 0.27% | 0.58% | 8.47% | 0.29% | 1.18% | 76.11% |
*Les cellules grises, blanches et en gras correspondent aux opérations qui se situent respectivement aux bornes maximum, minimum et entre les bornes des intervalles.
**Objectifs de la Caisse d'Epargne du Limousin.
| Intervalles* | X2, G1 | X3, G2 | X4, G3 | X5, G4 | X6, G5 | X7, G6 | X8, G7 | X9, Pa1 |
| Objectifs** | 1.00% | 0.34% | 1.20% | 0.79% | 1.15% | 1.87% | 0.67% | 2.24% |
| ± 5% | 1.05% | 0.36% | 1.26% | 0.83% | 1.21% | 1.97% | 0.70% | 2.36% |
| ± 10% | 1.10% | 0.38% | 1.33% | 0.87% | 1.26% | 2.06% | 0.74% | 2.47% |
| ± 20% | 1.20% | 0.41% | 1.45% | 0.95% | 1.38% | 2.25% | 0.80% | 2.69% |
| ± 30% | 1.30% | 0.45% | 1.57% | 1.03% | 1.49% | 2.44% | 0.87% | 2.92% |
| ± 40% | 1.40% | 0.48% | 1.69% | 1.11% | 1.61% | 2.62% | 0.94% | 3.14% |
| ± 50% | 1.50% | 0.52% | 1.81% | 1.19% | 1.72% | 2.81% | 1.00% | 3.37% |
| ± 60% | 1.60% | 0.55% | 1.93% | 1.27% | 1.84% | 3.00% | 1.07% | 3.59% |
| ± 80% | 1.80% | 0.62% | 2.17% | 1.43% | 2.07% | 3.37% | 1.20% | 4.04% |
| ± 100% | 2.01% | 0.69% | 2.41% | 1.58% | 2.30% | 3.75% | 1.34% | 4.49% |
| Intervalles* | X10, Pa2 | X11, Pa3 | X12, Pa4 | X13, Pa5 | X14, Pa6 | X15, Pa7 | X16, Pa8 | X17, Pa10 | X18, Pa11 |
| Objectifs** | 1.81% | 12.56% | 0.51% | 21.48% | 6.63% | 1.42% | 0.72% | 0.35% | 0.63% |
| ± 5% | 1.90% | 11.93% | 0.54% | 20.41% | 6.30% | 1.49% | 0.76% | 0.37% | 0.66% |
| ± 10% | 1.99% | 11.30% | 0.56% | 19.67% | 5.96% | 1.56% | 0.79% | 0.39% | 0.69% |
| ± 20% | 2.17% | 10.05% | 0.61% | 18.44% | 5.30% | 1.70% | 0.87% | 0.43% | 0.76% |
| ± 30% | 2.35% | 8.79% | 0.67% | 17.22% | 4.64% | 1.84% | 0.94% | 0.46% | 0.82% |
| ± 40% | 2.53% | 7.53% | 0.72% | 15.99% | 3.98% | 1.98% | 1.01% | 0.50% | 0.88% |
| ± 50% | 2.71% | 6.28% | 0.77% | 14.76% | 3.31% | 2.13% | 1.08% | 0.53% | 0.94% |
| ± 60% | 2.89% | 5.02% | 0.82% | 13.53% | 2.65% | 2.27% | 1.15% | 0.57% | 1.01% |
| ± 80% | 3.25% | 5.66% | 0.92% | 11.07% | 1.33% | 2.55% | 1.30% | 0.64% | 1.13% |
| ± 100% | 3.61% | 7.41% | 1.02% | 8.62% | 0.00% | 2.83% | 1.44% | 0.71% | 1.26% |
| Intervalles* | X19, Pa12 | X20, Pa13 | X21, Pa14 | X22, Pa15 | X23, Pa16 | X24, Pa17 | X25, Pa18 | X26, Pa19 | X27, Pa20 |
| Objectifs** | 3.45% | 7.10% | 0.67% | 0.59% | 11.53% | 4.87% | 0.79% | 20.64% | 0.81% |
| ± 5% | 3.62% | 7.27% | 0.64% | 0.62% | 12.11% | 5.11% | 0.83% | 20.97% | 0.87% |
| ± 10% | 3.80% | 7.81% | 0.60% | 0.65% | 12.69% | 5.35% | 0.87% | 20.62% | 0.90% |
| ± 20% | 4.14% | 8.52% | 0.54% | 0.71% | 13.84% | 5.84% | 0.94% | 20.05% | 0.96% |
| ± 30% | 4.49% | 9.23% | 0.47% | 0.77% | 14.99% | 6.33% | 1.02% | 19.48% | 1.02% |
| ± 40% | 4.83% | 9.94% | 0.40% | 0.83% | 16.15% | 6.82% | 1.10% | 18.92% | 1.08% |
| ± 50% | 5.00% | 10.65% | 0.33% | 0.89% | 17.30% | 7.30% | 1.18% | 18.52% | 1.14% |
| ± 60% | 4.18% | 11.36% | 0.27% | 0.94% | 18.45% | 7.79% | 1.26% | 19.12% | 1.20% |
| ± 80% | 1.94% | 12.78% | 0.13% | 1.06% | 20.76% | 8.76% | 1.42% | 17.77% | 1.32% |
| ± 100% | 0.00% | 14.20% | 0.00% | 1.18% | 23.07% | 9.74% | 1.57% | 15.00% | 1.44% |
| Intervalles* | X28, Pp5 | X29, Pp8 | X30, Pp9 | X31, Pp11 | X32, Pp15 | X33, Pp16 | X34, Pp17 | X35, Pp18 | X36, Pp19 |
| Objectifs** | 0.20% | 0.41% | 0.11% | 0.13% | 0.29% | 4.23% | 0.59% | 0.59% | 87.61% |
| ± 5% | 0.21% | 0.43% | 0.12% | 0.14% | 0.30% | 4.45% | 0.62% | 0.56% | 87.05% |
| ± 10% | 0.22% | 0.45% | 0.13% | 0.15% | 0.32% | 4.66% | 0.65% | 0.53% | 86.49% |
| ± 20% | 0.24% | 0.49% | 0.14% | 0.16% | 0.35% | 5.08% | 0.71% | 0.47% | 85.37% |
| ± 30% | 0.26% | 0.53% | 0.15% | 0.17% | 0.37% | 5.51% | 0.77% | 0.41% | 84.25% |
| ± 40% | 0.28% | 0.57% | 0.16% | 0.19% | 0.40% | 5.93% | 0.83% | 0.35% | 83.13% |
| ± 50% | 0.30% | 0.61% | 0.17% | 0.20% | 0.43% | 6.35% | 0.89% | 0.30% | 82.01% |
| ± 60% | 0.32% | 0.65% | 0.18% | 0.21% | 0.46% | 6.78% | 0.94% | 0.24% | 80.88% |
| ± 80% | 0.36% | 0.73% | 0.21% | 0.24% | 0.52% | 7.62% | 1.06% | 0.12% | 78.64% |
| ± 100% | 0.40% | 0.81% | 0.23% | 0.27% | 0.58% | 8.47% | 1.18% | 0.00% | 76.40% |
*Les cellules grises, blanches et en gras correspondent aux opérations qui se situent respectivement aux bornes maximum, minimum et entre les bornes des intervalles.
**Objectifs de la Caisse d'Epargne du Limousin.
| Intervalles* | X2, G1 | X3, G2 | X4, G3 | X5, G4 | X6, G5 | X7, G6 | X8, G7 | X9, Pa1 |
| Objectifs** | 1.00% | 0.34% | 1.20% | 0.79% | 1.15% | 1.87% | 0.67% | 2.24% |
| ± 5% | 1.05% | 0.36% | 1.14% | 0.83% | 1.21% | 1.97% | 0.70% | 2.36% |
| ± 10% | 1.10% | 0.38% | 1.08% | 0.87% | 1.26% | 2.06% | 0.74% | 2.47% |
| ± 20% | 1.20% | 0.41% | 0.96% | 0.95% | 1.38% | 2.25% | 0.80% | 2.69% |
| ± 30% | 1.30% | 0.45% | 0.84% | 1.03% | 1.49% | 2.44% | 0.87% | 2.92% |
| ± 40% | 1.40% | 0.48% | 0.72% | 1.11% | 1.61% | 2.62% | 0.94% | 3.14% |
| ± 50% | 1.50% | 0.52% | 0.60% | 1.19% | 1.72% | 2.81% | 1.00% | 3.37% |
| ± 60% | 1.60% | 0.55% | 0.48% | 1.27% | 1.84% | 3.00% | 1.07% | 3.59% |
| ± 80% | 1.80% | 0.62% | 0.24% | 1.43% | 2.07% | 3.37% | 1.20% | 4.04% |
| ± 100% | 2.01% | 0.69% | 0.00% | 1.58% | 2.30% | 3.75% | 1.34% | 4.49% |
| Intervalles* | X10, Pa2 | X11, Pa3 | X12, Pa4 | X13, Pa5 | X14, Pa6 | X15, Pa7 | X16, Pa8 | X17, Pa10 | X18, Pa11 |
| Objectifs** | 1.81% | 12.56% | 0.51% | 21.48% | 6.63% | 1.42% | 0.72% | 0.35% | 0.63% |
| ± 5% | 1.90% | 11.93% | 0.54% | 20.41% | 6.30% | 1.49% | 0.76% | 0.37% | 0.60% |
| ± 10% | 1.99% | 11.30% | 0.56% | 19.67% | 5.96% | 1.56% | 0.79% | 0.39% | 0.57% |
| ± 20% | 2.17% | 10.05% | 0.61% | 18.44% | 5.30% | 1.70% | 0.87% | 0.43% | 0.50% |
| ± 30% | 2.35% | 8.79% | 0.67% | 17.22% | 4.64% | 1.84% | 0.94% | 0.46% | 0.44% |
| ± 40% | 2.53% | 7.53% | 0.72% | 15.99% | 3.98% | 1.98% | 1.01% | 0.50% | 0.38% |
| 50% | 2.71% | 6.28% | 0.77% | 14.76% | 3.31% | 2.13% | 1.08% | 0.53% | 0.31% |
| ± 60% | 2.89% | 5.02% | 0.82% | 13.53% | 2.65% | 2.27% | 1.15% | 0.57% | 0.25% |
| ± 80% | 3.25% | 2.51% | 0.92% | 11.07% | 1.33% | 2.55% | 1.30% | 0.64% | 0.13% |
| ± 100% | 3.61% | 0.00% | 1.02% | 8.62% | 0.00% | 2.83% | 1.44% | 0.71% | 0.00% |
| Intervalles* | X19, Pa12 | X20, Pa13 | X21, Pa14 | X22, Pa15 | X23, Pa16 | X24, Pa17 | X25, Pa18 | X26, Pa19 | X27, Pa20 |
| Objectifs** | 3.45% | 7.10% | 0.67% | 0.59% | 11.53% | 4.87% | 0.79% | 20.64% | 0.81% |
| ± 5% | 3.62% | 7.27% | 0.64% | 0.62% | 12.11% | 5.11% | 0.83% | 21.15% | 0.87% |
| ± 10% | 3.80% | 7.81% | 0.60% | 0.65% | 12.69% | 5.35% | 0.87% | 20.99% | 0.90% |
| ± 20% | 4.14% | 8.52% | 0.54% | 0.71% | 13.84% | 5.84% | 0.94% | 20.79% | 0.96% |
| ± 30% | 4.49% | 9.23% | 0.47% | 0.77% | 14.99% | 6.33% | 1.02% | 20.58% | 1.02% |
| ± 40% | 4.83% | 9.94% | 0.40% | 0.83% | 16.15% | 6.82% | 1.10% | 20.38% | 1.08% |
| ± 50% | 5.18% | 10.65% | 0.33% | 0.89% | 17.30% | 7.30% | 1.18% | 20.18% | 1.14% |
| ± 60% | 5.42% | 11.36% | 0.27% | 0.94% | 18.45% | 7.79% | 1.26% | 20.08% | 1.20% |
| ± 80% | 4.00% | 12.78% | 0.13% | 1.06% | 20.76% | 8.76% | 1.42% | 21.79% | 1.32% |
| ± 100% | 2.58% | 14.20% | 0.00% | 1.18% | 23.07% | 9.74% | 1.57% | 23.50% | 1.44% |
| Intervalles* | X28, Pp5 | X29, Pp8 | X30, Pp9 | X31, Pp11 | X32, Pp15 | X33, Pp16 | X34, Pp17 | X35, Pp18 | X36, Pp19 |
| Objectifs** | 0.20% | 0.41% | 0.11% | 0.13% | 0.29% | 4.23% | 0.59% | 0.59% | 87.61% |
| ± 5% | 0.21% | 0.43% | 0.12% | 0.14% | 0.30% | 4.45% | 0.62% | 0.56% | 87.05% |
| ± 10% | 0.22% | 0.45% | 0.13% | 0.15% | 0.32% | 4.66% | 0.65% | 0.53% | 86.49% |
| ± 20% | 0.24% | 0.49% | 0.14% | 0.16% | 0.35% | 5.08% | 0.71% | 0.47% | 85.37% |
| ± 30% | 0.26% | 0.53% | 0.15% | 0.17% | 0.37% | 5.51% | 0.77% | 0.41% | 84.25% |
| ± 40% | 0.28% | 0.57% | 0.16% | 0.19% | 0.40% | 5.93% | 0.83% | 0.35% | 83.13% |
| ± 50% | 0.30% | 0.61% | 0.17% | 0.20% | 0.43% | 6.35% | 0.89% | 0.30% | 82.01% |
| ± 60% | 0.32% | 0.65% | 0.18% | 0.21% | 0.46% | 6.78% | 0.94% | 0.24% | 80.88% |
| ± 80% | 0.36% | 0.73% | 0.21% | 0.24% | 0.52% | 7.62% | 1.06% | 0.12% | 78.64% |
| ± 100% | 0.40% | 0.81% | 0.23% | 0.27% | 0.58% | 8.47% | 1.18% | 0.00% | 76.40% |
*Les cellules grises, blanches et en gras correspondent aux opérations qui se situent respectivement aux bornes maximum, minimum et entre les bornes des intervalles.
**Objectifs de la Caisse d'Epargne du Limousin.
| Intervalles* | X2, G1 | X3, G2 | X4, G3 | X5, G4 | X6, G5 | X7, G6 | X8, G7 | X9, Pa1 |
| Objectifs** | 1.00% | 0.34% | 1.20% | 0.79% | 1.15% | 1.87% | 0.67% | 2.24% |
| ± 5% | 1.05% | 0.36% | 1.26% | 0.75% | 1.21% | 1.97% | 0.70% | 2.36% |
| ± 10% | 1.10% | 0.38% | 1.33% | 0.71% | 1.26% | 2.06% | 0.74% | 2.47% |
| ± 20% | 1.20% | 0.41% | 1.45% | 0.63% | 1.38% | 2.25% | 0.80% | 2.69% |
| ± 30% | 1.30% | 0.45% | 1.57% | 0.55% | 1.49% | 2.44% | 0.87% | 2.92% |
| ± 40% | 1.40% | 0.48% | 1.69% | 0.48% | 1.61% | 2.62% | 0.94% | 3.14% |
| ± 50% | 1.50% | 0.52% | 1.81% | 0.40% | 1.72% | 2.81% | 1.00% | 3.37% |
| ± 60% | 1.60% | 0.55% | 1.93% | 0.32% | 1.84% | 3.00% | 1.07% | 3.59% |
| ± 80% | 1.80% | 0.62% | 2.17% | 0.16% | 2.07% | 3.37% | 1.20% | 4.04% |
| ± 100% | 2.01% | 0.69% | 2.41% | 0.00% | 2.30% | 3.75% | 1.34% | 4.49% |
| Intervalles* | X10, Pa2 | X11, Pa3 | X12, Pa4 | X13, Pa5 | X14, Pa6 | X15, Pa7 | X16, Pa8 | X17, Pa10 | X18, Pa11 |
| Objectifs** | 1.81% | 12.56% | 0.51% | 21.48% | 6.63% | 1.42% | 0.72% | 0.35% | 0.63% |
| ± 5% | 1.90% | 13.19% | 0.54% | 21.44% | 6.96% | 1.35% | 0.76% | 0.37% | 0.66% |
| ± 10% | 1.99% | 13.81% | 0.56% | 21.98% | 7.29% | 1.28% | 0.79% | 0.39% | 0.69% |
| ± 20% | 2.17% | 15.07% | 0.61% | 23.07% | 7.95% | 1.13% | 0.87% | 0.43% | 0.76% |
| ± 30% | 2.35% | 16.32% | 0.67% | 24.15% | 8.61% | 0.99% | 0.94% | 0.46% | 0.82% |
| ± 40% | 2.53% | 17.58% | 0.72% | 25.41% | 9.28% | 0.85% | 1.01% | 0.34% | 0.88% |
| ± 50% | 2.71% | 18.84% | 0.77% | 26.68% | 9.94% | 0.71% | 1.08% | 0.28% | 0.94% |
| ± 60% | 2.89% | 20.09% | 0.82% | 27.93% | 10.60% | 0.57% | 1.15% | 0.28% | 1.01% |
| ± 80% | 3.25% | 22.60% | 0.92% | 30.45% | 11.93% | 0.28% | 1.30% | 0.28% | 1.13% |
| ± 100% | 3.61% | 25.11% | 1.02% | 32.15% | 13.25% | 0.00% | 1.44% | 0.33% | 1.26% |
| Intervalles* | X19, Pa12 | X20, Pa13 | X21, Pa14 | X22, Pa15 | X23, Pa16 | X24, Pa17 | X25, Pa18 | X26, Pa19 | X27, Pa20 |
| Objectifs** | 3.45% | 7.10% | 0.67% | 0.59% | 11.53% | 4.87% | 0.79% | 20.64% | 0.81% |
| ± 5% | 3.62% | 7.45% | 0.64% | 0.62% | 10.96% | 4.62% | 0.83% | 19.64% | 0.84% |
| ± 10% | 3.47% | 7.81% | 0.60% | 0.65% | 10.38% | 4.38% | 0.71% | 18.58% | 0.84% |
| ± 20% | 2.95% | 8.52% | 0.54% | 0.71% | 9.23% | 3.89% | 0.63% | 16.51% | 0.84% |
| ± 30% | 2.43% | 9.23% | 0.47% | 0.77% | 8.07% | 3.41% | 0.55% | 14.45% | 0.84% |
| ± 40% | 2.07% | 9.75% | 0.40% | 0.83% | 6.92% | 2.92% | 0.47% | 12.38% | 0.84% |
| ± 50% | 1.73% | 10.18% | 0.33% | 0.89% | 5.77% | 2.43% | 0.39% | 10.32% | 0.84% |
| ± 60% | 1.38% | 10.58% | 0.27% | 0.94% | 4.61% | 1.95% | 0.31% | 8.26% | 0.83% |
| ± 80% | 0.69% | 11.36% | 0.13% | 1.06% | 2.31% | 0.97% | 0.16% | 4.13% | 0.83% |
| ± 100% | 0.00% | 12.90% | 0.00% | 1.18% | 0.00% | 0.00% | 0.00% | 0.00% | 0.83% |
| Intervalles* | X28, Pp5 | X29, Pp8 | X30, Pp9 | X31, Pp11 | X32, Pp15 | X33, Pp16 | X34, Pp17 | X35, Pp18 | X36, Pp19 |
| Objectifs** | 0.20% | 0.41% | 0.11% | 0.13% | 0.29% | 4.23% | 0.59% | 0.59% | 87.61% |
| ± 5% | 0.21% | 0.43% | 0.12% | 0.14% | 0.30% | 4.45% | 0.56% | 0.62% | 87.13% |
| ± 10% | 0.22% | 0.45% | 0.13% | 0.15% | 0.32% | 4.66% | 0.53% | 0.65% | 86.65% |
| ± 20% | 0.24% | 0.49% | 0.14% | 0.16% | 0.35% | 5.08% | 0.47% | 0.71% | 85.69% |
| ± 30% | 0.26% | 0.53% | 0.15% | 0.17% | 0.37% | 5.51% | 0.41% | 0.77% | 84.72% |
| ± 40% | 0.28% | 0.57% | 0.16% | 0.19% | 0.40% | 5.93% | 0.35% | 0.83% | 83.76% |
| ± 50% | 0.30% | 0.61% | 0.17% | 0.20% | 0.43% | 6.35% | 0.30% | 0.89% | 82.80% |
| ± 60% | 0.32% | 0.65% | 0.18% | 0.21% | 0.46% | 6.78% | 0.24% | 0.94% | 81.84% |
| ± 80% | 0.36% | 0.73% | 0.21% | 0.24% | 0.52% | 7.62% | 0.12% | 1.06% | 79.91% |
| ± 100% | 0.40% | 0.81% | 0.23% | 0.27% | 0.58% | 8.47% | 0.00% | 1.18% | 77.99% |
*Les cellules grises, blanches et en gras correspondent aux opérations qui se situent respectivement aux bornes maximum, minimum et entre les bornes des intervalles.
**Objectifs de la Caisse d'Epargne du Limousin.
| Intervalles* | X2, G1 | X3, G2 | X4, G3 | X5, G4 | X6, G5 | X7, G6 | X8, G7 | X9, Pa1 |
| Objectifs** | 1.00% | 0.34% | 1.20% | 0.79% | 1.15% | 1.87% | 0.67% | 2.24% |
| ± 5% | 1.05% | 0.36% | 1.26% | 0.83% | 1.21% | 1.97% | 0.70% | 2.36% |
| ± 10% | 1.10% | 0.38% | 1.33% | 0.87% | 1.26% | 2.06% | 0.74% | 2.47% |
| ± 20% | 1.20% | 0.41% | 1.45% | 0.95% | 1.38% | 2.25% | 0.80% | 2.69% |
| ± 30% | 1.30% | 0.45% | 1.57% | 1.03% | 1.49% | 2.44% | 0.87% | 2.92% |
| ± 40% | 1.40% | 0.48% | 1.69% | 1.11% | 1.61% | 2.62% | 0.94% | 3.14% |
| ± 50% | 1.50% | 0.52% | 1.81% | 1.19% | 1.72% | 2.81% | 1.00% | 3.37% |
| ± 60% | 1.60% | 0.55% | 1.93% | 1.27% | 1.84% | 3.00% | 1.07% | 3.59% |
| ± 80% | 1.80% | 0.62% | 2.17% | 1.43% | 2.07% | 3.37% | 1.20% | 4.04% |
| ± 100% | 2.01% | 0.69% | 2.41% | 1.58% | 2.30% | 3.75% | 1.34% | 4.49% |
| Intervalles* | X10, Pa2 | X11, Pa3 | X12, Pa4 | X13, Pa5 | X14, Pa6 | X15, Pa7 | X16, Pa8 | X17, Pa10 | X18, Pa11 |
| Objectifs** | 1.81% | 12.56% | 0.51% | 21.48% | 6.63% | 1.42% | 0.72% | 0.35% | 0.63% |
| ± 5% | 1.90% | 13.19% | 0.54% | 20.41% | 6.30% | 1.49% | 0.76% | 0.37% | 0.66% |
| ± 10% | 1.99% | 13.81% | 0.56% | 19.67% | 5.96% | 1.56% | 0.79% | 0.39% | 0.69% |
| ± 20% | 2.17% | 15.07% | 0.61% | 18.44% | 5.30% | 1.60% | 0.87% | 0.43% | 0.76% |
| ± 30% | 2.35% | 16.32% | 0.67% | 17.22% | 4.64% | 1.41% | 0.94% | 0.46% | 0.82% |
| ± 40% | 2.53% | 17.58% | 0.72% | 15.99% | 3.98% | 1.23% | 1.01% | 0.50% | 0.88% |
| ± 50% | 2.71% | 18.84% | 0.77% | 14.76% | 3.31% | 1.05% | 1.08% | 0.53% | 0.94% |
| ± 60% | 2.89% | 20.09% | 0.82% | 13.53% | 2.65% | 0.86% | 1.15% | 0.57% | 1.01% |
| ± 80% | 3.25% | 22.60% | 0.92% | 11.07% | 1.33% | 0.50% | 1.30% | 0.64% | 1.13% |
| ± 100% | 3.61% | 25.11% | 1.02% | 8.62% | 0.00% | 0.00% | 1.44% | 0.71% | 1.26% |
| Intervalles* | X19, Pa12 | X20, Pa13 | X21, Pa14 | X22, Pa15 | X23, Pa16 | X24, Pa17 | X25, Pa18 | X26, Pa19 | X27, Pa20 |
| Objectifs** | 3.45% | 7.10% | 0.67% | 0.59% | 11.53% | 4.87% | 0.79% | 20.64% | 0.81% |
| ± 5% | 3.62% | 7.27% | 0.64% | 0.62% | 12.11% | 5.11% | 0.83% | 19.71% | 0.87% |
| ± 10% | 3.33% | 7.81% | 0.60% | 0.65% | 12.69% | 5.35% | 0.87% | 18.58% | 0.90% |
| ± 20% | 2.76% | 8.52% | 0.54% | 0.71% | 13.84% | 5.84% | 0.94% | 16.51% | 0.96% |
| ± 30% | 2.42% | 9.23% | 0.47% | 0.77% | 14.99% | 6.33% | 1.02% | 14.45% | 1.02% |
| ± 40% | 2.07% | 9.94% | 0.40% | 0.83% | 16.15% | 6.82% | 1.10% | 12.38% | 1.08% |
| ± 50% | 1.73% | 10.65% | 0.33% | 0.89% | 17.30% | 7.30% | 1.18% | 10.32% | 1.14% |
| ± 60% | 1.38% | 11.36% | 0.27% | 0.94% | 18.45% | 7.79% | 1.26% | 8.26% | 1.20% |
| ± 80% | 0.69% | 12.78% | 0.13% | 1.06% | 20.76% | 8.76% | 1.42% | 4.13% | 1.32% |
| ± 100% | 0.00% | 14.20% | 0.00% | 1.18% | 23.07% | 9.74% | 1.57% | 0.13% | 1.44% |
| Intervalles* | X28, Pp5 | X29, Pp8 | X30, Pp9 | X31, Pp11 | X32, Pp15 | X33, Pp16 | X34, Pp17 | X35, Pp18 | X36, Pp19 |
| Objectifs** | 0.20% | 0.41% | 0.11% | 0.13% | 0.29% | 4.23% | 0.59% | 0.59% | 87.61% |
| ± 5% | 0.21% | 0.43% | 0.12% | 0.14% | 0.30% | 4.45% | 0.62% | 0.62% | 86.99% |
| ± 10% | 0.22% | 0.45% | 0.13% | 0.15% | 0.32% | 4.66% | 0.65% | 0.65% | 86.37% |
| ± 20% | 0.24% | 0.49% | 0.14% | 0.16% | 0.35% | 5.08% | 0.71% | 0.71% | 85.13% |
| ± 30% | 0.26% | 0.53% | 0.15% | 0.17% | 0.37% | 5.51% | 0.77% | 0.77% | 83.89% |
| ± 40% | 0.28% | 0.57% | 0.16% | 0.19% | 0.40% | 5.93% | 0.83% | 0.83% | 82.65% |
| ± 50% | 0.30% | 0.61% | 0.17% | 0.20% | 0.43% | 6.35% | 0.89% | 0.89% | 81.41% |
| ± 60% | 0.32% | 0.65% | 0.18% | 0.21% | 0.46% | 6.78% | 0.94% | 0.94% | 80.18% |
| ± 80% | 0.36% | 0.73% | 0.21% | 0.24% | 0.52% | 7.62% | 1.06% | 1.06% | 77.70% |
| ± 100% | 0.40% | 0.81% | 0.23% | 0.27% | 0.58% | 8.47% | 1.18% | 1.18% | 75.22% |
*Les cellules grises, blanches et en gras correspondent aux opérations qui se situent respectivement aux bornes maximum, minimum et entre les bornes des intervalles.
**Objectifs de la Caisse d'Epargne du Limousin.
| Intervalles* | X2, G1 | X3, G2 | X4, G3 | X5, G4 | X6, G5 | X7, G6 | X8, G7 | X9, Pa1 |
| Objectifs** | 1.00% | 0.34% | 1.20% | 0.79% | 1.15% | 1.87% | 0.67% | 2.24% |
| ± 5% | 1.05% | 0.36% | 1.26% | 0.83% | 1.21% | 1.97% | 0.70% | 2.36% |
| ± 10% | 1.10% | 0.38% | 1.33% | 0.87% | 1.26% | 2.06% | 0.74% | 2.47% |
| ± 20% | 1.20% | 0.41% | 1.45% | 0.95% | 1.38% | 2.25% | 0.80% | 2.69% |
| ± 30% | 1.30% | 0.45% | 1.57% | 1.03% | 1.49% | 2.44% | 0.87% | 2.92% |
| ± 40% | 1.40% | 0.48% | 1.69% | 1.11% | 1.61% | 2.62% | 0.94% | 3.14% |
| ± 50% | 1.50% | 0.52% | 1.81% | 1.19% | 1.72% | 2.81% | 1.00% | 3.37% |
| ± 60% | 1.60% | 0.55% | 1.93% | 1.27% | 1.84% | 3.00% | 1.07% | 3.59% |
| ± 80% | 1.80% | 0.62% | 2.17% | 1.43% | 2.07% | 3.37% | 1.20% | 4.04% |
| ± 100% | 2.01% | 0.69% | 2.41% | 1.58% | 2.30% | 3.75% | 1.34% | 4.49% |
| Intervalles* | X10, Pa2 | X11, Pa3 | X12, Pa4 | X13, Pa5 | X14, Pa6 | X15, Pa7 | X16, Pa8 | X17, Pa10 | X18, Pa11 |
| Objectifs** | 1.81% | 12.56% | 0.51% | 21.48% | 6.63% | 1.42% | 0.72% | 0.35% | 0.63% |
| ± 5% | 1.90% | 11.93% | 0.54% | 20.41% | 6.30% | 1.49% | 0.76% | 0.37% | 0.66% |
| ± 10% | 1.99% | 11.30% | 0.56% | 19.67% | 5.96% | 1.56% | 0.79% | 0.39% | 0.69% |
| ± 20% | 2.17% | 10.05% | 0.61% | 18.44% | 5.30% | 1.70% | 0.87% | 0.43% | 0.76% |
| ± 30% | 2.35% | 8.79% | 0.67% | 17.22% | 4.64% | 1.84% | 0.94% | 0.46% | 0.82% |
| ± 40% | 2.53% | 7.53% | 0.72% | 15.99% | 3.98% | 1.98% | 1.01% | 0.50% | 0.88% |
| ± 50% | 2.71% | 6.28% | 0.77% | 14.76% | 3.31% | 2.13% | 1.08% | 0.53% | 0.94% |
| ± 60% | 2.89% | 5.02% | 0.82% | 13.53% | 2.65% | 2.27% | 1.15% | 0.57% | 1.01% |
| ± 80% | 3.25% | 6.66% | 0.92% | 11.07% | 1.33% | 2.55% | 1.30% | 0.64% | 1.13% |
| ± 100% | 3.61% | 8.48% | 1.02% | 8.62% | 0.00% | 2.83% | 1.44% | 0.71% | 1.26% |
| Intervalles* | X19, Pa12 | X20, Pa13 | X21, Pa14 | X22, Pa15 | X23, Pa16 | X24, Pa17 | X25, Pa18 | X26, Pa19 | X27, Pa20 |
| Objectifs** | 3.45% | 7.10% | 0.67% | 0.59% | 11.53% | 4.87% | 0.79% | 20.64% | 0.81% |
| ± 5% | 3.62% | 7.27% | 0.64% | 0.62% | 12.11% | 5.11% | 0.83% | 20.97% | 0.87% |
| ± 10% | 3.80% | 7.81% | 0.60% | 0.65% | 12.69% | 5.35% | 0.87% | 20.62% | 0.90% |
| ± 20% | 4.14% | 8.52% | 0.54% | 0.71% | 13.84% | 5.84% | 0.94% | 20.05% | 0.96% |
| ± 30% | 4.49% | 9.23% | 0.47% | 0.77% | 14.99% | 6.33% | 1.02% | 19.48% | 1.02% |
| ± 40% | 4.83% | 9.94% | 0.40% | 0.83% | 16.15% | 6.82% | 1.10% | 18.92% | 1.08% |
| ± 50% | 5.18% | 10.65% | 0.33% | 0.89% | 17.30% | 7.30% | 1.18% | 18.35% | 1.14% |
| ± 60% | 5.52% | 11.36% | 0.27% | 0.94% | 18.45% | 7.79% | 1.26% | 17.78% | 1.20% |
| ± 80% | 3.34% | 12.78% | 0.13% | 1.06% | 20.76% | 8.76% | 1.42% | 15.37% | 1.32% |
| ± 100% | 0.86% | 14.20% | 0.00% | 1.18% | 23.07% | 9.74% | 1.57% | 13.07% | 1.44% |
| Intervalles* | X28, Pp5 | X29, Pp8 | X30, Pp9 | X31, Pp11 | X32, Pp15 | X33, Pp16 | X34, Pp17 | X35, Pp18 | X36, Pp19 |
| Objectifs** | 0.20% | 0.41% | 0.11% | 0.13% | 0.29% | 4.23% | 0.59% | 0.59% | 87.61% |
| ± 5% | 0.21% | 0.43% | 0.12% | 0.14% | 0.30% | 4.45% | 0.62% | 0.56% | 87.05% |
| ± 10% | 0.22% | 0.45% | 0.13% | 0.15% | 0.32% | 4.66% | 0.65% | 0.53% | 86.49% |
| ± 20% | 0.24% | 0.49% | 0.14% | 0.16% | 0.35% | 5.08% | 0.71% | 0.47% | 85.37% |
| ± 30% | 0.26% | 0.53% | 0.15% | 0.17% | 0.37% | 5.51% | 0.77% | 0.41% | 84.25% |
| ± 40% | 0.28% | 0.57% | 0.16% | 0.19% | 0.40% | 5.93% | 0.83% | 0.35% | 83.13% |
| ± 50% | 0.30% | 0.61% | 0.17% | 0.20% | 0.43% | 6.35% | 0.89% | 0.30% | 82.01% |
| ± 60% | 0.32% | 0.65% | 0.18% | 0.21% | 0.46% | 6.78% | 0.94% | 0.24% | 80.88% |
| ± 80% | 0.36% | 0.73% | 0.21% | 0.24% | 0.52% | 7.62% | 1.06% | 0.12% | 78.64% |
| ± 100% | 0.40% | 0.81% | 0.23% | 0.27% | 0.58% | 8.47% | 1.18% | 0.00% | 76.40% |
*Les cellules grises, blanches et en gras correspondent aux opérations qui se situent respectivement aux bornes maximum, minimum et entre les bornes des intervalles.
**Objectifs de la Caisse d'Epargne du Limousin.
| Intervalles* | X2, G1 | X3, G2 | X4, G3 | X5, G4 | X6, G5 | X7, G6 | X8, G7 | X9, Pa1 |
| Objectifs** | 1.00% | 0.34% | 1.20% | 0.79% | 1.15% | 1.87% | 0.67% | 2.24% |
| ± 5% | 1.05% | 0.36% | 1.14% | 0.83% | 1.21% | 1.97% | 0.70% | 2.36% |
| ± 10% | 1.10% | 0.38% | 1.08% | 0.87% | 1.26% | 2.06% | 0.74% | 2.47% |
| ± 20% | 1.20% | 0.41% | 0.96% | 0.95% | 1.38% | 2.25% | 0.80% | 2.69% |
| ± 30% | 1.30% | 0.45% | 0.84% | 1.03% | 1.49% | 2.44% | 0.87% | 2.92% |
| ± 40% | 1.40% | 0.48% | 0.72% | 1.11% | 1.61% | 2.62% | 0.94% | 3.14% |
| ± 50% | 1.50% | 0.52% | 0.60% | 1.19% | 1.72% | 2.81% | 1.00% | 3.37% |
| ± 60% | 1.60% | 0.55% | 0.48% | 1.27% | 1.84% | 3.00% | 1.07% | 3.59% |
| ± 80% | 1.80% | 0.62% | 0.24% | 1.43% | 2.07% | 3.37% | 1.20% | 4.04% |
| ± 100% | 2.01% | 0.69% | 0.00% | 1.58% | 2.30% | 3.75% | 1.34% | 4.49% |
| Intervalles* | X10, Pa2 | X11, Pa3 | X12, Pa4 | X13, Pa5 | X14, Pa6 | X15, Pa7 | X16, Pa8 | X17, Pa10 | X18, Pa11 |
| Objectifs** | 1.81% | 12.56% | 0.51% | 21.48% | 6.63% | 1.42% | 0.72% | 0.35% | 0.63% |
| ± 5% | 1.90% | 11.93% | 0.54% | 20.41% | 6.30% | 1.49% | 0.76% | 0.37% | 0.60% |
| ± 10% | 1.99% | 11.30% | 0.56% | 19.67% | 5.96% | 1.56% | 0.79% | 0.39% | 0.57% |
| ± 20% | 2.17% | 10.05% | 0.61% | 18.44% | 5.30% | 1.70% | 0.87% | 0.43% | 0.50% |
| ± 30% | 2.35% | 8.79% | 0.67% | 17.22% | 4.64% | 1.84% | 0.94% | 0.46% | 0.44% |
| ± 40% | 2.53% | 7.53% | 0.72% | 15.99% | 3.98% | 1.98% | 1.01% | 0.50% | 0.38% |
| ± 50% | 2.71% | 6.28% | 0.77% | 14.76% | 3.31% | 2.13% | 1.08% | 0.53% | 0.31% |
| ± 60% | 2.89% | 5.02% | 0.82% | 13.53% | 2.65% | 2.27% | 1.15% | 0.57% | 0.25% |
| ± 80% | 3.25% | 2.51% | 0.92% | 11.07% | 1.33% | 2.55% | 1.30% | 0.64% | 0.13% |
| ± 100% | 3.61% | 0.00% | 1.02% | 8.62% | 0.00% | 2.83% | 1.44% | 0.71% | 0.00% |
| Intervalles* | X19, Pa12 | X20, Pa13 | X21, Pa14 | X22, Pa15 | X23, Pa16 | X24, Pa17 | X25, Pa18 | X26, Pa19 | X27, Pa20 |
| Objectifs** | 3.45% | 7.10% | 0.67% | 0.59% | 11.53% | 4.87% | 0.79% | 20.64% | 0.81% |
| ± 5% | 3.62% | 7.27% | 0.64% | 0.62% | 12.11% | 5.11% | 0.83% | 21.15% | 0.87% |
| ± 10% | 3.80% | 7.81% | 0.60% | 0.65% | 12.69% | 5.35% | 0.87% | 20.99% | 0.90% |
| ± 20% | 4.14% | 8.52% | 0.54% | 0.71% | 13.84% | 5.84% | 0.94% | 20.79% | 0.96% |
| ± 30% | 4.49% | 9.23% | 0.47% | 0.77% | 14.99% | 6.33% | 1.02% | 20.58% | 1.02% |
| ± 40% | 4.83% | 9.94% | 0.40% | 0.83% | 16.15% | 6.82% | 1.10% | 20.38% | 1.08% |
| ± 50% | 5.18% | 10.65% | 0.33% | 0.89% | 17.30% | 7.30% | 1.18% | 20.18% | 1.14% |
| ± 60% | 5.47% | 11.36% | 0.27% | 0.94% | 18.45% | 7.79% | 1.26% | 20.03% | 1.20% |
| ± 80% | 4.05% | 12.78% | 0.13% | 1.06% | 20.76% | 8.76% | 1.42% | 21.74% | 1.32% |
| ± 100% | 2.63% | 14.20% | 0.00% | 1.18% | 23.07% | 9.74% | 1.57% | 23.45% | 1.44% |
| Intervalles* | X28, Pp5 | X29, Pp8 | X30, Pp9 | X31, Pp11 | X32, Pp15 | X33, Pp16 | X34, Pp17 | X35, Pp18 | X36, Pp19 |
| Objectifs** | 0.20% | 0.41% | 0.11% | 0.13% | 0.29% | 4.23% | 0.59% | 0.59% | 87.61% |
| ± 5% | 0.21% | 0.43% | 0.12% | 0.14% | 0.30% | 4.45% | 0.62% | 0.56% | 87.05% |
| ± 10% | 0.22% | 0.45% | 0.13% | 0.15% | 0.32% | 4.66% | 0.65% | 0.53% | 86.49% |
| ± 20% | 0.24% | 0.49% | 0.14% | 0.16% | 0.35% | 5.08% | 0.71% | 0.47% | 85.37% |
| ± 30% | 0.26% | 0.53% | 0.15% | 0.17% | 0.37% | 5.51% | 0.77% | 0.41% | 84.25% |
| ± 40% | 0.28% | 0.57% | 0.16% | 0.19% | 0.40% | 5.93% | 0.83% | 0.35% | 83.13% |
| ± 50% | 0.30% | 0.61% | 0.17% | 0.20% | 0.43% | 6.35% | 0.89% | 0.30% | 82.01% |
| ± 60% | 0.32% | 0.65% | 0.18% | 0.21% | 0.46% | 6.78% | 0.94% | 0.24% | 80.88% |
| ± 80% | 0.36% | 0.73% | 0.21% | 0.24% | 0.52% | 7.62% | 1.06% | 0.12% | 78.64% |
| ± 100% | 0.40% | 0.81% | 0.23% | 0.27% | 0.58% | 8.47% | 1.18% | 0.00% | 76.40% |
*Les cellules grises, blanches et en gras correspondent aux opérations qui se situent respectivement aux bornes maximum, minimum et entre les bornes des intervalles.
**Objectifs de la Caisse d'Epargne du Limousin.
| Intervalles* | X2, G1 | X3, G2 | X4, G3 | X5, G4 | X6, G5 | X7, G6 | X8, G7 | X9, Pa1 |
| Objectifs** | 1.00% | 0.34% | 1.20% | 0.79% | 1.15% | 1.87% | 0.67% | 2.24% |
| ± 5% | 0.95% | 0.36% | 1.26% | 0.75% | 1.21% | 1.78% | 0.63% | 2.36% |
| ± 10% | 0.90% | 0.31% | 1.33% | 0.71% | 1.26% | 1.69% | 0.60% | 2.47% |
| ± 20% | 0.80% | 0.27% | 1.45% | 0.63% | 1.38% | 1.50% | 0.53% | 2.69% |
| ± 30% | 0.70% | 0.24% | 1.57% | 0.55% | 1.49% | 1.31% | 0.47% | 2.92% |
| ± 40% | 0.60% | 0.21% | 1.69% | 0.48% | 1.61% | 1.12% | 0.40% | 3.14% |
| ± 50% | 0.50% | 0.17% | 1.81% | 0.40% | 1.72% | 0.94% | 0.33% | 3.37% |
| ± 60% | 0.40% | 0.14% | 1.93% | 0.32% | 1.84% | 0.75% | 0.27% | 3.59% |
| ± 80% | 0.20% | 0.07% | 2.17% | 0.16% | 2.07% | 0.37% | 0.13% | 4.04% |
| ± 100% | 0.00% | 0.00% | 2.41% | 0.00% | 2.30% | 0.00% | 0.00% | 4.49% |
| Intervalles* | X10, Pa2 | X11, Pa3 | X12, Pa4 | X13, Pa5 | X14, Pa6 | X15, Pa7 | X16, Pa8 | X17, Pa10 | X18, Pa11 |
| Objectifs** | 1.81% | 12.56% | 0.51% | 21.48% | 6.63% | 1.42% | 0.72% | 0.35% | 0.63% |
| ± 5% | 1.90% | 13.19% | 0.54% | 21.97% | 6.30% | 1.49% | 0.76% | 0.37% | 0.66% |
| ± 10% | 1.99% | 13.81% | 0.56% | 22.68% | 5.96% | 1.48% | 0.79% | 0.39% | 0.69% |
| ± 20% | 2.17% | 15.07% | 0.61% | 24.34% | 5.30% | 1.13% | 0.87% | 0.43% | 0.76% |
| ± 30% | 2.35% | 16.32% | 0.67% | 25.78% | 4.64% | 0.99% | 0.94% | 0.46% | 0.82% |
| ± 40% | 2.53% | 17.58% | 0.72% | 27.22% | 3.98% | 0.85% | 1.01% | 0.50% | 0.88% |
| ± 50% | 2.71% | 18.84% | 0.77% | 28.66% | 3.31% | 0.71% | 1.08% | 0.53% | 0.94% |
| ± 60% | 2.89% | 20.09% | 0.82% | 30.11% | 2.65% | 0.57% | 1.15% | 0.57% | 1.01% |
| ± 80% | 3.25% | 22.60% | 0.92% | 32.99% | 1.33% | 0.28% | 1.30% | 0.64% | 1.13% |
| ± 100% | 3.61% | 25.11% | 1.02% | 35.88% | 0.00% | 0.00% | 1.44% | 0.71% | 1.26% |
| Intervalles* | X19, Pa12 | X20, Pa13 | X21, Pa14 | X22, Pa15 | X23, Pa16 | X24, Pa17 | X25, Pa18 | X26, Pa19 | X27, Pa20 |
| Objectifs** | 3.45% | 7.10% | 0.67% | 0.59% | 11.53% | 4.87% | 0.79% | 20.64% | 0.81% |
| ± 5% | 3.62% | 7.45% | 0.70% | 0.62% | 10.96% | 4.62% | 0.75% | 19.66% | 0.82% |
| ± 10% | 3.80% | 7.81% | 0.74% | 0.65% | 10.38% | 4.38% | 0.71% | 18.58% | 0.80% |
| ± 20% | 4.14% | 8.52% | 0.80% | 0.71% | 9.23% | 3.89% | 0.63% | 16.51% | 0.76% |
| ± 30% | 4.49% | 9.23% | 0.87% | 0.77% | 8.07% | 3.41% | 0.55% | 14.45% | 0.72% |
| ± 40% | 4.83% | 9.94% | 0.94% | 0.83% | 6.92% | 2.92% | 0.47% | 12.38% | 0.68% |
| ± 50% | 5.18% | 10.65% | 1.00% | 0.89% | 5.77% | 2.43% | 0.39% | 10.32% | 0.64% |
| ± 60% | 5.52% | 11.36% | 1.07% | 0.94% | 4.61% | 1.95% | 0.31% | 8.26% | 0.60% |
| ± 80% | 6.21% | 12.78% | 1.20% | 1.06% | 2.31% | 0.97% | 0.16% | 4.13% | 0.52% |
| ± 100% | 6.90% | 14.20% | 1.34% | 1.18% | 0.00% | 0.00% | 0.00% | 0.00% | 0.44% |
| Intervalles* | X28, Pp5 | X29, Pp8 | X30, Pp9 | X31, Pp11 | X32, Pp15 | X33, Pp16 | X34, Pp17 | X35, Pp18 | X36, Pp19 |
| Objectifs** | 0.20% | 0.41% | 0.11% | 0.13% | 0.29% | 4.23% | 0.59% | 0.59% | 87.61% |
| ± 5% | 0.21% | 0.43% | 0.12% | 0.13% | 0.30% | 4.45% | 0.56% | 0.62% | 87.50% |
| ± 10% | 0.22% | 0.45% | 0.13% | 0.12% | 0.32% | 4.66% | 0.53% | 0.65% | 87.45% |
| ± 20% | 0.24% | 0.49% | 0.13% | 0.11% | 0.35% | 5.08% | 0.47% | 0.71% | 87.30% |
| ± 30% | 0.26% | 0.53% | 0.12% | 0.09% | 0.37% | 5.51% | 0.41% | 0.77% | 87.16% |
| ± 40% | 0.28% | 0.57% | 0.11% | 0.08% | 0.40% | 5.93% | 0.35% | 0.83% | 87.03% |
| ± 50% | 0.30% | 0.61% | 0.10% | 0.07% | 0.43% | 6.35% | 0.30% | 0.89% | 86.89% |
| ± 60% | 0.32% | 0.65% | 0.09% | 0.05% | 0.46% | 6.78% | 0.24% | 0.94% | 86.75% |
| ± 80% | 0.36% | 0.73% | 0.07% | 0.03% | 0.52% | 7.62% | 0.12% | 1.06% | 86.48% |
| ± 100% | 0.40% | 0.81% | 0.06% | 0.00% | 0.58% | 8.47% | 0.00% | 1.18% | 86.20% |
*Les cellules grises, blanches et en gras correspondent aux opérations qui se situent respectivement aux bornes maximum, minimum et entre les bornes des intervalles.
**Objectifs de la Caisse d'Epargne du Limousin.
| Intervalles* | X2, G1 | X3, G2 | X4, G3 | X5, G4 | X6, G5 | X7, G6 | X8, G7 | X9, Pa1 |
| Objectifs** | 1.00% | 0.34% | 1.20% | 0.79% | 1.15% | 1.87% | 0.67% | 2.24% |
| ± 5% | 1.05% | 0.36% | 1.26% | 0.75% | 1.21% | 1.97% | 0.63% | 2.36% |
| ± 10% | 1.10% | 0.38% | 1.33% | 0.71% | 1.26% | 2.06% | 0.60% | 2.47% |
| ± 20% | 1.20% | 0.41% | 1.45% | 0.63% | 1.38% | 2.25% | 0.53% | 2.69% |
| ± 30% | 1.30% | 0.45% | 1.57% | 0.55% | 1.49% | 2.44% | 0.47% | 2.92% |
| ± 40% | 1.40% | 0.48% | 1.69% | 0.48% | 1.61% | 2.62% | 0.40% | 3.14% |
| ± 50% | 1.50% | 0.52% | 1.81% | 0.40% | 1.72% | 2.81% | 0.33% | 3.37% |
| ± 60% | 1.60% | 0.55% | 1.93% | 0.32% | 1.84% | 3.00% | 0.27% | 3.59% |
| ± 80% | 1.80% | 0.62% | 2.17% | 0.16% | 2.07% | 3.37% | 0.13% | 4.04% |
| ± 100% | 2.01% | 0.69% | 2.41% | 0.00% | 2.30% | 3.75% | 0.00% | 4.49% |
| Intervalles* | X10, Pa2 | X11, Pa3 | X12, Pa4 | X13, Pa5 | X14, Pa6 | X15, Pa7 | X16, Pa8 | X17, Pa10 | X18, Pa11 |
| Objectifs** | 1.81% | 12.56% | 0.51% | 21.48% | 6.63% | 1.42% | 0.72% | 0.35% | 0.63% |
| ± 5% | 1.90% | 13.19% | 0.54% | 20.41% | 6.30% | 1.49% | 0.76% | 0.37% | 0.66% |
| ± 10% | 1.99% | 13.57% | 0.56% | 19.67% | 5.96% | 1.56% | 0.79% | 0.39% | 0.69% |
| ± 20% | 2.17% | 14.04% | 0.61% | 18.44% | 5.30% | 1.70% | 0.87% | 0.43% | 0.76% |
| ± 30% | 2.35% | 14.50% | 0.67% | 17.22% | 4.64% | 1.84% | 0.94% | 0.46% | 0.82% |
| ± 40% | 2.53% | 14.97% | 0.72% | 15.99% | 3.98% | 1.98% | 1.01% | 0.50% | 0.88% |
| ± 50% | 2.71% | 15.44% | 0.77% | 14.76% | 3.31% | 2.13% | 1.08% | 0.53% | 0.94% |
| ± 60% | 2.89% | 15.90% | 0.82% | 13.53% | 2.65% | 2.27% | 1.15% | 0.57% | 1.01% |
| ± 80% | 3.25% | 17.59% | 0.92% | 11.07% | 1.33% | 2.55% | 1.30% | 0.64% | 1.13% |
| ± 100% | 3.61% | 19.29% | 1.02% | 12.29% | 0.00% | 2.83% | 1.44% | 0.71% | 1.26% |
| Intervalles* | X19, Pa12 | X20, Pa13 | X21, Pa14 | X22, Pa15 | X23, Pa16 | X24, Pa17 | X25, Pa18 | X26, Pa19 | X27, Pa20 |
| Objectifs** | 3.45% | 7.10% | 0.67% | 0.59% | 11.53% | 4.87% | 0.79% | 20.64% | 0.81% |
| ± 5% | 3.62% | 7.45% | 0.64% | 0.62% | 12.11% | 4.99% | 0.83% | 19.69% | 0.83% |
| ± 10% | 3.80% | 7.81% | 0.60% | 0.65% | 12.69% | 5.35% | 0.71% | 18.58% | 0.83% |
| ± 20% | 4.14% | 8.52% | 0.54% | 0.71% | 13.84% | 5.84% | 0.63% | 16.51% | 0.82% |
| ± 30% | 4.49% | 9.23% | 0.47% | 0.77% | 14.99% | 6.33% | 0.55% | 14.45% | 0.81% |
| ± 40% | 4.83% | 9.94% | 0.40% | 0.83% | 16.15% | 6.82% | 0.47% | 12.38% | 0.81% |
| ± 50% | 5.18% | 10.65% | 0.33% | 0.89% | 17.30% | 7.30% | 0.39% | 10.32% | 0.80% |
| ± 60% | 5.52% | 11.36% | 0.27% | 0.94% | 18.45% | 7.79% | 0.31% | 8.26% | 0.79% |
| ± 80% | 5.46% | 12.78% | 0.13% | 1.06% | 20.76% | 8.76% | 0.16% | 4.13% | 0.77% |
| ± 100% | 5.61% | 14.20% | 0.00% | 1.18% | 23.07% | 5.83% | 0.00% | 0.00% | 0.76% |
| Intervalles* | X28, Pp5 | X29, Pp8 | X30, Pp9 | X31, Pp11 | X32, Pp15 | X33, Pp16 | X34, Pp17 | X35, Pp18 | X36, Pp19 |
| Objectifs** | 0.20% | 0.41% | 0.11% | 0.13% | 0.29% | 4.23% | 0.59% | 0.59% | 87.61% |
| ± 5% | 0.21% | 0.43% | 0.12% | 0.14% | 0.30% | 4.45% | 0.62% | 0.62% | 87.14% |
| ± 10% | 0.22% | 0.45% | 0.13% | 0.15% | 0.32% | 4.66% | 0.65% | 0.65% | 86.66% |
| ± 20% | 0.24% | 0.49% | 0.14% | 0.16% | 0.35% | 5.08% | 0.71% | 0.71% | 85.72% |
| ± 30% | 0.26% | 0.53% | 0.15% | 0.17% | 0.37% | 5.51% | 0.77% | 0.77% | 84.77% |
| ± 40% | 0.28% | 0.57% | 0.16% | 0.19% | 0.40% | 5.93% | 0.83% | 0.83% | 83.82% |
| ± 50% | 0.30% | 0.61% | 0.17% | 0.20% | 0.43% | 6.35% | 0.89% | 0.89% | 82.88% |
| ± 60% | 0.32% | 0.65% | 0.18% | 0.21% | 0.46% | 6.78% | 0.34% | 0.94% | 82.53% |
| ± 80% | 0.36% | 0.73% | 0.21% | 0.24% | 0.52% | 7.62% | 0.12% | 1.06% | 80.98% |
| ± 100% | 0.40% | 0.81% | 0.23% | 0.27% | 0.58% | 8.47% | 0.00% | 1.18% | 79.32% |
*Les cellules grises, blanches et en gras correspondent aux opérations qui se situent respectivement aux bornes maximum, minimum et entre les bornes des intervalles.
**Objectifs de la Caisse d'Epargne du Limousin.
| Intervalles* | X2, G1 | X3, G2 | X4, G3 | X5, G4 | X6, G5 | X7, G6 | X8, G7 | X9, Pa1 |
| Objectifs** | 1.00% | 0.34% | 1.20% | 0.79% | 1.15% | 1.87% | 0.67% | 2.24% |
| ± 5% | 1.05% | 0.36% | 1.26% | 0.83% | 1.21% | 1.97% | 0.70% | 2.36% |
| ± 10% | 1.10% | 0.38% | 1.33% | 0.87% | 1.26% | 2.06% | 0.74% | 2.47% |
| ± 20% | 1.20% | 0.41% | 1.45% | 0.95% | 1.38% | 2.25% | 0.80% | 2.69% |
| ± 30% | 1.30% | 0.45% | 1.57% | 1.03% | 1.49% | 2.44% | 0.87% | 2.92% |
| ± 40% | 1.40% | 0.48% | 1.69% | 1.11% | 1.61% | 2.62% | 0.94% | 3.14% |
| ± 50% | 1.50% | 0.52% | 1.81% | 1.19% | 1.72% | 2.81% | 1.00% | 3.37% |
| ± 60% | 1.60% | 0.55% | 1.93% | 1.27% | 1.84% | 3.00% | 1.07% | 3.59% |
| ± 80% | 1.80% | 0.62% | 2.17% | 1.43% | 2.07% | 3.37% | 1.20% | 4.04% |
| ± 100% | 2.01% | 0.69% | 2.41% | 1.58% | 2.30% | 3.75% | 1.34% | 4.49% |
| Intervalles* | X10, Pa2 | X11, Pa3 | X12, Pa4 | X13, Pa5 | X14, Pa6 | X15, Pa7 | X16, Pa8 | X17, Pa10 | X18, Pa11 |
| Objectifs** | 1.81% | 12.56% | 0.51% | 21.48% | 6.63% | 1.42% | 0.72% | 0.35% | 0.63% |
| ± 5% | 1.90% | 11.93% | 0.54% | 20.41% | 6.30% | 1.49% | 0.76% | 0.37% | 0.66% |
| ± 10% | 1.99% | 11.30% | 0.56% | 19.67% | 5.96% | 1.56% | 0.79% | 0.39% | 0.69% |
| ± 20% | 2.17% | 10.05% | 0.61% | 18.44% | 5.30% | 1.70% | 0.87% | 0.43% | 0.76% |
| ± 30% | 2.35% | 8.79% | 0.67% | 17.22% | 4.64% | 1.84% | 0.94% | 0.46% | 0.82% |
| ± 40% | 2.53% | 7.53% | 0.72% | 15.99% | 3.98% | 1.98% | 1.01% | 0.50% | 0.88% |
| ± 50% | 2.71% | 6.28% | 0.77% | 14.76% | 3.31% | 2.13% | 1.08% | 0.53% | 0.94% |
| ± 60% | 2.89% | 5.02% | 0.82% | 13.53% | 2.65% | 2.27% | 1.15% | 0.57% | 1.01% |
| ± 80% | 3.25% | 4.60% | 0.92% | 11.07% | 1.33% | 2.55% | 1.30% | 0.64% | 1.13% |
| ± 100% | 3.61% | 6.08% | 1.02% | 8.62% | 0.00% | 2.83% | 1.44% | 0.71% | 1.26% |
| Intervalles* | X19, Pa12 | X20, Pa13 | X21, Pa14 | X22, Pa15 | X23, Pa16 | X24, Pa17 | X25, Pa18 | X26, Pa19 | X27, Pa20 |
| Objectifs** | 3.45% | 7.10% | 0.67% | 0.59% | 11.53% | 4.87% | 0.79% | 20.64% | 0.81% |
| ± 5% | 3.62% | 7.27% | 0.64% | 0.62% | 12.11% | 5.11% | 0.83% | 20.97% | 0.87% |
| ± 10% | 3.80% | 7.81% | 0.60% | 0.65% | 12.69% | 5.35% | 0.87% | 20.62% | 0.90% |
| ± 20% | 4.14% | 8.52% | 0.54% | 0.71% | 13.84% | 5.84% | 0.94% | 20.05% | 0.96% |
| ± 30% | 4.49% | 9.23% | 0.47% | 0.77% | 14.99% | 6.33% | 1.02% | 19.48% | 1.02% |
| ± 40% | 4.83% | 9.94% | 0.40% | 0.83% | 16.15% | 6.82% | 1.10% | 18.92% | 1.08% |
| ± 50% | 5.18% | 10.65% | 0.33% | 0.89% | 17.30% | 7.30% | 1.18% | 18.35% | 1.14% |
| ± 60% | 5.52% | 11.36% | 0.27% | 0.94% | 18.45% | 7.79% | 1.26% | 17.78% | 1.20% |
| ± 80% | 6.21% | 12.78% | 0.13% | 1.06% | 20.76% | 8.76% | 1.42% | 14.56% | 1.32% |
| ± 100% | 6.90% | 14.20% | 0.00% | 1.18% | 23.07% | 9.74% | 1.57% | 9.42% | 1.44% |
| Intervalles* | X28, Pp5 | X29, Pp8 | X30, Pp9 | X31, Pp11 | X32, Pp15 | X33, Pp16 | X34, Pp17 | X35, Pp18 | X36, Pp19 |
| Objectifs** | 0.20% | 0.41% | 0.11% | 0.13% | 0.29% | 4.23% | 0.59% | 0.59% | 87.61% |
| ± 5% | 0.21% | 0.43% | 0.12% | 0.14% | 0.30% | 4.45% | 0.62% | 0.56% | 87.05% |
| ± 10% | 0.22% | 0.45% | 0.13% | 0.15% | 0.32% | 4.66% | 0.65% | 0.53% | 86.49% |
| ± 20% | 0.24% | 0.49% | 0.14% | 0.16% | 0.35% | 5.08% | 0.71% | 0.47% | 85.37% |
| ± 30% | 0.26% | 0.53% | 0.15% | 0.17% | 0.37% | 5.51% | 0.77% | 0.41% | 84.25% |
| ± 40% | 0.28% | 0.57% | 0.16% | 0.19% | 0.40% | 5.93% | 0.83% | 0.35% | 83.13% |
| ± 50% | 0.30% | 0.61% | 0.17% | 0.20% | 0.43% | 6.35% | 0.89% | 0.30% | 82.01% |
| ± 60% | 0.32% | 0.65% | 0.18% | 0.21% | 0.46% | 6.78% | 0.94% | 0.24% | 80.88% |
| ± 80% | 0.36% | 0.73% | 0.21% | 0.24% | 0.52% | 7.62% | 1.06% | 0.12% | 78.64% |
| ± 100% | 0.40% | 0.81% | 0.23% | 0.27% | 0.58% | 8.47% | 1.18% | 0.00% | 76.40% |
*Les cellules grises, blanches et en gras correspondent aux opérations qui se situent respectivement aux bornes maximum, minimum et entre les bornes des intervalles.
**Objectifs de la Caisse d'Epargne du Limousin.
| Intervalles* | X2, G1 | X3, G2 | X4, G3 | X5, G4 | X6, G5 | X7, G6 | X8, G7 | X9, Pa1 |
| Objectifs** | 1.00% | 0.34% | 1.20% | 0.79% | 1.15% | 1.87% | 0.67% | 2.24% |
| ± 5% | 1.05% | 0.36% | 1.14% | 0.83% | 1.21% | 1.97% | 0.70% | 2.36% |
| ± 10% | 1.10% | 0.38% | 1.08% | 0.87% | 1.26% | 2.06% | 0.74% | 2.47% |
| ± 20% | 1.20% | 0.41% | 0.96% | 0.95% | 1.38% | 2.25% | 0.80% | 2.69% |
| ± 30% | 1.30% | 0.45% | 0.84% | 1.03% | 1.49% | 2.44% | 0.87% | 2.92% |
| ± 40% | 1.40% | 0.48% | 0.72% | 1.11% | 1.61% | 2.62% | 0.94% | 3.14% |
| ± 50% | 1.50% | 0.52% | 0.60% | 1.19% | 1.72% | 2.81% | 1.00% | 3.37% |
| ± 60% | 1.60% | 0.55% | 0.48% | 1.27% | 1.84% | 3.00% | 1.07% | 3.59% |
| ± 80% | 1.80% | 0.62% | 0.24% | 1.43% | 2.07% | 3.37% | 1.20% | 4.04% |
| ± 100% | 2.01% | 0.69% | 0.00% | 1.58% | 2.30% | 3.75% | 1.34% | 4.49% |
| Intervalles* | X10, Pa2 | X11, Pa3 | X12, Pa4 | X13, Pa5 | X14, Pa6 | X15, Pa7 | X16, Pa8 | X17, Pa10 | X18, Pa11 |
| Objectifs** | 1.81% | 12.56% | 0.51% | 21.48% | 6.63% | 1.42% | 0.72% | 0.35% | 0.63% |
| ± 5% | 1.90% | 11.93% | 0.54% | 20.41% | 6.30% | 1.49% | 0.76% | 0.37% | 0.60% |
| ± 10% | 1.99% | 11.30% | 0.56% | 19.67% | 5.96% | 1.56% | 0.79% | 0.39% | 0.57% |
| ± 20% | 2.17% | 10.05% | 0.61% | 18.44% | 5.30% | 1.70% | 0.87% | 0.43% | 0.50% |
| ± 30% | 2.35% | 8.79% | 0.67% | 17.22% | 4.64% | 1.84% | 0.94% | 0.46% | 0.44% |
| ± 40% | 2.53% | 7.53% | 0.72% | 15.99% | 3.98% | 1.98% | 1.01% | 0.50% | 0.38% |
| ± 50% | 2.71% | 6.28% | 0.77% | 14.76% | 3.31% | 2.13% | 1.08% | 0.53% | 0.31% |
| ± 60% | 2.89% | 5.02% | 0.82% | 13.53% | 2.65% | 2.27% | 1.15% | 0.57% | 0.25% |
| ± 80% | 3.25% | 2.51% | 0.92% | 11.07% | 1.33% | 2.55% | 1.30% | 0.64% | 0.13% |
| ± 100% | 3.61% | 0.00% | 1.02% | 8.62% | 0.00% | 2.83% | 1.44% | 0.71% | 0.00% |
| Intervalles* | X19, Pa12 | X20, Pa13 | X21, Pa14 | X22, Pa15 | X23, Pa16 | X24, Pa17 | X25, Pa18 | X26, Pa19 | X27, Pa20 |
| Objectifs** | 3.45% | 7.10% | 0.67% | 0.59% | 11.53% | 4.87% | 0.79% | 20.64% | 0.81% |
| ± 5% | 3.62% | 7.27% | 0.64% | 0.62% | 12.11% | 5.11% | 0.83% | 21.15% | 0.87% |
| ± 10% | 3.80% | 7.81% | 0.60% | 0.65% | 12.69% | 5.35% | 0.87% | 20.99% | 0.90% |
| ± 20% | 4.14% | 8.52% | 0.54% | 0.71% | 13.84% | 5.84% | 0.94% | 20.79% | 0.96% |
| ± 30% | 4.49% | 9.23% | 0.47% | 0.77% | 14.99% | 6.33% | 1.02% | 20.58% | 1.02% |
| ± 40% | 4.83% | 9.94% | 0.40% | 0.83% | 16.15% | 6.82% | 1.10% | 20.38% | 1.08% |
| ± 50% | 5.18% | 10.65% | 0.33% | 0.89% | 17.30% | 7.30% | 1.18% | 20.18% | 1.14% |
| ± 60% | 5.52% | 11.36% | 0.27% | 0.94% | 18.45% | 7.79% | 1.26% | 19.98% | 1.20% |
| ± 80% | 4.50% | 12.78% | 0.13% | 1.06% | 20.76% | 8.76% | 1.42% | 21.29% | 1.32% |
| ± 100% | 3.07% | 14.20% | 0.00% | 1.18% | 23.07% | 9.74% | 1.57% | 23.01% | 1.44% |
| Intervalles* | X28, Pp5 | X29, Pp8 | X30, Pp9 | X31, Pp11 | X32, Pp15 | X33, Pp16 | X34, Pp17 | X35, Pp18 | X36, Pp19 |
| Objectifs** | 0.20% | 0.41% | 0.11% | 0.13% | 0.29% | 4.23% | 0.59% | 0.59% | 87.61% |
| ± 5% | 0.21% | 0.43% | 0.12% | 0.14% | 0.30% | 4.45% | 0.62% | 0.56% | 87.05% |
| ± 10% | 0.22% | 0.45% | 0.13% | 0.15% | 0.32% | 4.66% | 0.65% | 0.53% | 86.49% |
| ± 20% | 0.24% | 0.49% | 0.14% | 0.16% | 0.35% | 5.08% | 0.71% | 0.47% | 85.37% |
| ± 30% | 0.26% | 0.53% | 0.15% | 0.17% | 0.37% | 5.51% | 0.77% | 0.41% | 84.25% |
| ± 40% | 0.28% | 0.57% | 0.16% | 0.19% | 0.40% | 5.93% | 0.83% | 0.35% | 83.13% |
| ± 50% | 0.30% | 0.61% | 0.17% | 0.20% | 0.43% | 6.35% | 0.89% | 0.30% | 82.01% |
| ± 60% | 0.32% | 0.65% | 0.18% | 0.21% | 0.46% | 6.78% | 0.94% | 0.24% | 80.88% |
| ± 80% | 0.36% | 0.73% | 0.21% | 0.24% | 0.52% | 7.62% | 1.06% | 0.12% | 78.64% |
| ± 100% | 0.40% | 0.81% | 0.23% | 0.27% | 0.58% | 8.47% | 1.18% | 0.00% | 76.40% |
*Les cellules grises, blanches et en gras correspondent aux opérations qui se situent respectivement aux bornes maximum, minimum et entre les bornes des intervalles.
**Objectifs de la Caisse d'Epargne du Limousin.
| Intervalles* | X2, G1 | X3, G2 | X4, G3 | X5, G4 | X6, G5 | X7, G6 | X8, G7 | X9, Pa1 |
| Objectifs** | 1.00% | 0.34% | 1.20% | 0.79% | 1.15% | 1.87% | 0.67% | 2.24% |
| ± 5% | 1.05% | 0.36% | 1.26% | 0.75% | 1.21% | 1.97% | 0.63% | 2.36% |
| ± 10% | 1.10% | 0.38% | 1.33% | 0.71% | 1.26% | 2.06% | 0.60% | 2.47% |
| ± 20% | 1.20% | 0.41% | 1.45% | 0.63% | 1.38% | 2.25% | 0.53% | 2.69% |
| ± 30% | 1.30% | 0.24% | 1.57% | 0.55% | 1.49% | 2.44% | 0.47% | 2.92% |
| ± 40% | 1.40% | 0.21% | 1.69% | 0.48% | 1.61% | 2.62% | 0.40% | 3.14% |
| ± 50% | 1.50% | 0.17% | 1.81% | 0.40% | 1.72% | 2.81% | 0.33% | 3.37% |
| ± 60% | 1.60% | 0.14% | 1.93% | 0.32% | 1.84% | 3.00% | 0.27% | 3.59% |
| ± 80% | 1.80% | 0.07% | 2.17% | 0.16% | 2.07% | 3.37% | 0.13% | 4.04% |
| ± 100% | 2.01% | 0.00% | 2.41% | 0.00% | 2.30% | 3.75% | 0.00% | 4.49% |
| Intervalles* | X10, Pa2 | X11, Pa3 | X12, Pa4 | X13, Pa5 | X14, Pa6 | X15, Pa7 | X16, Pa8 | X17, Pa10 | X18, Pa11 |
| Objectifs** | 1.81% | 12.56% | 0.51% | 21.48% | 6.63% | 1.42% | 0.72% | 0.35% | 0.63% |
| ± 5% | 1.90% | 11.93% | 0.54% | 22.25% | 6.30% | 1.35% | 0.76% | 0.37% | 0.66% |
| ± 10% | 1.99% | 11.30% | 0.56% | 23.02% | 5.96% | 1.28% | 0.79% | 0.39% | 0.69% |
| ± 20% | 2.17% | 10.05% | 0.61% | 24.56% | 5.30% | 1.13% | 0.87% | 0.43% | 0.76% |
| ± 30% | 2.35% | 8.79% | 0.67% | 26.10% | 4.64% | 0.99% | 0.94% | 0.46% | 0.82% |
| ± 40% | 2.53% | 7.53% | 0.72% | 27.64% | 3.98% | 0.85% | 1.01% | 0.50% | 0.88% |
| ± 50% | 2.71% | 6.28% | 0.77% | 29.18% | 3.31% | 0.71% | 1.08% | 0.53% | 0.94% |
| ± 60% | 2.89% | 5.02% | 0.82% | 30.72% | 2.65% | 0.57% | 1.15% | 0.57% | 1.01% |
| ± 80% | 3.25% | 5.07% | 0.92% | 31.24% | 1.33% | 0.28% | 1.30% | 0.64% | 1.13% |
| ± 100% | 3.61% | 9.11% | 1.02% | 29.32% | 0.00% | 0.00% | 1.44% | 0.71% | 1.26% |
| Intervalles* | X19, Pa12 | X20, Pa13 | X21, Pa14 | X22, Pa15 | X23, Pa16 | X24, Pa17 | X25, Pa18 | X26, Pa19 | X27, Pa20 |
| Objectifs** | 3.45% | 7.10% | 0.67% | 0.59% | 11.53% | 4.87% | 0.79% | 20.64% | 0.81% |
| ± 5% | 3.28% | 7.45% | 0.64% | 0.62% | 12.11% | 5.11% | 0.75% | 19.61% | 0.77% |
| ± 10% | 3.11% | 7.81% | 0.60% | 0.65% | 12.69% | 5.35% | 0.71% | 18.58% | 0.73% |
| ± 20% | 2.76% | 8.52% | 0.54% | 0.71% | 13.84% | 5.84% | 0.63% | 16.51% | 0.65% |
| ± 30% | 2.42% | 9.23% | 0.47% | 0.77% | 14.99% | 6.33% | 0.55% | 14.45% | 0.57% |
| ± 40% | 2.07% | 9.94% | 0.40% | 0.83% | 16.15% | 6.82% | 0.47% | 12.38% | 0.48% |
| ± 50% | 1.73% | 10.65% | 0.33% | 0.89% | 17.30% | 7.30% | 0.39% | 10.32% | 0.40% |
| ± 60% | 1.38% | 11.36% | 0.27% | 0.94% | 18.45% | 7.79% | 0.31% | 8.26% | 0.32% |
| ± 80% | 0.69% | 12.78% | 0.13% | 1.06% | 20.76% | 8.76% | 0.16% | 4.13% | 0.16% |
| ± 100% | 0.00% | 14.20% | 0.00% | 1.18% | 23.07% | 8.18% | 0.00% | 0.00% | 0.00% |
| Intervalles* | X28, Pp5 | X29, Pp8 | X30, Pp9 | X31, Pp11 | X32, Pp15 | X33, Pp16 | X34, Pp17 | X35, Pp18 | X36, Pp19 |
| Objectifs** | 0.20% | 0.41% | 0.11% | 0.13% | 0.29% | 4.23% | 0.59% | 0.59% | 87.61% |
| ± 5% | 0.21% | 0.43% | 0.11% | 0.14% | 0.30% | 4.45% | 0.62% | 0.62% | 87.15% |
| ± 10% | 0.22% | 0.45% | 0.10% | 0.15% | 0.32% | 4.66% | 0.65% | 0.65% | 86.69% |
| ± 20% | 0.24% | 0.49% | 0.09% | 0.16% | 0.35% | 5.08% | 0.71% | 0.71% | 85.76% |
| ± 30% | 0.26% | 0.53% | 0.08% | 0.17% | 0.37% | 5.51% | 0.77% | 0.77% | 85.04% |
| ± 40% | 0.28% | 0.57% | 0.07% | 0.19% | 0.40% | 5.93% | 0.55% | 0.83% | 84.47% |
| ± 50% | 0.30% | 0.61% | 0.06% | 0.20% | 0.43% | 6.35% | 0.30% | 0.89% | 83.92% |
| ± 60% | 0.32% | 0.65% | 0.05% | 0.21% | 0.46% | 6.78% | 0.24% | 0.94% | 83.19% |
| ± 80% | 0.36% | 0.73% | 0.02% | 0.24% | 0.52% | 7.62% | 0.12% | 0.96% | 81.82% |
| ± 100% | 0.40% | 0.81% | 0.00% | 0.27% | 0.58% | 8.47% | 0.00% | 0.35% | 81.07% |
*Les cellules grises, blanches et en gras correspondent aux opérations qui se situent respectivement aux bornes maximum, minimum et entre les bornes des intervalles.
**Objectifs de la Caisse d'Epargne du Limousin
| Intervalles* | X2, G1 | X3, G2 | X4, G3 | X5, G4 | X6, G5 | X7, G6 | X8, G7 | X9, Pa1 |
| Objectifs** | 1.00% | 0.34% | 1.20% | 0.79% | 1.15% | 1.87% | 0.67% | 2.24% |
| ± 5% | 1.05% | 0.36% | 1.26% | 0.75% | 1.21% | 1.97% | 0.63% | 2.36% |
| ± 10% | 1.10% | 0.38% | 1.33% | 0.71% | 1.26% | 2.06% | 0.60% | 2.47% |
| ± 20% | 1.20% | 0.41% | 1.45% | 0.63% | 1.38% | 2.25% | 0.53% | 2.69% |
| ± 30% | 1.30% | 0.24% | 1.57% | 0.55% | 1.49% | 2.44% | 0.47% | 2.92% |
| ± 40% | 1.40% | 0.21% | 1.69% | 0.48% | 1.61% | 2.62% | 0.40% | 3.14% |
| ± 50% | 1.50% | 0.17% | 1.81% | 0.40% | 1.72% | 2.81% | 0.33% | 3.37% |
| ± 60% | 1.60% | 0.14% | 1.93% | 0.32% | 1.84% | 3.00% | 0.27% | 3.59% |
| ± 80% | 1.80% | 0.07% | 2.17% | 0.16% | 2.07% | 3.37% | 0.13% | 4.04% |
| ± 100% | 2.01% | 0.00% | 2.41% | 0.00% | 2.30% | 3.75% | 0.00% | 4.49% |
| Intervalles* | X10, Pa2 | X11, Pa3 | X12, Pa4 | X13, Pa5 | X14, Pa6 | X15, Pa7 | X16, Pa8 | X17, Pa10 | X18, Pa11 |
| Objectifs** | 1.81% | 12.56% | 0.51% | 21.48% | 6.63% | 1.42% | 0.72% | 0.35% | 0.63% |
| ± 5% | 1.90% | 11.93% | 0.54% | 22.18% | 6.30% | 1.35% | 0.76% | 0.37% | 0.66% |
| ± 10% | 1.99% | 11.30% | 0.56% | 22.92% | 5.96% | 1.28% | 0.79% | 0.39% | 0.69% |
| ± 20% | 2.17% | 10.05% | 0.61% | 24.38% | 5.30% | 1.13% | 0.87% | 0.43% | 0.76% |
| ± 30% | 2.35% | 8.79% | 0.67% | 25.85% | 4.64% | 0.99% | 0.94% | 0.46% | 0.82% |
| ± 40% | 2.53% | 7.53% | 0.72% | 27.32% | 3.98% | 0.85% | 1.01% | 0.50% | 0.88% |
| ± 50% | 2.71% | 6.28% | 0.77% | 28.78% | 3.31% | 0.71% | 1.08% | 0.53% | 0.94% |
| ± 60% | 2.89% | 5.02% | 0.82% | 30.25% | 2.65% | 0.57% | 1.15% | 0.57% | 1.01% |
| ± 80% | 3.25% | 5.22% | 0.92% | 30.47% | 1.33% | 0.28% | 1.30% | 0.64% | 1.13% |
| ± 100% | 3.61% | 9.32% | 1.02% | 28.66% | 0.00% | 0.00% | 1.44% | 0.71% | 1.26% |
| Intervalles* | X19, Pa12 | X20, Pa13 | X21, Pa14 | X22, Pa15 | X23, Pa16 | X24, Pa17 | X25, Pa18 | X26, Pa19 | X27, Pa20 |
| Objectifs** | 3.45% | 7.10% | 0.67% | 0.59% | 11.53% | 4.87% | 0.79% | 20.64% | 0.81% |
| ± 5% | 3.28% | 7.45% | 0.64% | 0.62% | 12.11% | 5.11% | 0.75% | 19.61% | 0.83% |
| ± 10% | 3.11% | 7.81% | 0.60% | 0.65% | 12.69% | 5.35% | 0.71% | 18.58% | 0.83% |
| ± 20% | 2.76% | 8.52% | 0.54% | 0.71% | 13.84% | 5.84% | 0.63% | 16.51% | 0.82% |
| ± 30% | 2.42% | 9.23% | 0.47% | 0.77% | 14.99% | 6.33% | 0.55% | 14.45% | 0.81% |
| ± 40% | 2.07% | 9.94% | 0.40% | 0.83% | 16.15% | 6.82% | 0.47% | 12.38% | 0.81% |
| ± 50% | 1.73% | 10.65% | 0.33% | 0.89% | 17.30% | 7.30% | 0.39% | 10.32% | 0.80% |
| ± 60% | 1.38% | 11.36% | 0.27% | 0.94% | 18.45% | 7.79% | 0.31% | 8.26% | 0.79% |
| ± 80% | 0.69% | 12.78% | 0.13% | 1.06% | 20.76% | 8.76% | 0.16% | 4.13% | 0.77% |
| ± 100% | 0.00% | 14.20% | 0.00% | 1.18% | 23.07% | 7.87% | 0.00% | 0.00% | 0.76% |
| Intervalles* | X28, Pp5 | X29, Pp8 | X30, Pp9 | X31, Pp11 | X32, Pp15 | X33, Pp16 | X34, Pp17 | X35, Pp18 | X36, Pp19 |
| Objectifs** | 0.20% | 0.41% | 0.11% | 0.13% | 0.29% | 4.23% | 0.59% | 0.59% | 87.61% |
| ± 5% | 0.21% | 0.43% | 0.11% | 0.14% | 0.30% | 4.45% | 0.62% | 0.62% | 87.15% |
| ± 10% | 0.22% | 0.45% | 0.10% | 0.15% | 0.32% | 4.66% | 0.65% | 0.65% | 86.69% |
| ± 20% | 0.24% | 0.49% | 0.09% | 0.16% | 0.35% | 5.08% | 0.71% | 0.71% | 85.76% |
| ± 30% | 0.26% | 0.53% | 0.08% | 0.17% | 0.37% | 5.51% | 0.77% | 0.77% | 85.04% |
| ± 40% | 0.28% | 0.57% | 0.07% | 0.19% | 0.40% | 5.93% | 0.50% | 0.83% | 84.52% |
| ± 50% | 0.30% | 0.61% | 0.06% | 0.20% | 0.43% | 6.35% | 0.30% | 0.89% | 83.92% |
| ± 60% | 0.32% | 0.65% | 0.05% | 0.21% | 0.46% | 6.78% | 0.24% | 0.94% | 83.19% |
| ± 80% | 0.36% | 0.73% | 0.02% | 0.24% | 0.52% | 7.62% | 0.12% | 0.61% | 82.17% |
| ± 100% | 0.40% | 0.81% | 0.00% | 0.27% | 0.58% | 8.47% | 0.00% | 0.00% | 81.42% |
*Les cellules grises, blanches et en gras correspondent aux opérations qui se situent respectivement aux bornes maximum, minimum et entre les bornes des intervalles.
**Objectifs de la Caisse d'Epargne du Limousin
| Intervalles* | X2, G1 | X3, G2 | X4, G3 | X5, G4 | X6, G5 | X7, G6 | X8, G7 | X9, Pa1 |
| Objectifs** | 1.00% | 0.34% | 1.20% | 0.79% | 1.15% | 1.87% | 0.67% | 2.24% |
| ± 5% | 1.05% | 0.36% | 1.26% | 0.75% | 1.21% | 1.97% | 0.63% | 2.36% |
| ± 10% | 1.10% | 0.38% | 1.33% | 0.71% | 1.26% | 2.06% | 0.60% | 2.47% |
| ± 20% | 1.20% | 0.41% | 1.45% | 0.63% | 1.38% | 2.25% | 0.53% | 2.69% |
| ± 30% | 1.30% | 0.45% | 1.57% | 0.55% | 1.49% | 2.44% | 0.47% | 2.92% |
| ± 40% | 1.40% | 0.48% | 1.69% | 0.48% | 1.61% | 2.62% | 0.40% | 3.14% |
| ± 50% | 1.50% | 0.52% | 1.81% | 0.40% | 1.72% | 2.81% | 0.33% | 3.37% |
| ± 60% | 1.60% | 0.55% | 1.93% | 0.32% | 1.84% | 3.00% | 0.27% | 3.59% |
| ± 80% | 1.80% | 0.62% | 2.17% | 0.16% | 2.07% | 3.37% | 0.13% | 4.04% |
| ± 100% | 2.01% | 0.69% | 2.41% | 0.00% | 2.30% | 3.75% | 0.00% | 4.49% |
| Intervalles* | X10, Pa2 | X11, Pa3 | X12, Pa4 | X13, Pa5 | X14, Pa6 | X15, Pa7 | X16, Pa8 | X17, Pa10 | X18, Pa11 |
| Objectifs** | 1.81% | 12.56% | 0.51% | 21.48% | 6.63% | 1.42% | 0.72% | 0.35% | 0.63% |
| ± 5% | 1.90% | 13.19% | 0.54% | 20.41% | 6.30% | 1.49% | 0.76% | 0.37% | 0.66% |
| ± 10% | 1.99% | 13.81% | 0.56% | 19.67% | 5.96% | 1.56% | 0.79% | 0.39% | 0.69% |
| ± 20% | 2.17% | 15.07% | 0.61% | 18.44% | 5.30% | 1.70% | 0.87% | 0.43% | 0.76% |
| ± 30% | 2.35% | 16.32% | 0.67% | 17.22% | 4.64% | 1.84% | 0.94% | 0.46% | 0.82% |
| ± 40% | 2.53% | 17.40% | 0.72% | 15.99% | 3.98% | 1.98% | 1.01% | 0.50% | 0.88% |
| ± 50% | 2.71% | 18.47% | 0.77% | 14.76% | 3.31% | 2.13% | 1.08% | 0.53% | 0.94% |
| ± 60% | 2.89% | 19.54% | 0.82% | 13.53% | 2.65% | 2.27% | 1.15% | 0.57% | 1.01% |
| ± 80% | 3.25% | 22.60% | 0.92% | 11.07% | 1.33% | 2.55% | 1.30% | 0.64% | 1.13% |
| ± 100% | 3.61% | 25.11% | 1.02% | 10.64% | 0.00% | 1.61% | 1.44% | 0.71% | 1.26% |
| Intervalles* | X19, Pa12 | X20, Pa13 | X21, Pa14 | X22, Pa15 | X23, Pa16 | X24, Pa17 | X25, Pa18 | X26, Pa19 | X27, Pa20 |
| Objectifs** | 3.45% | 7.10% | 0.67% | 0.59% | 11.53% | 4.87% | 0.79% | 20.64% | 0.81% |
| ± 5% | 3.62% | 7.45% | 0.64% | 0.62% | 12.11% | 4.99% | 0.83% | 19.68% | 0.85% |
| ± 10% | 3.50% | 7.81% | 0.60% | 0.65% | 12.69% | 5.35% | 0.71% | 18.58% | 0.89% |
| ± 20% | 2.96% | 8.52% | 0.54% | 0.71% | 13.84% | 5.84% | 0.63% | 16.51% | 0.97% |
| ± 30% | 2.43% | 9.23% | 0.47% | 0.77% | 14.99% | 6.33% | 0.55% | 14.45% | 1.05% |
| ± 40% | 2.07% | 9.94% | 0.40% | 0.83% | 16.15% | 6.82% | 0.47% | 12.38% | 1.13% |
| ± 50% | 1.73% | 10.65% | 0.33% | 0.89% | 17.30% | 7.30% | 0.39% | 10.32% | 1.21% |
| ± 60% | 1.38% | 11.36% | 0.27% | 0.94% | 18.45% | 7.79% | 0.31% | 8.26% | 1.29% |
| ± 80% | 0.91% | 12.78% | 0.13% | 1.06% | 20.76% | 8.76% | 0.16% | 4.13% | 0.30% |
| ± 100% | 1.65% | 14.20% | 0.00% | 1.18% | 23.07% | 7.58% | 0.00% | 0.00% | 0.00% |
| Intervalles* | X28, Pp5 | X29, Pp8 | X30, Pp9 | X31, Pp11 | X32, Pp15 | X33, Pp16 | X34, Pp17 | X35, Pp18 | X36, Pp19 |
| Objectifs** | 0.20% | 0.41% | 0.11% | 0.13% | 0.29% | 4.23% | 0.59% | 0.59% | 87.61% |
| ± 5% | 0.21% | 0.43% | 0.12% | 0.14% | 0.30% | 4.45% | 0.62% | 0.62% | 87.14% |
| ± 10% | 0.22% | 0.45% | 0.13% | 0.15% | 0.32% | 4.66% | 0.65% | 0.65% | 86.66% |
| ± 20% | 0.24% | 0.49% | 0.14% | 0.16% | 0.35% | 5.08% | 0.71% | 0.71% | 85.72% |
| ± 30% | 0.26% | 0.53% | 0.15% | 0.17% | 0.37% | 5.51% | 0.77% | 0.77% | 84.77% |
| ± 40% | 0.28% | 0.57% | 0.16% | 0.19% | 0.40% | 5.93% | 0.83% | 0.83% | 83.82% |
| ± 50% | 0.30% | 0.61% | 0.17% | 0.20% | 0.43% | 6.35% | 0.89% | 0.89% | 82.88% |
| ± 60% | 0.32% | 0.65% | 0.18% | 0.21% | 0.46% | 6.78% | 0.24% | 0.94% | 82.64% |
| ± 80% | 0.36% | 0.73% | 0.21% | 0.24% | 0.52% | 7.62% | 0.12% | 1.06% | 80.98% |
| ± 100% | 0.40% | 0.81% | 0.23% | 0.27% | 0.58% | 8.47% | 0.00% | 1.18% | 79.32% |
*Les cellules grises, blanches et en gras correspondent aux opérations qui se situent respectivement aux bornes maximum, minimum et entre les bornes des intervalles.
**Objectifs de la Caisse d'Epargne du Limousin
| Intervalles* | X2, G1 | X3, G2 | X4, G3 | X5, G4 | X6, G5 | X7, G6 | X8, G7 | X9, Pa1 |
| Objectifs** | 1.00% | 0.34% | 1.20% | 0.79% | 1.15% | 1.87% | 0.67% | 2.24% |
| 39% | 2.01% | 0.69% | 2.41% | 0.00% | 2.30% | 3.75% | 0.00% | 4.49% |
| 40% | 2.01% | 0.69% | 2.41% | 0.00% | 2.30% | 3.75% | 0.00% | 4.49% |
| 41% | 2.01% | 0.69% | 2.41% | 0.00% | 2.30% | 3.75% | 0.00% | 4.49% |
| 42% | 2.01% | 0.69% | 2.41% | 0.00% | 2.30% | 3.75% | 0.00% | 4.49% |
| Intervalles* | X10, Pa2 | X11, Pa3 | X12, Pa4 | X13, Pa5 | X14, Pa6 | X15, Pa7 | X16, Pa8 | X17, Pa10 | X18, Pa11 |
| Objectifs** | 1.81% | 12.56% | 0.51% | 21.48% | 6.63% | 1.42% | 0.72% | 0.35% | 0.63% |
| 39% | 3.61% | 25.11% | 1.02% | 10.64% | 0.00% | 1.61% | 1.44% | 0.71% | 1.26% |
| 40% | 3.61% | 25.11% | 1.02% | 0.00% | 0.00% | 2.83% | 1.44% | 0.71% | 1.26% |
| 41% | 3.61% | 25.11% | 1.02% | 0.00% | 0.00% | 2.83% | 1.44% | 0.00% | 1.26% |
| 42% | 3.61% | 25.11% | 1.02% | 0.00% | 0.00% | 2.83% | 1.44% | 0.00% | 1.26% |
| Intervalles* | X19, Pa12 | X20, Pa13 | X21, Pa14 | X22, Pa15 | X23, Pa16 | X24, Pa17 | X25, Pa18 | X26, Pa19 | X27, Pa20 |
| Objectifs** | 3.45% | 7.10% | 0.67% | 0.59% | 11.53% | 4.87% | 0.79% | 20.64% | 0.81% |
| 39% | 1.65% | 14.20% | 0.00% | 1.18% | 23.07% | 7.58% | 0.00% | 0.00% | 0.00% |
| 40% | 6.90% | 14.20% | 0.00% | 1.18% | 23.07% | 2.24% | 1.57% | 6.33% | 1.62% |
| 41% | 6.90% | 0.00% | 0.00% | 1.18% | 20.29% | 0.00% | 1.57% | 26.25% | 1.62% |
| 42% | 6.90% | 0.00% | 0.00% | 1.18% | 7.42% | 0.00% | 1.57% | 39.12% | 1.62% |
| Intervalles* | X28, Pp5 | X29, Pp8 | X30, Pp9 | X31, Pp11 | X32, Pp15 | X33, Pp16 | X34, Pp17 | X35, Pp18 | X36, Pp19 |
| Objectifs** | 0.20% | 0.41% | 0.11% | 0.13% | 0.29% | 4.23% | 0.59% | 0.59% | 87.61% |
| 39% | 0.40% | 0.81% | 0.23% | 0.27% | 0.58% | 8.47% | 0.00% | 1.18% | 79.32% |
| 40% | 0.40% | 0.81% | 0.23% | 0.27% | 0.58% | 8.47% | 0.54% | 1.18% | 78.79% |
| 41% | 0.40% | 0.81% | 0.23% | 0.27% | 0.58% | 8.47% | 1.18% | 1.18% | 78.14% |
| 42% | 0.40% | 0.81% | 0.23% | 0.27% | 0.58% | 8.47% | 1.18% | 1.18% | 78.14% |
*Les cellules grises, blanches et en gras correspondent aux opérations qui se situent respectivement aux bornes maximum, minimum et entre les bornes des intervalles.
**Objectifs de la Caisse d'Epargne du Limousin
| X2, G1 | X3, G2 | X4, G3 | X5, G4 | X6, G5 | X7, G6 | X8, G7 | X9, Pa1 | |
| Objectifs** | 1.00% | 0.34% | 1.20% | 0.79% | 1.15% | 1.87% | 0.67% | 2.24% |
| b=0 | 0.00% | 0.00% | 94.03% | 0.00% | 100.00% | 0.00% | 0.00% | 0.00% |
| b=0.01 | 0.00% | 0.00% | 12.24% | 0.00% | 99.72% | 0.00% | 0.00% | 0.00% |
| b=0.03 | 0.00% | 0.00% | 1.43% | 0.00% | 97.55% | 0.00% | 0.00% | 0.00% |
| b=1 | 1.33% | 0.00% | 0.00% | 0.00% | 95.32% | 0.00% | 0.00% | 0.00% |
| b=5 | 1.67% | 0.00% | 0.00% | 0.00% | 94.76% | 0.00% | 0.00% | 0.00% |
| b=7 | 1.60% | 0.00% | 0.00% | 0.00% | 94.22% | 0.00% | 0.00% | 0.00% |
| b=8 | 1.56% | 0.00% | 0.00% | 0.00% | 93.99% | 0.00% | 0.00% | 0.00% |
| Intervalles* | X10, Pa2 | X11, Pa3 | X12, Pa4 | X13, Pa5 | X14, Pa6 | X15, Pa7 | X16, Pa8 | X17, Pa10 | X18, Pa11 |
| Objectifs** | 1.81% | 12.56% | 0.51% | 21.48% | 6.63% | 1.42% | 0.72% | 0.35% | 0.63% |
| b=0 | 0.00% | 0.00% | 0.00% | 0.00% | 0.00% | 0.00% | 0.00% | 0.00% | 0.00% |
| b=0.01 | 81.80% | 0.00% | 0.00% | 0.00% | 0.00% | 0.00% | 0.00% | 0.00% | 0.00% |
| b=0.03 | 92.72% | 0.00% | 0.00% | 0.00% | 0.00% | 0.00% | 0.00% | 0.00% | 0.00% |
| b=1 | 92.11% | 0.00% | 0.00% | 0.00% | 0.00% | 0.00% | 0.00% | 0.00% | 0.00% |
| b=5 | 90.26% | 0.00% | 0.66% | 0.00% | 0.00% | 0.00% | 0.00% | 0.00% | 0.00% |
| b=7 | 88.85% | 0.00% | 1.29% | 0.00% | 0.00% | 0.00% | 0.00% | 0.00% | 0.00% |
| b=8 | 88.27% | 0.00% | 1.54% | 0.00% | 0.00% | 0.00% | 0.00% | 0.00% | 0.00% |
| Intervalles* | X19, Pa12 | X20, Pa13 | X21, Pa14 | X22, Pa15 | X23, Pa16 | X24, Pa17 | X25, Pa18 | X26, Pa19 | X27, Pa20 |
| Objectifs** | 3.45% | 7.10% | 0.67% | 0.59% | 11.53% | 4.87% | 0.79% | 20.64% | 0.81% |
| b=0 | 0.00% | 0.00% | 0.00% | 0.00% | 0.00% | 0.00% | 0.00% | 0.00% | 5.97% |
| b=0.01 | 0.00% | 0.00% | 0.00% | 0.00% | 0.00% | 0.00% | 0.00% | 0.00% | 5.96% |
| b=0.03 | 0.00% | 0.00% | 0.00% | 0.00% | 0.00% | 0.00% | 0.00% | 0.00% | 5.85% |
| b=1 | 0.00% | 0.00% | 0.00% | 0.00% | 2.17% | 0.00% | 0.00% | 0.00% | 5.72% |
| b=5 | 0.00% | 0.00% | 0.00% | 0.00% | 3.39% | 0.00% | 0.00% | 0.00% | 5.69% |
| b=7 | 0.00% | 0.00% | 0.00% | 0.00% | 4.20% | 0.00% | 0.00% | 0.00% | 5.66% |
| b=8 | 0.00% | 0.00% | 0.00% | 0.00% | 4.54% | 0.00% | 0.00% | 0.00% | 5.65% |
| Intervalles* | X28, Pp5 | X29, Pp8 | X30, Pp9 | X31, Pp11 | X32, Pp15 | X33, Pp16 | X34, Pp17 | X35, Pp18 | X36, Pp19 |
| Objectifs** | 0.20% | 0.41% | 0.11% | 0.13% | 0.29% | 4.23% | 0.59% | 0.59% | 87.61% |
| b=0 | 0.00% | 0.00% | 0.00% | 0.00% | 0.00% | 0.00% | 0.00% | 0.00% | 0.00% |
| b=0.01 | 0.00% | 0.00% | 0.00% | 0.00% | 0.28% | 0.00% | 0.00% | 0.00% | 0.00% |
| b=0.03 | 0.00% | 0.00% | 0.00% | 0.00% | 2.45% | 0.00% | 0.00% | 0.00% | 0.00% |
| b=1 | 0.00% | 0.00% | 0.00% | 0.00% | 3.35% | 0.00% | 0.00% | 0.00% | 0.00% |
| b=5 | 0.00% | 0.00% | 0.00% | 0.00% | 3.57% | 0.00% | 0.00% | 0.00% | 0.00% |
| b=7 | 0.00% | 0.00% | 0.00% | 0.00% | 3.55% | 0.00% | 0.00% | 0.63% | 0.00% |
| b=8 | 0.00% | 0.00% | 0.00% | 0.00% | 3.54% | 0.00% | 0.00% | 0.90% | 0.00% |
*Les cellules grises, blanches et en gras correspondent aux opérations qui se situent respectivement aux bornes maximum, minimum et entre les bornes des intervalles.
**Objectifs de la Caisse d'Epargne du Limousin
| X2, G1 | X3, G2 | X4, G3 | X5, G4 | X6, G5 | X7, G6 | X8, G7 | X9, Pa1 | |
| Objectifs** | 1.00% | 0.34% | 1.20% | 0.79% | 1.15% | 1.87% | 0.67% | 2.24% |
| Scénario 1 | 0.00% | 0.00% | 17.58% | 0.00% | 100.00% | 0.00% | 0.00% | 0.00% |
| Scénario 2 | 0.00% | 0.00% | 17.58% | 0.00% | 100.00% | 0.00% | 0.00% | 0.00% |
| Scénario 3 | 0.00% | 0.00% | 1.48% | 0.00% | 97.46% | 0.00% | 0.00% | 0.00% |
| Intervalles* | X10, Pa2 | X11, Pa3 | X12, Pa4 | X13, Pa5 | X14, Pa6 | X15, Pa7 | X16, Pa8 | X17, Pa10 | X18, Pa11 |
| Objectifs** | 1.81% | 12.56% | 0.51% | 21.48% | 6.63% | 1.42% | 0.72% | 0.35% | 0.63% |
| Scénario 1 | 76.45% | 0.00% | 0.00% | 0.00% | 0.00% | 0.00% | 0.00% | 0.00% | 0.00% |
| Scénario 2 | 76.45% | 0.00% | 0.00% | 0.00% | 0.00% | 0.00% | 0.00% | 0.00% | 0.00% |
| Scénario 3 | 92.68% | 0.00% | 0.00% | 0.00% | 0.00% | 0.00% | 0.00% | 0.00% | 0.00% |
| Intervalles* | X19, Pa12 | X20, Pa13 | X21, Pa14 | X22, Pa15 | X23, Pa16 | X24, Pa17 | X25, Pa18 | X26, Pa19 | X27, Pa20 |
| Objectifs** | 3.45% | 7.10% | 0.67% | 0.59% | 11.53% | 4.87% | 0.79% | 20.64% | 0.81% |
| Scénario 1 | 0.00% | 0.00% | 0.00% | 0.00% | 0.00% | 0.00% | 0.00% | 0.00% | 5.97% |
| Scénario 2 | 0.00% | 0.00% | 0.00% | 0.00% | 0.00% | 0.00% | 0.00% | 0.00% | 5.97% |
| Scénario 3 | 0.00% | 0.00% | 0.00% | 0.00% | 0.00% | 0.00% | 0.00% | 0.00% | 5.84% |
| Intervalles* | X28, Pp5 | X29, Pp8 | X30, Pp9 | X31, Pp11 | X32, Pp15 | X33, Pp16 | X34, Pp17 | X35, Pp18 | X36, Pp19 |
| Objectifs** | 0.20% | 0.41% | 0.11% | 0.13% | 0.29% | 4.23% | 0.59% | 0.59% | 87.61% |
| Scénario 1 | 0.00% | 0.00% | 0.00% | 0.00% | 0.00% | 0.00% | 0.00% | 0.00% | 0.00% |
| Scénario 2 | 0.00% | 0.00% | 0.00% | 0.00% | 0.00% | 0.00% | 0.00% | 0.00% | 0.00% |
| Scénario 3 | 0.00% | 0.00% | 0.00% | 0.00% | 2.54% | 0.00% | 0.00% | 0.00% | 0.00% |
*Les cellules grises, blanches et en gras correspondent aux opérations qui se situent respectivement aux bornes maximum, minimum et entre les bornes des intervalles.
**Objectifs de la Caisse d'Epargne du Limousin
| X2, G1 | X3, G2 | X4, G3 | X5, G4 | X6, G5 | X7, G6 | X8, G7 | X9, Pa1 | |
| Objectifs** | 1.00% | 0.34% | 1.20% | 0.79% | 1.15% | 1.87% | 0.67% | 2.24% |
| b=0 | 0.00% | 0.00% | 94.03% | 0.00% | 100.00% | 0.00% | 0.00% | 0.00% |
| b=0.01 | 0.00% | 0.00% | 86.39% | 0.00% | 100.00% | 0.00% | 0.00% | 0.00% |
| b=0.03 | 0.00% | 0.00% | 75.49% | 0.00% | 100.00% | 0.00% | 0.00% | 0.00% |
| b=1 | 0.00% | 0.00% | 0.00% | 0.00% | 47.42% | 0.00% | 0.00% | 0.00% |
| b=5 | 0.00% | 0.00% | 0.00% | 0.00% | 46.57% | 0.00% | 0.00% | 0.00% |
| b=7 | 0.00% | 0.00% | 0.00% | 0.00% | 46.52% | 0.00% | 0.00% | 0.00% |
| b=8 | 0.00% | 0.00% | 0.00% | 0.00% | 46.50% | 0.00% | 0.00% | 0.00% |
| Intervalles* | X10, Pa2 | X11, Pa3 | X12, Pa4 | X13, Pa5 | X14, Pa6 | X15, Pa7 | X16, Pa8 | X17, Pa10 | X18, Pa11 |
| Objectifs** | 1.81% | 12.56% | 0.51% | 21.48% | 6.63% | 1.42% | 0.72% | 0.35% | 0.63% |
| b=0 | 0.00% | 0.00% | 0.00% | 0.00% | 0.00% | 0.00% | 0.00% | 0.00% | 0.00% |
| b=0.01 | 7.64% | 0.00% | 0.00% | 0.00% | 0.00% | 0.00% | 0.00% | 0.00% | 0.00% |
| b=0.03 | 0.00% | 0.00% | 0.00% | 0.00% | 0.00% | 0.00% | 16.40% | 0.00% | 0.00% |
| b=1 | 0.00% | 0.00% | 0.00% | 9.16% | 0.00% | 0.00% | 45.47% | 0.00% | 0.00% |
| b=5 | 0.00% | 0.00% | 0.00% | 8.73% | 0.00% | 0.00% | 45.63% | 0.00% | 0.00% |
| b=7 | 0.00% | 0.00% | 0.00% | 8.72% | 0.00% | 0.00% | 45.63% | 0.00% | 0.00% |
| b=8 | 0.00% | 0.00% | 0.00% | 8.71% | 0.00% | 0.00% | 45.63% | 0.00% | 0.00% |
| Intervalles* | X19, Pa12 | X20, Pa13 | X21, Pa14 | X22, Pa15 | X23, Pa16 | X24, Pa17 | X25, Pa18 | X26, Pa19 | X27, Pa20 |
| Objectifs** | 3.45% | 7.10% | 0.67% | 0.59% | 11.53% | 4.87% | 0.79% | 20.64% | 0.81% |
| b=0 | 0.00% | 0.00% | 0.00% | 0.00% | 0.00% | 0.00% | 0.00% | 0.00% | 5.97% |
| b=0.01 | 0.00% | 0.00% | 0.00% | 0.00% | 0.00% | 0.00% | 0.00% | 0.00% | 5.97% |
| b=0.03 | 0.00% | 0.00% | 0.00% | 2.14% | 0.00% | 0.00% | 0.00% | 0.00% | 5.97% |
| b=1 | 0.00% | 0.00% | 0.00% | 0.00% | 0.00% | 0.00% | 0.00% | 42.41% | 2.96% |
| b=5 | 0.00% | 0.00% | 0.00% | 0.00% | 0.00% | 0.00% | 0.00% | 42.73% | 2.91% |
| b=7 | 0.00% | 0.00% | 0.00% | 0.00% | 0.00% | 0.00% | 0.00% | 42.75% | 2.91% |
| b=8 | 0.00% | 0.00% | 0.00% | 0.00% | 0.00% | 0.00% | 0.00% | 42.76% | 2.90% |
| Intervalles* | X28, Pp5 | X29, Pp8 | X30, Pp9 | X31, Pp11 | X32, Pp15 | X33, Pp16 | X34, Pp17 | X35, Pp18 | X36, Pp19 |
| Objectifs** | 0.20% | 0.41% | 0.11% | 0.13% | 0.29% | 4.23% | 0.59% | 0.59% | 87.61% |
| b=0 | 0.00% | 0.00% | 0.00% | 0.00% | 0.00% | 0.00% | 0.00% | 0.00% | 0.00% |
| b=0.01 | 0.00% | 0.00% | 0.00% | 0.00% | 0.00% | 0.00% | 0.00% | 0.00% | 0.00% |
| b=0.03 | 0.00% | 0.00% | 0.00% | 0.00% | 0.00% | 0.00% | 0.00% | 0.00% | 0.00% |
| b=1 | 0.00% | 0.00% | 0.00% | 0.00% | 0.11% | 0.00% | 0.00% | 0.00% | 52.48% |
| b=5 | 0.00% | 0.00% | 0.00% | 0.00% | 0.00% | 0.00% | 0.00% | 0.00% | 53.43% |
| b=7 | 0.00% | 0.00% | 0.00% | 0.00% | 0.00% | 0.00% | 0.00% | 0.00% | 53.48% |
| b=8 | 0.00% | 0.00% | 0.00% | 0.00% | 0.00% | 0.00% | 0.00% | 0.00% | 53.50% |
*Les cellules grises, blanches et en gras correspondent aux opérations qui se situent respectivement aux bornes maximum, minimum et entre les bornes des intervalles.
**Objectifs de la Caisse d'Epargne du Limousin
| X2, G1 | X3, G2 | X4, G3 | X5, G4 | X6, G5 | X7, G6 | X8, G7 | X9, Pa1 | |
| Objectifs** | 1.00% | 0.34% | 1.20% | 0.79% | 1.15% | 1.87% | 0.67% | 2.24% |
| Scénario 1 | 0.00% | 0.00% | 90.68% | 0.00% | 100.00% | 0.00% | 0.00% | 0.00% |
| Scénario 2 | 0.00% | 0.00% | 90.68% | 0.00% | 100.00% | 0.00% | 0.00% | 0.00% |
| Scénario 3 | 0.00% | 0.00% | 79.09% | 0.00% | 100.00% | 0.00% | 0.00% | 0.00% |
| Intervalles* | X10, Pa2 | X11, Pa3 | X12, Pa4 | X13, Pa5 | X14, Pa6 | X15, Pa7 | X16, Pa8 | X17, Pa10 | X18, Pa11 |
| Objectifs** | 1.81% | 12.56% | 0.51% | 21.48% | 6.63% | 1.42% | 0.72% | 0.35% | 0.63% |
| Scénario 1 | 3.35% | 0.00% | 0.00% | 0.00% | 0.00% | 0.00% | 0.00% | 0.00% | 0.00% |
| Scénario 2 | 3.35% | 0.00% | 0.00% | 0.00% | 0.00% | 0.00% | 0.00% | 0.00% | 0.00% |
| Scénario 3 | 14.94% | 0.00% | 0.00% | 0.00% | 0.00% | 0.00% | 0.00% | 0.00% | 0.00% |
| Intervalles* | X19, Pa12 | X20, Pa13 | X21, Pa14 | X22, Pa15 | X23, Pa16 | X24, Pa17 | X25, Pa18 | X26, Pa19 | X27, Pa20 |
| Objectifs** | 3.45% | 7.10% | 0.67% | 0.59% | 11.53% | 4.87% | 0.79% | 20.64% | 0.81% |
| Scénario 1 | 0.00% | 0.00% | 0.00% | 0.00% | 0.00% | 0.00% | 0.00% | 0.00% | 5.97% |
| Scénario 2 | 0.00% | 0.00% | 0.00% | 0.00% | 0.00% | 0.00% | 0.00% | 0.00% | 5.97% |
| Scénario 3 | 0.00% | 0.00% | 0.00% | 0.00% | 0.00% | 0.00% | 0.00% | 0.00% | 5.97% |
| Intervalles* | X28, Pp5 | X29, Pp8 | X30, Pp9 | X31, Pp11 | X32, Pp15 | X33, Pp16 | X34, Pp17 | X35, Pp18 | X36, Pp19 |
| Objectifs** | 0.20% | 0.41% | 0.11% | 0.13% | 0.29% | 4.23% | 0.59% | 0.59% | 87.61% |
| Scénario 1 | 0.00% | 0.00% | 0.00% | 0.00% | 0.00% | 0.00% | 0.00% | 0.00% | 0.00% |
| Scénario 2 | 0.00% | 0.00% | 0.00% | 0.00% | 0.00% | 0.00% | 0.00% | 0.00% | 0.00% |
| Scénario 3 | 0.00% | 0.00% | 0.00% | 0.00% | 0.00% | 0.00% | 0.00% | 0.00% | 0.00% |
*Les cellules grises, blanches et en gras correspondent aux opérations qui se situent respectivement aux bornes maximum, minimum et entre les bornes des intervalles.
**Objectifs de la Caisse d'Epargne du Limousin
| X2, G1 | X3, G2 | X4, G3 | X5, G4 | X6, G5 | X7, G6 | X8, G7 | X9, Pa1 | |
| Objectifs** | 1.00% | 0.34% | 1.20% | 0.79% | 1.15% | 1.87% | 0.67% | 2.24% |
| 10% | 1.92% | 0.66% | 2.13% | 0.00% | 2.20% | 3.59% | 0.00% | 3.97% |
| 20% | 1.84% | 0.63% | 1.91% | 0.00% | 2.11% | 3.44% | 0.00% | 3.56% |
| 30% | 1.76% | 0.60% | 1.73% | 0.00% | 2.02% | 3.30% | 0.00% | 3.23% |
| 40% | 1.70% | 0.58% | 1.58% | 1.34% | 1.95% | 3.17% | 0.00% | 2.95% |
| Intervalles* | X10, Pa2 | X11, Pa3 | X12, Pa4 | X13, Pa5 | X14, Pa6 | X15, Pa7 | X16, Pa8 | X17, Pa10 | X18, Pa11 |
| Objectifs** | 1.81% | 12.56% | 0.51% | 21.48% | 6.63% | 1.42% | 0.72% | 0.35% | 0.63% |
| 10% | 3.20% | 22.22% | 0.91% | 7.62% | 0.00% | 2.51% | 1.28% | 0.63% | 1.11% |
| 20% | 2.87% | 19.93% | 0.81% | 6.84% | 0.00% | 2.25% | 1.15% | 0.56% | 1.00% |
| 30% | 2.60% | 18.06% | 0.74% | 6.20% | 0.00% | 2.04% | 1.04% | 0.51% | 0.91% |
| 40% | 2.38% | 16.52% | 0.67% | 1.82% | 3.78% | 1.86% | 0.95% | 0.47% | 0.83% |
| Intervalles* | X19, Pa12 | X20, Pa13 | X21, Pa14 | X22, Pa15 | X23, Pa16 | X24, Pa17 | X25, Pa18 | X26, Pa19 | X27, Pa20 |
| Objectifs** | 3.45% | 7.10% | 0.67% | 0.59% | 11.53% | 4.87% | 0.79% | 20.64% | 0.81% |
| 10% | 6.11% | 12.56% | 0.00% | 1.04% | 20.41% | 8.62% | 1.39% | 3.62% | 0.67% |
| 20% | 5.48% | 11.27% | 0.00% | 0.94% | 18.30% | 7.73% | 1.25% | 13.57% | 0.60% |
| 30% | 4.96% | 10.21% | 0.00% | 0.85% | 16.59% | 7.00% | 1.13% | 21.66% | 0.54% |
| 40% | 4.54% | 9.34% | 0.88% | 0.78% | 15.17% | 6.40% | 1.04% | 27.15% | 0.89% |
| Intervalles* | X28, Pp5 | X29, Pp8 | X30, Pp9 | X31, Pp11 | X32, Pp15 | X33, Pp16 | X34, Pp17 | X35, Pp18 | X36, Pp19 |
| Objectifs** | 0.20% | 0.41% | 0.11% | 0.13% | 0.29% | 4.23% | 0.59% | 0.59% | 87.61% |
| 10% | 0.39% | 0.78% | 0.22% | 0.25% | 0.55% | 8.10% | 1.13% | 1.13% | 79.09% |
| 20% | 0.37% | 0.75% | 0.21% | 0.24% | 0.53% | 7.76% | 1.08% | 1.08% | 79.96% |
| 30% | 0.35% | 0.72% | 0.20% | 0.23% | 0.51% | 7.45% | 1.04% | 1.04% | 80.76% |
| 40% | 0.34% | 0.69% | 0.19% | 0.22% | 0.49% | 7.17% | 1.00% | 1.00% | 80.16% |
*Les cellules grises, blanches et en gras correspondent aux opérations qui se situent respectivement aux bornes maximum, minimum et entre les bornes des intervalles.
**Objectifs de la Caisse d'Epargne du Limousin
| X2, G1 | X3, G2 | X4, G3 | X5, G4 | X6, G5 | X7, G6 | X8, G7 | X9, Pa1 | |
| Objectifs** | 1.00% | 0.34% | 1.20% | 0.79% | 1.15% | 1.87% | 0.67% | 2.24% |
| 2% | 1.94% | 0.66% | 2.19% | 0.00% | 2.22% | 3.62% | 0.00% | 4.08% |
| 3% | 1.90% | 0.65% | 2.09% | 0.00% | 2.18% | 3.56% | 0.00% | 3.90% |
| 4% | 1.87% | 0.64% | 2.01% | 0.00% | 2.15% | 3.50% | 0.00% | 3.74% |
| 5% | 1.84% | 0.63% | 1.93% | 0.00% | 2.11% | 3.45% | 0.00% | 3.59% |
| 6% | 1.81% | 0.62% | 1.85% | 0.00% | 2.08% | 3.39% | 0.00% | 3.45% |
| 7% | 1.79% | 0.61% | 1.78% | 0.00% | 2.05% | 3.34% | 0.00% | 3.32% |
| 8% | 1.76% | 0.60% | 1.72% | 0.00% | 2.02% | 3.29% | 0.00% | 3.20% |
| 9% | 1.73% | 0.59% | 1.66% | 0.00% | 1.98% | 3.24% | 0.00% | 3.09% |
| 10% | 1.71% | 0.58% | 1.60% | 0.00% | 1.96% | 3.19% | 0.00% | 2.99% |
| Intervalles* | X10, Pa2 | X11, Pa3 | X12, Pa4 | X13, Pa5 | X14, Pa6 | X15, Pa7 | X16, Pa8 | X17, Pa10 | X18, Pa11 |
| Objectifs** | 1.81% | 12.56% | 0.51% | 21.48% | 6.63% | 1.42% | 0.72% | 0.35% | 0.63% |
| 2% | 3.28% | 22.82% | 0.93% | 7.83% | 0.00% | 2.58% | 1.31% | 0.64% | 1.14% |
| 3% | 3.14% | 21.82% | 0.89% | 7.49% | 0.00% | 2.46% | 1.25% | 0.62% | 1.09% |
| 4% | 3.01% | 20.91% | 0.85% | 7.17% | 0.00% | 2.36% | 1.20% | 0.59% | 1.05% |
| 5% | 2.89% | 20.07% | 0.82% | 6.89% | 0.00% | 2.27% | 1.15% | 0.57% | 1.01% |
| 6% | 2.78% | 19.30% | 0.79% | 6.62% | 0.00% | 2.18% | 1.11% | 0.54% | 0.97% |
| 7% | 2.67% | 18.58% | 0.76% | 6.37% | 0.00% | 2.10% | 1.07% | 0.52% | 0.93% |
| 8% | 2.58% | 17.91% | 0.73% | 6.14% | 0.00% | 2.02% | 1.03% | 0.51% | 0.90% |
| 9% | 2.49% | 17.29% | 0.70% | 5.88% | 0.00% | 1.95% | 0.99% | 0.49% | 0.87% |
| 10% | 2.40% | 16.71% | 0.68% | 5.16% | 0.00% | 1.89% | 0.96% | 0.47% | 0.84% |
| Intervalles* | X19, Pa12 | X20, Pa13 | X21, Pa14 | X22, Pa15 | X23, Pa16 | X24, Pa17 | X25, Pa18 | X26, Pa19 | X27, Pa20 |
| Objectifs** | 3.45% | 7.10% | 0.67% | 0.59% | 11.53% | 4.87% | 0.79% | 20.64% | 0.81% |
| 2% | 6.27% | 12.90% | 0.00% | 1.07% | 20.96% | 8.85% | 1.43% | 1.03% | 0.69% |
| 3% | 6.00% | 12.34% | 0.00% | 1.03% | 20.05% | 8.46% | 1.37% | 5.35% | 0.66% |
| 4% | 5.75% | 11.82% | 0.00% | 0.98% | 19.21% | 8.11% | 1.31% | 9.31% | 0.63% |
| 5% | 5.52% | 11.35% | 0.00% | 0.94% | 18.43% | 7.78% | 1.26% | 12.95% | 0.60% |
| 6% | 5.30% | 10.91% | 0.00% | 0.91% | 17.72% | 7.48% | 1.21% | 16.31% | 0.58% |
| 7% | 5.11% | 10.50% | 0.00% | 0.87% | 17.06% | 7.20% | 1.16% | 19.43% | 0.56% |
| 8% | 4.92% | 10.13% | 0.00% | 0.84% | 16.45% | 6.94% | 1.12% | 22.31% | 0.54% |
| 9% | 4.75% | 9.78% | 0.08% | 0.81% | 15.88% | 6.70% | 1.08% | 24.98% | 0.52% |
| 10% | 4.59% | 9.45% | 0.89% | 0.79% | 15.35% | 6.48% | 1.05% | 27.20% | 0.50% |
| Intervalles* | X28, Pp5 | X29, Pp8 | X30, Pp9 | X31, Pp11 | X32, Pp15 | X33, Pp16 | X34, Pp17 | X35, Pp18 | X36, Pp19 |
| Objectifs** | 0.20% | 0.41% | 0.11% | 0.13% | 0.29% | 4.23% | 0.59% | 0.59% | 87.61% |
| 2% | 0.39% | 0.79% | 0.22% | 0.26% | 0.56% | 8.18% | 0.26% | 1.14% | 79.76% |
| 3% | 0.38% | 0.77% | 0.22% | 0.25% | 0.55% | 8.05% | 1.12% | 1.12% | 79.23% |
| 4% | 0.38% | 0.76% | 0.21% | 0.25% | 0.54% | 7.91% | 1.10% | 1.10% | 79.57% |
| 5% | 0.37% | 0.75% | 0.21% | 0.24% | 0.53% | 7.79% | 1.09% | 1.09% | 79.90% |
| 6% | 0.36% | 0.74% | 0.21% | 0.24% | 0.52% | 7.66% | 1.07% | 1.07% | 80.22% |
| 7% | 0.36% | 0.73% | 0.20% | 0.24% | 0.51% | 7.54% | 1.05% | 1.05% | 80.53% |
| 8% | 0.35% | 0.71% | 0.20% | 0.23% | 0.51% | 7.43% | 1.04% | 1.04% | 80.83% |
| 9% | 0.35% | 0.70% | 0.20% | 0.23% | 0.50% | 7.31% | 1.02% | 1.02% | 81.12% |
| 10% | 0.34% | 0.69% | 0.19% | 0.23% | 0.49% | 7.21% | 1.00% | 1.00% | 81.40% |
*Les cellules grises, blanches et en gras correspondent aux opérations qui se situent respectivement aux bornes maximum, minimum et entre les bornes des intervalles.
**Objectifs de la Caisse d'Epargne du Limousin.
| Mois | X2, G1 | X3, G2 | X4, G3 | X5, G4 | X6, G5 | X7, G6 | X8, G7 | X9, Pa1 | X10, Pa2 |
| Objectifs annuels | 2.0052% | 0.6867% | 2.4091% | 1.5840% | 2.2982% | 3.7481% | 1.3368% | 4.4875% | 3.6137% |
| Total annuel | 1.6710% | 0.4006% | 2.4091% | 0.4900% | 2.2982% | 3.4358% | 0.6684% | 4.4875% | 3.6137% |
| Janvier | 0.0000% | 0.0000% | 0.2008% | 0.0000% | 0.1915% | 0.0000% | 0.0000% | 0.3740% | 0.3011% |
| Février | 0.0000% | 0.0000% | 0.2008% | 0.0000% | 0.1915% | 0.3123% | 0.0000% | 0.3740% | 0.3011% |
| Mars | 0.1671% | 0.0000% | 0.2008% | 0.0000% | 0.1915% | 0.3123% | 0.0000% | 0.3740% | 0.3011% |
| Avril | 0.1671% | 0.0000% | 0.2008% | 0.0000% | 0.1915% | 0.3123% | 0.0000% | 0.3740% | 0.3011% |
| Mai | 0.1671% | 0.0000% | 0.2008% | 0.0000% | 0.1915% | 0.3123% | 0.0000% | 0.3740% | 0.3011% |
| Juin | 0.1671% | 0.0572% | 0.2008% | 0.0000% | 0.1915% | 0.3123% | 0.0000% | 0.3740% | 0.3011% |
| Juillet | 0.1671% | 0.0572% | 0.2008% | 0.0000% | 0.1915% | 0.3123% | 0.1114% | 0.3740% | 0.3011% |
| Août | 0.1671% | 0.0572% | 0.2008% | 0.0000% | 0.1915% | 0.3123% | 0.1114% | 0.3740% | 0.3011% |
| Septembre | 0.1671% | 0.0572% | 0.2008% | 0.0940% | 0.1915% | 0.3123% | 0.1114% | 0.3740% | 0.3011% |
| Octobre | 0.1671% | 0.0572% | 0.2008% | 0.1320% | 0.1915% | 0.3123% | 0.1114% | 0.3740% | 0.3011% |
| Novembre | 0.1671% | 0.0572% | 0.2008% | 0.1320% | 0.1915% | 0.3123% | 0.1114% | 0.3740% | 0.3011% |
| Décembre | 0.1671% | 0.0572% | 0.2008% | 0.1320% | 0.1915% | 0.3123% | 0.1114% | 0.3740% | 0.3011% |
| Mois | X11, Pa3 | X12, Pa4 | X13, Pa5 | X14, Pa6 | X15, Pa7 | X16, Pa8 | X17, Pa10 | X18, Pa11 | X19, Pa12 |
| Objectifs annuels | 25.1145% | 1.0235% | 8.6158% | 0.0000% | 0.0000% | 1.4434% | 0.7086% | 1.2597% | 0.0000% |
| Total annuel | 25.1145% | 1.0235% | 30.8588% | 0.0000% | 0.0000% | 1.4434% | 0.7086% | 1.2597% | 0.0000% |
| Janvier | 2.0929% | 0.0853% | 3.5800% | 0.0000% | 0.0000% | 0.1203% | 0.0590% | 0.1050% | 0.0000% |
| Février | 2.0929% | 0.0853% | 3.5800% | 0.0000% | 0.0000% | 0.1203% | 0.0590% | 0.1050% | 0.0000% |
| Mars | 2.0929% | 0.0853% | 3.5800% | 0.0000% | 0.0000% | 0.1203% | 0.0590% | 0.1050% | 0.0000% |
| Avril | 2.0929% | 0.0853% | 3.5800% | 0.0000% | 0.0000% | 0.1203% | 0.0590% | 0.1050% | 0.0000% |
| Mai | 2.0929% | 0.0853% | 3.5800% | 0.0000% | 0.0000% | 0.1203% | 0.0590% | 0.1050% | 0.0000% |
| Juin | 2.0929% | 0.0853% | 3.5800% | 0.0000% | 0.0000% | 0.1203% | 0.0590% | 0.1050% | 0.0000% |
| Juillet | 2.0929% | 0.0853% | 2.7088% | 0.0000% | 0.0000% | 0.1203% | 0.0590% | 0.1050% | 0.0000% |
| Août | 2.0929% | 0.0853% | 2.0948% | 0.0000% | 0.0000% | 0.1203% | 0.0590% | 0.1050% | 0.0000% |
| Septembre | 2.0929% | 0.0853% | 1.7042% | 0.0000% | 0.0000% | 0.1203% | 0.0590% | 0.1050% | 0.0000% |
| Octobre | 2.0929% | 0.0853% | 1.6897% | 0.0000% | 0.0000% | 0.1203% | 0.0590% | 0.1050% | 0.0000% |
| Novembre | 2.0929% | 0.0853% | 1.1814% | 0.0000% | 0.0000% | 0.1203% | 0.0590% | 0.1050% | 0.0000% |
| Décembre | 2.0929% | 0.0853% | 0.0000% | 0.0000% | 0.0000% | 0.1203% | 0.0590% | 0.1050% | 0.0000% |
| Mois | X20, Pa13 | X21, Pa14 | X22, Pa15 | X23, Pa16 | X24, Pa17 | X25, Pa18 | X26, Pa19 | X27, Pa20 | X28, Pp5 |
| Objectifs annuels | 14.1974% | 0.0000% | 1.1809% | 23.0676% | 9.7361% | 1.5746% | 0.1304% | 1.4373% | 0.4029% |
| Total annuel | 12.4058% | 0.2002% | 1.1809% | 11.2093% | 0.0000% | 0.2624% | 3.7285% | 0.7625% | 0.4029% |
| Janvier | 1.1831% | 0.1115% | 0.0984% | 0.6457% | 0.0000% | 0.0000% | 0.0000% | 0.0448% | 0.0336% |
| Février | 1.1831% | 0.0887% | 0.0984% | 0.0000% | 0.0000% | 0.0000% | 0.0000% | 0.0448% | 0.0336% |
| Mars | 1.1831% | 0.0000% | 0.0984% | 0.0887% | 0.0000% | 0.0000% | 0.0000% | 0.0448% | 0.0336% |
| Avril | 1.1831% | 0.0000% | 0.0984% | 0.0887% | 0.0000% | 0.0000% | 0.0000% | 0.0448% | 0.0336% |
| Mai | 1.1831% | 0.0000% | 0.0984% | 0.0886% | 0.0000% | 0.0000% | 0.0000% | 0.0449% | 0.0336% |
| Juin | 0.6623% | 0.0000% | 0.0984% | 0.6095% | 0.0000% | 0.0000% | 0.0000% | 0.0449% | 0.0336% |
| Juillet | 0.2670% | 0.0000% | 0.0984% | 1.8697% | 0.0000% | 0.0000% | 0.0000% | 0.0510% | 0.0336% |
| Août | 0.8285% | 0.0000% | 0.0984% | 1.9223% | 0.0000% | 0.0000% | 0.0000% | 0.0510% | 0.0336% |
| Septembre | 1.1831% | 0.0000% | 0.0984% | 1.9223% | 0.0000% | 0.0000% | 0.0000% | 0.0870% | 0.0336% |
| Octobre | 1.1831% | 0.0000% | 0.0984% | 1.9223% | 0.0000% | 0.0000% | 0.0000% | 0.1015% | 0.0336% |
| Novembre | 1.1831% | 0.0000% | 0.0984% | 1.9223% | 0.0000% | 0.1312% | 0.3770% | 0.1015% | 0.0336% |
| Décembre | 1.1831% | 0.0000% | 0.0984% | 0.1292% | 0.0000% | 0.1312% | 3.3515% | 0.1015% | 0.0336% |
| Mois | X29, Pp8 | X30, Pp9 | X31, Pp11 | X32, Pp15 | X33, Pp16 | X34, Pp17 | X35, Pp18 | X36, Pp19 |
| Objectifs annuels | 0.8149% | 0.2289% | 0.2655% | 0.5768% | 8.4695% | 0.2914% | 1.1812% | 76.1097% |
| Total annuel | 0.8149% | 0.1335% | 0.2655% | 0.5768% | 8.4695% | 0.0984% | 1.1812% | 79.0932% |
| Janvier | 0.0679% | 0.0000% | 0.0221% | 0.0481% | 0.7058% | 0.0000% | 0.0984% | 7.1659% |
| Février | 0.0679% | 0.0000% | 0.0221% | 0.0481% | 0.7058% | 0.0000% | 0.0984% | 6.8536% |
| Mars | 0.0679% | 0.0000% | 0.0221% | 0.0481% | 0.7058% | 0.0000% | 0.0984% | 6.6865% |
| Avril | 0.0679% | 0.0000% | 0.0221% | 0.0481% | 0.7058% | 0.0000% | 0.0984% | 6.6865% |
| Mai | 0.0679% | 0.0000% | 0.0221% | 0.0481% | 0.7058% | 0.0000% | 0.0984% | 6.6865% |
| Juin | 0.0679% | 0.0191% | 0.0221% | 0.0481% | 0.7058% | 0.0000% | 0.0984% | 6.6102% |
| Juillet | 0.0679% | 0.0191% | 0.0221% | 0.0481% | 0.7058% | 0.0000% | 0.0984% | 6.4988% |
| Août | 0.0679% | 0.0191% | 0.0221% | 0.0481% | 0.7058% | 0.0000% | 0.0984% | 6.4988% |
| Septembre | 0.0679% | 0.0191% | 0.0221% | 0.0481% | 0.7058% | 0.0000% | 0.0984% | 6.4048% |
| Octobre | 0.0679% | 0.0191% | 0.0221% | 0.0481% | 0.7058% | 0.0000% | 0.0984% | 6.3668% |
| Novembre | 0.0679% | 0.0191% | 0.0221% | 0.0481% | 0.7058% | 0.0000% | 0.0984% | 6.3668% |
| Décembre | 0.0679% | 0.0191% | 0.0221% | 0.0481% | 0.7058% | 0.0984% | 0.0984% | 6.2683% |
| Mois | X2, G1 | X3, G2 | X4, G3 | X5, G4 | X6, G5 | X7, G6 | X8, G7 | X9, Pa1 | X10, Pa2 |
| Objectifs annuels | 2.0052% | 0.6867% | 2.4091% | 1.5840% | 2.2982% | 3.7481% | 1.3368% | 4.4875% | 3.6137% |
| Total annuel | 1.6710% | 0.5723% | 2.4091% | 0.9240% | 2.2982% | 3.7481% | 0.7798% | 4.4875% | 1.5057% |
| Janvier | 0.0000% | 0.0000% | 0.2008% | 0.0000% | 0.1915% | 0.3123% | 0.0000% | 0.3740% | 0.3011% |
| Février | 0.0000% | 0.0000% | 0.2008% | 0.0000% | 0.1915% | 0.3123% | 0.0000% | 0.3740% | 0.3011% |
| Mars | 0.1671% | 0.0572% | 0.2008% | 0.0000% | 0.1915% | 0.3123% | 0.0000% | 0.3740% | 0.3011% |
| Avril | 0.1671% | 0.0572% | 0.2008% | 0.0000% | 0.1915% | 0.3123% | 0.0000% | 0.3740% | 0.3011% |
| Mai | 0.1671% | 0.0572% | 0.2008% | 0.0000% | 0.1915% | 0.3123% | 0.0000% | 0.3740% | 0.3011% |
| Juin | 0.1671% | 0.0572% | 0.2008% | 0.1320% | 0.1915% | 0.3123% | 0.1114% | 0.3740% | 0.0000% |
| Juillet | 0.1671% | 0.0572% | 0.2008% | 0.1320% | 0.1915% | 0.3123% | 0.1114% | 0.3740% | 0.0000% |
| Août | 0.1671% | 0.0572% | 0.2008% | 0.1320% | 0.1915% | 0.3123% | 0.1114% | 0.3740% | 0.0000% |
| Septembre | 0.1671% | 0.0572% | 0.2008% | 0.1320% | 0.1915% | 0.3123% | 0.1114% | 0.3740% | 0.0000% |
| Octobre | 0.1671% | 0.0572% | 0.2008% | 0.1320% | 0.1915% | 0.3123% | 0.1114% | 0.3740% | 0.0000% |
| Novembre | 0.1671% | 0.0572% | 0.2008% | 0.1320% | 0.1915% | 0.3123% | 0.1114% | 0.3740% | 0.0000% |
| Décembre | 0.1671% | 0.0572% | 0.2008% | 0.1320% | 0.1915% | 0.3123% | 0.1114% | 0.3740% | 0.0000% |
| Mois | X11, Pa3 | X12, Pa4 | X13, Pa5 | X14, Pa6 | X15, Pa7 | X16, Pa8 | X17, Pa10 | X18, Pa11 | X19, Pa12 |
| Objectifs annuels | 25.1145% | 1.0235% | 8.6158% | 0.0000% | 0.0000% | 1.4434% | 0.7086% | 1.2597% | 0.0000% |
| Total annuel | 25.1145% | 1.0235% | 7.2311% | 0.5970% | 0.2559% | 0.8420% | 0.1181% | 1.2597% | 0.0000% |
| Janvier | 2.0929% | 0.0853% | 3.5800% | 0.0000% | 0.0000% | 0.1203% | 0.0590% | 0.1050% | 0.0000% |
| Février | 2.0929% | 0.0853% | 3.5800% | 0.0000% | 0.0853% | 0.1203% | 0.0590% | 0.1050% | 0.0000% |
| Mars | 2.0929% | 0.0853% | 0.0000% | 0.0000% | 0.0853% | 0.1203% | 0.0000% | 0.1050% | 0.0000% |
| Avril | 2.0929% | 0.0853% | 0.0711% | 0.0000% | 0.0853% | 0.1203% | 0.0000% | 0.1050% | 0.0000% |
| Mai | 2.0929% | 0.0853% | 0.0000% | 0.0000% | 0.0000% | 0.1203% | 0.0000% | 0.1050% | 0.0000% |
| Juin | 2.0929% | 0.0853% | 0.0000% | 0.0853% | 0.0000% | 0.1203% | 0.0000% | 0.1050% | 0.0000% |
| Juillet | 2.0929% | 0.0853% | 0.0000% | 0.0853% | 0.0000% | 0.1203% | 0.0000% | 0.1050% | 0.0000% |
| Août | 2.0929% | 0.0853% | 0.0000% | 0.0853% | 0.0000% | 0.0000% | 0.0000% | 0.1050% | 0.0000% |
| Septembre | 2.0929% | 0.0853% | 0.0000% | 0.0853% | 0.0000% | 0.0000% | 0.0000% | 0.1050% | 0.0000% |
| Octobre | 2.0929% | 0.0853% | 0.0000% | 0.0853% | 0.0000% | 0.0000% | 0.0000% | 0.1050% | 0.0000% |
| Novembre | 2.0929% | 0.0853% | 0.0000% | 0.0853% | 0.0000% | 0.0000% | 0.0000% | 0.1050% | 0.0000% |
| Décembre | 2.0929% | 0.0853% | 0.0000% | 0.0853% | 0.0000% | 0.0000% | 0.0000% | 0.1050% | 0.0000% |
| Mois | X20, Pa13 | X21, Pa14 | X22, Pa15 | X23, Pa16 | X24, Pa17 | X25, Pa18 | X26, Pa19 | X27, Pa20 | X28, Pp5 |
| Objectifs annuels | 14.1974% | 0.0000% | 1.1809% | 23.0676% | 9.7361% | 1.5746% | 0.1304% | 1.4373% | 0.4029% |
| Total annuel | 10.2876% | 0.0034% | 1.1809% | 0.7314% | 6.9616% | 1.3121% | 34.4002% | 0.9214% | 0.1679% |
| Janvier | 1.1831% | 0.0000% | 0.0984% | 0.7314% | 0.0000% | 0.0000% | 0.0000% | 0.0448% | 0.0336% |
| Février | 1.1831% | 0.0034% | 0.0984% | 0.0000% | 0.0000% | 0.0000% | 0.0000% | 0.0448% | 0.0336% |
| Mars | 0.4429% | 0.0000% | 0.0984% | 0.0000% | 0.8113% | 0.1312% | 3.4400% | 0.0448% | 0.0336% |
| Avril | 1.1831% | 0.0000% | 0.0984% | 0.0000% | 0.0000% | 0.1312% | 3.4400% | 0.0449% | 0.0336% |
| Mai | 0.8686% | 0.0000% | 0.0984% | 0.0000% | 0.4709% | 0.1312% | 3.4400% | 0.0449% | 0.0336% |
| Juin | 0.6891% | 0.0000% | 0.0984% | 0.0000% | 0.8113% | 0.1312% | 3.4400% | 0.0998% | 0.0000% |
| Juillet | 0.6894% | 0.0000% | 0.0984% | 0.0000% | 0.8113% | 0.1312% | 3.4400% | 0.0995% | 0.0000% |
| Août | 0.8096% | 0.0000% | 0.0984% | 0.0000% | 0.8113% | 0.1312% | 3.4400% | 0.0995% | 0.0000% |
| Septembre | 0.8096% | 0.0000% | 0.0984% | 0.0000% | 0.8113% | 0.1312% | 3.4400% | 0.0996% | 0.0000% |
| Octobre | 0.8096% | 0.0000% | 0.0984% | 0.0000% | 0.8113% | 0.1312% | 3.4400% | 0.0996% | 0.0000% |
| Novembre | 0.8096% | 0.0000% | 0.0984% | 0.0000% | 0.8113% | 0.1312% | 3.4400% | 0.0996% | 0.0000% |
| Décembre | 0.8096% | 0.0000% | 0.0984% | 0.0000% | 0.8113% | 0.1312% | 3.4400% | 0.0996% | 0.0000% |
| Mois | X29, Pp8 | X30, Pp9 | X31, Pp11 | X32, Pp15 | X33, Pp16 | X34, Pp17 | X35, Pp18 | X36, Pp19 |
| Objectifs annuels | 0.8149% | 0.2289% | 0.2655% | 0.5768% | 8.4695% | 0.2914% | 1.1812% | 76.1097% |
| Total annuel | 0.8149% | 0.1908% | 0.2655% | 0.5768% | 7.9091% | 0.4921% | 1.1812% | 78.4082% |
| Janvier | 0.0679% | 0.0000% | 0.0221% | 0.0481% | 0.1454% | 0.0000% | 0.0984% | 7.4140% |
| Février | 0.0679% | 0.0000% | 0.0221% | 0.0481% | 0.7058% | 0.0000% | 0.0984% | 6.8536% |
| Mars | 0.0679% | 0.0191% | 0.0221% | 0.0481% | 0.7058% | 0.0000% | 0.0984% | 6.6102% |
| Avril | 0.0679% | 0.0191% | 0.0221% | 0.0481% | 0.7058% | 0.0000% | 0.0984% | 6.6102% |
| Mai | 0.0679% | 0.0191% | 0.0221% | 0.0481% | 0.7058% | 0.0000% | 0.0984% | 6.6102% |
| Juin | 0.0679% | 0.0191% | 0.0221% | 0.0481% | 0.7058% | 0.0000% | 0.0984% | 6.4003% |
| Juillet | 0.0679% | 0.0191% | 0.0221% | 0.0481% | 0.7058% | 0.0000% | 0.0984% | 6.4003% |
| Août | 0.0679% | 0.0191% | 0.0221% | 0.0481% | 0.7058% | 0.0984% | 0.0984% | 6.3019% |
| Septembre | 0.0679% | 0.0191% | 0.0221% | 0.0481% | 0.7058% | 0.0984% | 0.0984% | 6.3019% |
| Octobre | 0.0679% | 0.0191% | 0.0221% | 0.0481% | 0.7058% | 0.0984% | 0.0984% | 6.3019% |
| Novembre | 0.0679% | 0.0191% | 0.0221% | 0.0481% | 0.7058% | 0.0984% | 0.0984% | 6.3019% |
| Décembre | 0.0679% | 0.0191% | 0.0221% | 0.0481% | 0.7058% | 0.0984% | 0.0984% | 6.3019% |
| Mois | X2, G1 | X3, G2 | X4, G3 | X5, G4 | X6, G5 | X7, G6 | X8, G7 | X9, Pa1 | X10, Pa2 |
| Objectifs annuels | 2.0052% | 0.6867% | 2.4091% | 1.5840% | 2.2982% | 3.7481% | 1.3368% | 4.4875% | 3.6137% |
| Total annuel | 1.6710% | 0.4006% | 2.4091% | 0.6600% | 2.2982% | 3.4358% | 0.7798% | 4.4875% | 3.6137% |
| Janvier | 0.0000% | 0.0000% | 0.2008% | 0.0000% | 0.1915% | 0.0000% | 0.0000% | 0.3740% | 0.3011% |
| Février | 0.0000% | 0.0000% | 0.2008% | 0.0000% | 0.1915% | 0.3123% | 0.0000% | 0.3740% | 0.3011% |
| Mars | 0.1671% | 0.0000% | 0.2008% | 0.0000% | 0.1915% | 0.3123% | 0.0000% | 0.3740% | 0.3011% |
| Avril | 0.1671% | 0.0000% | 0.2008% | 0.0000% | 0.1915% | 0.3123% | 0.0000% | 0.3740% | 0.3011% |
| Mai | 0.1671% | 0.0000% | 0.2008% | 0.0000% | 0.1915% | 0.3123% | 0.0000% | 0.3740% | 0.3011% |
| Juin | 0.1671% | 0.0572% | 0.2008% | 0.0000% | 0.1915% | 0.3123% | 0.1114% | 0.3740% | 0.3011% |
| Juillet | 0.1671% | 0.0572% | 0.2008% | 0.0000% | 0.1915% | 0.3123% | 0.1114% | 0.3740% | 0.3011% |
| Août | 0.1671% | 0.0572% | 0.2008% | 0.1320% | 0.1915% | 0.3123% | 0.1114% | 0.3740% | 0.3011% |
| Septembre | 0.1671% | 0.0572% | 0.2008% | 0.1320% | 0.1915% | 0.3123% | 0.1114% | 0.3740% | 0.3011% |
| Octobre | 0.1671% | 0.0572% | 0.2008% | 0.1320% | 0.1915% | 0.3123% | 0.1114% | 0.3740% | 0.3011% |
| Novembre | 0.1671% | 0.0572% | 0.2008% | 0.1320% | 0.1915% | 0.3123% | 0.1114% | 0.3740% | 0.3011% |
| Décembre | 0.1671% | 0.0572% | 0.2008% | 0.1320% | 0.1915% | 0.3123% | 0.1114% | 0.3740% | 0.3011% |
| Mois | X11, Pa3 | X12, Pa4 | X13, Pa5 | X14, Pa6 | X15, Pa7 | X16, Pa8 | X17, Pa10 | X18, Pa11 | X19, Pa12 |
| Objectifs annuels | 25.1145% | 1.0235% | 8.6158% | 0.0000% | 0.0000% | 1.4434% | 0.7086% | 1.2597% | 0.0000% |
| Total annuel | 25.1145% | 1.0235% | 29.5510% | 0.2559% | 0.0853% | 1.4434% | 0.7086% | 1.2597% | 0.1403% |
| Janvier | 2.0929% | 0.0853% | 3.5800% | 0.0000% | 0.0000% | 0.1203% | 0.0590% | 0.1050% | 0.0000% |
| Février | 2.0929% | 0.0853% | 3.5800% | 0.0000% | 0.0000% | 0.1203% | 0.0590% | 0.1050% | 0.0000% |
| Mars | 2.0929% | 0.0853% | 3.5800% | 0.0000% | 0.0000% | 0.1203% | 0.0590% | 0.1050% | 0.0000% |
| Avril | 2.0929% | 0.0853% | 3.5800% | 0.0000% | 0.0000% | 0.1203% | 0.0590% | 0.1050% | 0.0000% |
| Mai | 2.0929% | 0.0853% | 3.5800% | 0.0000% | 0.0000% | 0.1203% | 0.0590% | 0.1050% | 0.0000% |
| Juin | 2.0929% | 0.0853% | 3.5800% | 0.0000% | 0.0000% | 0.1203% | 0.0590% | 0.1050% | 0.0000% |
| Juillet | 2.0929% | 0.0853% | 2.5681% | 0.0000% | 0.0000% | 0.1203% | 0.0590% | 0.1050% | 0.0000% |
| Août | 2.0929% | 0.0853% | 1.9809% | 0.0000% | 0.0000% | 0.1203% | 0.0590% | 0.1050% | 0.0000% |
| Septembre | 2.0929% | 0.0853% | 1.3179% | 0.0000% | 0.0000% | 0.1203% | 0.0590% | 0.1050% | 0.0000% |
| Octobre | 2.0929% | 0.0853% | 1.5610% | 0.0853% | 0.0000% | 0.1203% | 0.0590% | 0.1050% | 0.0000% |
| Novembre | 2.0929% | 0.0853% | 0.6432% | 0.0853% | 0.0000% | 0.1203% | 0.0590% | 0.1050% | 0.0000% |
| Décembre | 2.0929% | 0.0853% | 0.0000% | 0.0853% | 0.0853% | 0.1203% | 0.0590% | 0.1050% | 0.1403% |
| Mois | X20, Pa13 | X21, Pa14 | X22, Pa15 | X23, Pa16 | X24, Pa17 | X25, Pa18 | X26, Pa19 | X27, Pa20 | X28, Pp5 |
| Objectifs annuels | 14.1974% | 0.0000% | 1.1809% | 23.0676% | 9.7361% | 1.5746% | 0.1304% | 1.4373% | 0.4029% |
| Total annuel | 8.8876% | 0.2002% | 1.1809% | 10.6220% | 4.8681% | 0.5249% | 3.4586% | 0.8339% | 0.4029% |
| Janvier | 1.1831% | 0.1115% | 0.0984% | 0.6457% | 0.0000% | 0.0000% | 0.0000% | 0.0448% | 0.0336% |
| Février | 1.1831% | 0.0887% | 0.0984% | 0.0000% | 0.0000% | 0.0000% | 0.0000% | 0.0448% | 0.0336% |
| Mars | 1.1831% | 0.0000% | 0.0984% | 0.0887% | 0.0000% | 0.0000% | 0.0000% | 0.0448% | 0.0336% |
| Avril | 1.1831% | 0.0000% | 0.0984% | 0.0887% | 0.0000% | 0.0000% | 0.0000% | 0.0448% | 0.0336% |
| Mai | 1.1831% | 0.0000% | 0.0984% | 0.0886% | 0.0000% | 0.0000% | 0.0000% | 0.0449% | 0.0336% |
| Juin | 0.7104% | 0.0000% | 0.0984% | 0.5550% | 0.0000% | 0.0000% | 0.0000% | 0.0513% | 0.0336% |
| Juillet | 0.0000% | 0.0000% | 0.0984% | 1.4661% | 0.8113% | 0.0000% | 0.0000% | 0.0510% | 0.0336% |
| Août | 0.0805% | 0.0000% | 0.0984% | 1.9223% | 0.8113% | 0.0000% | 0.0000% | 0.1015% | 0.0336% |
| Septembre | 0.6123% | 0.0000% | 0.0984% | 1.9223% | 0.8113% | 0.1312% | 0.0000% | 0.1015% | 0.0336% |
| Octobre | 0.2840% | 0.0000% | 0.0984% | 1.9223% | 0.8113% | 0.1312% | 0.0000% | 0.1015% | 0.0336% |
| Novembre | 1.1831% | 0.0000% | 0.0984% | 1.9223% | 0.8113% | 0.1312% | 0.0186% | 0.1015% | 0.0336% |
| Décembre | 0.1016% | 0.0000% | 0.0984% | 0.0000% | 0.8113% | 0.1312% | 3.4400% | 0.1015% | 0.0336% |
| Mois | X29, Pp8 | X30, Pp9 | X31, Pp11 | X32, Pp15 | X33, Pp16 | X34, Pp17 | X35, Pp18 | X36, Pp19 |
| Objectifs annuels | 0.8149% | 0.2289% | 0.2655% | 0.5768% | 8.4695% | 1.1812% | 1.1812% | 75.2200% |
| Total annuel | 0.8149% | 0.1526% | 0.2655% | 0.5768% | 8.4695% | 0.6890% | 1.1812% | 78.2022% |
| Janvier | 0.0679% | 0.0000% | 0.0221% | 0.0481% | 0.7058% | 0.0000% | 0.0984% | 7.1659% |
| Février | 0.0679% | 0.0000% | 0.0221% | 0.0481% | 0.7058% | 0.0000% | 0.0984% | 6.8536% |
| Mars | 0.0679% | 0.0000% | 0.0221% | 0.0481% | 0.7058% | 0.0000% | 0.0984% | 6.6865% |
| Avril | 0.0679% | 0.0000% | 0.0221% | 0.0481% | 0.7058% | 0.0000% | 0.0984% | 6.6865% |
| Mai | 0.0679% | 0.0191% | 0.0221% | 0.0481% | 0.7058% | 0.0000% | 0.0984% | 6.6674% |
| Juin | 0.0679% | 0.0191% | 0.0221% | 0.0481% | 0.7058% | 0.0984% | 0.0984% | 6.4003% |
| Juillet | 0.0679% | 0.0191% | 0.0221% | 0.0481% | 0.7058% | 0.0984% | 0.0984% | 6.4003% |
| Août | 0.0679% | 0.0191% | 0.0221% | 0.0481% | 0.7058% | 0.0984% | 0.0984% | 6.2683% |
| Septembre | 0.0679% | 0.0191% | 0.0221% | 0.0481% | 0.7058% | 0.0984% | 0.0984% | 6.2683% |
| Octobre | 0.0679% | 0.0191% | 0.0221% | 0.0481% | 0.7058% | 0.0984% | 0.0984% | 6.2683% |
| Novembre | 0.0679% | 0.0191% | 0.0221% | 0.0481% | 0.7058% | 0.0984% | 0.0984% | 6.2683% |
| Décembre | 0.0679% | 0.0191% | 0.0221% | 0.0481% | 0.7058% | 0.0984% | 0.0984% | 6.2683% |
| Mois | X2, G1 | X3, G2 | X4, G3 | X5, G4 | X6, G5 | X7, G6 | X8, G7 | X9, Pa1 | X10, Pa2 |
| Objectifs annuels | 2.0052% | 0.6867% | 2.4091% | 1.5840% | 2.2982% | 3.7481% | 1.3368% | 4.4875% | 3.6137% |
| Total annuel | 1.8381% | 0.5723% | 2.4091% | 0.9240% | 2.2982% | 3.7481% | 0.7798% | 4.4875% | 1.8068% |
| Janvier | 0.0000% | 0.0000% | 0.2008% | 0.0000% | 0.1915% | 0.3123% | 0.0000% | 0.3740% | 0.3011% |
| Février | 0.1671% | 0.0000% | 0.2008% | 0.0000% | 0.1915% | 0.3123% | 0.0000% | 0.3740% | 0.3011% |
| Mars | 0.1671% | 0.0572% | 0.2008% | 0.0000% | 0.1915% | 0.3123% | 0.0000% | 0.3740% | 0.3011% |
| Avril | 0.1671% | 0.0572% | 0.2008% | 0.0000% | 0.1915% | 0.3123% | 0.0000% | 0.3740% | 0.3011% |
| Mai | 0.1671% | 0.0572% | 0.2008% | 0.0000% | 0.1915% | 0.3123% | 0.0000% | 0.3740% | 0.3011% |
| Juin | 0.1671% | 0.0572% | 0.2008% | 0.1320% | 0.1915% | 0.3123% | 0.1114% | 0.3740% | 0.3011% |
| Juillet | 0.1671% | 0.0572% | 0.2008% | 0.1320% | 0.1915% | 0.3123% | 0.1114% | 0.3740% | 0.0000% |
| Août | 0.1671% | 0.0572% | 0.2008% | 0.1320% | 0.1915% | 0.3123% | 0.1114% | 0.3740% | 0.0000% |
| Septembre | 0.1671% | 0.0572% | 0.2008% | 0.1320% | 0.1915% | 0.3123% | 0.1114% | 0.3740% | 0.0000% |
| Octobre | 0.1671% | 0.0572% | 0.2008% | 0.1320% | 0.1915% | 0.3123% | 0.1114% | 0.3740% | 0.0000% |
| Novembre | 0.1671% | 0.0572% | 0.2008% | 0.1320% | 0.1915% | 0.3123% | 0.1114% | 0.3740% | 0.0000% |
| Décembre | 0.1671% | 0.0572% | 0.2008% | 0.1320% | 0.1915% | 0.3123% | 0.1114% | 0.3740% | 0.0000% |
| Mois | X11, Pa3 | X12, Pa4 | X13, Pa5 | X14, Pa6 | X15, Pa7 | X16, Pa8 | X17, Pa10 | X18, Pa11 | X19, Pa12 |
| Objectifs annuels | 25.1145% | 1.0235% | 8.6158% | 0.0000% | 0.0000% | 1.4434% | 0.7086% | 1.2597% | 0.0000% |
| Total annuel | 25.1145% | 1.0235% | 7.1600% | 0.6823% | 0.9382% | 1.4434% | 0.1181% | 1.2597% | 0.0000% |
| Janvier | 2.0929% | 0.0853% | 3.5800% | 0.0000% | 0.0000% | 0.1203% | 0.0590% | 0.1050% | 0.0000% |
| Février | 2.0929% | 0.0853% | 3.5800% | 0.0000% | 0.0853% | 0.1203% | 0.0590% | 0.1050% | 0.0000% |
| Mars | 2.0929% | 0.0853% | 0.0000% | 0.0000% | 0.0853% | 0.1203% | 0.0000% | 0.1050% | 0.0000% |
| Avril | 2.0929% | 0.0853% | 0.0000% | 0.0853% | 0.0853% | 0.1203% | 0.0000% | 0.1050% | 0.0000% |
| Mai | 2.0929% | 0.0853% | 0.0000% | 0.0000% | 0.0853% | 0.1203% | 0.0000% | 0.1050% | 0.0000% |
| Juin | 2.0929% | 0.0853% | 0.0000% | 0.0853% | 0.0853% | 0.1203% | 0.0000% | 0.1050% | 0.0000% |
| Juillet | 2.0929% | 0.0853% | 0.0000% | 0.0853% | 0.0853% | 0.1203% | 0.0000% | 0.1050% | 0.0000% |
| Août | 2.0929% | 0.0853% | 0.0000% | 0.0853% | 0.0853% | 0.1203% | 0.0000% | 0.1050% | 0.0000% |
| Septembre | 2.0929% | 0.0853% | 0.0000% | 0.0853% | 0.0853% | 0.1203% | 0.0000% | 0.1050% | 0.0000% |
| Octobre | 2.0929% | 0.0853% | 0.0000% | 0.0853% | 0.0853% | 0.1203% | 0.0000% | 0.1050% | 0.0000% |
| Novembre | 2.0929% | 0.0853% | 0.0000% | 0.0853% | 0.0853% | 0.1203% | 0.0000% | 0.1050% | 0.0000% |
| Décembre | 2.0929% | 0.0853% | 0.0000% | 0.0853% | 0.0853% | 0.1203% | 0.0000% | 0.1050% | 0.0000% |
| Mois | X20, Pa13 | X21, Pa14 | X22, Pa15 | X23, Pa16 | X24, Pa17 | X25, Pa18 | X26, Pa19 | X27, Pa20 | X28, Pp5 |
| Objectifs annuels | 14.1974% | 0.0000% | 1.1809% | 23.0676% | 9.7361% | 1.5746% | 0.1304% | 1.4373% | 0.4029% |
| Total annuel | 7.4233% | 0.1149% | 1.1809% | 0.7314% | 8.1134% | 1.3121% | 34.4002% | 0.9233% | 0.2014% |
| Janvier | 1.1831% | 0.0000% | 0.0984% | 0.7314% | 0.0000% | 0.0000% | 0.0000% | 0.0448% | 0.0336% |
| Février | 1.1831% | 0.0034% | 0.0984% | 0.0000% | 0.0000% | 0.0000% | 0.0000% | 0.0448% | 0.0336% |
| Mars | 0.3314% | 0.1115% | 0.0984% | 0.0000% | 0.8113% | 0.1312% | 3.4400% | 0.0448% | 0.0336% |
| Avril | 0.3576% | 0.0000% | 0.0984% | 0.0000% | 0.8113% | 0.1312% | 3.4400% | 0.0449% | 0.0336% |
| Mai | 0.4429% | 0.0000% | 0.0984% | 0.0000% | 0.8113% | 0.1312% | 3.4400% | 0.0449% | 0.0336% |
| Juin | 0.3008% | 0.0000% | 0.0984% | 0.0000% | 0.8113% | 0.1312% | 3.4400% | 0.1017% | 0.0336% |
| Juillet | 0.6041% | 0.0000% | 0.0984% | 0.0000% | 0.8113% | 0.1312% | 3.4400% | 0.0995% | 0.0000% |
| Août | 0.6041% | 0.0000% | 0.0984% | 0.0000% | 0.8113% | 0.1312% | 3.4400% | 0.0995% | 0.0000% |
| Septembre | 0.6041% | 0.0000% | 0.0984% | 0.0000% | 0.8113% | 0.1312% | 3.4400% | 0.0996% | 0.0000% |
| Octobre | 0.6041% | 0.0000% | 0.0984% | 0.0000% | 0.8113% | 0.1312% | 3.4400% | 0.0996% | 0.0000% |
| Novembre | 0.6041% | 0.0000% | 0.0984% | 0.0000% | 0.8113% | 0.1312% | 3.4400% | 0.0996% | 0.0000% |
| Décembre | 0.6040% | 0.0000% | 0.0984% | 0.0000% | 0.8113% | 0.1312% | 3.4400% | 0.0996% | 0.0000% |
| Mois | X29, Pp8 | X30, Pp9 | X31, Pp11 | X32, Pp15 | X33, Pp16 | X34, Pp17 | X35, Pp18 | X36, Pp19 |
| Objectifs annuels | 0.8149% | 0.2289% | 0.2655% | 0.5768% | 8.4695% | 1.1812% | 1.1812% | 75.2200% |
| Total annuel | 0.8149% | 0.1908% | 0.2655% | 0.5768% | 7.9085% | 0.6890% | 1.1812% | 78.0114% |
| Janvier | 0.0679% | 0.0000% | 0.0221% | 0.0481% | 0.1447% | 0.0000% | 0.0984% | 7.4146% |
| Février | 0.0679% | 0.0000% | 0.0221% | 0.0481% | 0.7058% | 0.0000% | 0.0984% | 6.6865% |
| Mars | 0.0679% | 0.0191% | 0.0221% | 0.0481% | 0.7058% | 0.0000% | 0.0984% | 6.6102% |
| Avril | 0.0679% | 0.0191% | 0.0221% | 0.0481% | 0.7058% | 0.0000% | 0.0984% | 6.6102% |
| Mai | 0.0679% | 0.0191% | 0.0221% | 0.0481% | 0.7058% | 0.0000% | 0.0984% | 6.6102% |
| Juin | 0.0679% | 0.0191% | 0.0221% | 0.0481% | 0.7058% | 0.0984% | 0.0984% | 6.2683% |
| Juillet | 0.0679% | 0.0191% | 0.0221% | 0.0481% | 0.7058% | 0.0984% | 0.0984% | 6.3019% |
| Août | 0.0679% | 0.0191% | 0.0221% | 0.0481% | 0.7058% | 0.0984% | 0.0984% | 6.3019% |
| Septembre | 0.0679% | 0.0191% | 0.0221% | 0.0481% | 0.7058% | 0.0984% | 0.0984% | 6.3019% |
| Octobre | 0.0679% | 0.0191% | 0.0221% | 0.0481% | 0.7058% | 0.0984% | 0.0984% | 6.3019% |
| Novembre | 0.0679% | 0.0191% | 0.0221% | 0.0481% | 0.7058% | 0.0984% | 0.0984% | 6.3019% |
| Décembre | 0.0679% | 0.0191% | 0.0221% | 0.0481% | 0.7058% | 0.0984% | 0.0984% | 6.3019% |
| Mois | X2, G1 | X3, G2 | X4, G3 | X5, G4 | X6, G5 | X7, G6 | X8, G7 | X9, Pa1 | X10, Pa2 |
| Objectifs annuels | 2.0052% | 0.6867% | 2.4091% | 0.0000% | 2.2982% | 3.7481% | 0.0000% | 4.4875% | 3.6137% |
| Total annuel | 0.0000% | 0.1145% | 2.4091% | 0.0000% | 2.2982% | 0.0000% | 0.0000% | 4.4875% | 3.6137% |
| Janvier | 0.0000% | 0.0000% | 0.2008% | 0.0000% | 0.1915% | 0.0000% | 0.0000% | 0.3740% | 0.3011% |
| Février | 0.0000% | 0.0000% | 0.2008% | 0.0000% | 0.1915% | 0.0000% | 0.0000% | 0.3740% | 0.3011% |
| Mars | 0.0000% | 0.0000% | 0.2008% | 0.0000% | 0.1915% | 0.0000% | 0.0000% | 0.3740% | 0.3011% |
| Avril | 0.0000% | 0.0000% | 0.2008% | 0.0000% | 0.1915% | 0.0000% | 0.0000% | 0.3740% | 0.3011% |
| Mai | 0.0000% | 0.0000% | 0.2008% | 0.0000% | 0.1915% | 0.0000% | 0.0000% | 0.3740% | 0.3011% |
| Juin | 0.0000% | 0.0000% | 0.2008% | 0.0000% | 0.1915% | 0.0000% | 0.0000% | 0.3740% | 0.3011% |
| Juillet | 0.0000% | 0.0000% | 0.2008% | 0.0000% | 0.1915% | 0.0000% | 0.0000% | 0.3740% | 0.3011% |
| Août | 0.0000% | 0.0000% | 0.2008% | 0.0000% | 0.1915% | 0.0000% | 0.0000% | 0.3740% | 0.3011% |
| Septembre | 0.0000% | 0.0000% | 0.2008% | 0.0000% | 0.1915% | 0.0000% | 0.0000% | 0.3740% | 0.3011% |
| Octobre | 0.0000% | 0.0000% | 0.2008% | 0.0000% | 0.1915% | 0.0000% | 0.0000% | 0.3740% | 0.3011% |
| Novembre | 0.0000% | 0.0572% | 0.2008% | 0.0000% | 0.1915% | 0.0000% | 0.0000% | 0.3740% | 0.3011% |
| Décembre | 0.0000% | 0.0572% | 0.2008% | 0.0000% | 0.1915% | 0.0000% | 0.0000% | 0.3740% | 0.3011% |
| Mois | X11, Pa3 | X12, Pa4 | X13, Pa5 | X14, Pa6 | X15, Pa7 | X16, Pa8 | X17, Pa10 | X18, Pa11 | X19, Pa12 |
| Objectifs annuels | 19.2903% | 1.0235% | 12.2946% | 0.0000% | 2.8342% | 1.4434% | 0.7086% | 1.2597% | 5.6067% |
| Total annuel | 25.1145% | 1.0235% | 29.0524% | 0.0000% | 0.1706% | 1.4434% | 0.7086% | 1.2597% | 1.7286% |
| Janvier | 2.0929% | 0.0853% | 3.5800% | 0.0000% | 0.0000% | 0.1203% | 0.0590% | 0.1050% | 0.5752% |
| Février | 2.0929% | 0.0853% | 3.5800% | 0.0000% | 0.0000% | 0.1203% | 0.0590% | 0.1050% | 0.0031% |
| Mars | 2.0929% | 0.0853% | 3.5800% | 0.0000% | 0.0000% | 0.1203% | 0.0590% | 0.1050% | 0.0000% |
| Avril | 2.0929% | 0.0853% | 3.5800% | 0.0000% | 0.0000% | 0.1203% | 0.0590% | 0.1050% | 0.0000% |
| Mai | 2.0929% | 0.0853% | 3.5800% | 0.0000% | 0.0000% | 0.1203% | 0.0590% | 0.1050% | 0.0000% |
| Juin | 2.0929% | 0.0853% | 3.5800% | 0.0000% | 0.0000% | 0.1203% | 0.0590% | 0.1050% | 0.0000% |
| Juillet | 2.0929% | 0.0853% | 2.4009% | 0.0000% | 0.0000% | 0.1203% | 0.0590% | 0.1050% | 0.0000% |
| Août | 2.0929% | 0.0853% | 1.8495% | 0.0000% | 0.0000% | 0.1203% | 0.0590% | 0.1050% | 0.0000% |
| Septembre | 2.0929% | 0.0853% | 1.6611% | 0.0000% | 0.0000% | 0.1203% | 0.0590% | 0.1050% | 0.0000% |
| Octobre | 2.0929% | 0.0853% | 1.6611% | 0.0000% | 0.0000% | 0.1203% | 0.0590% | 0.1050% | 0.0000% |
| Novembre | 2.0929% | 0.0853% | 0.0000% | 0.0000% | 0.0853% | 0.1203% | 0.0590% | 0.1050% | 0.5752% |
| Décembre | 2.0929% | 0.0853% | 0.0000% | 0.0000% | 0.0853% | 0.1203% | 0.0590% | 0.1050% | 0.5752% |
| Mois | X20, Pa13 | X21, Pa14 | X22, Pa15 | X23, Pa16 | X24, Pa17 | X25, Pa18 | X26, Pa19 | X27, Pa20 | X28, Pp5 |
| Objectifs annuels | 14.1974% | 0.0000% | 1.1809% | 23.0676% | 5.8273% | 0.0000% | 0.0000% | 0.7555% | 0.4029% |
| Total annuel | 12.9201% | 1.0038% | 1.1809% | 9.3069% | 0.0000% | 0.2624% | 4.7325% | 0.2244% | 0.4029% |
| Janvier | 1.1831% | 0.1115% | 0.0984% | 0.0706% | 0.0000% | 0.0000% | 0.0000% | 0.0188% | 0.0336% |
| Février | 1.1831% | 0.1115% | 0.0984% | 0.0000% | 0.0000% | 0.0000% | 0.0000% | 0.0188% | 0.0336% |
| Mars | 1.1831% | 0.1115% | 0.0984% | 0.0031% | 0.0000% | 0.0000% | 0.0000% | 0.0188% | 0.0336% |
| Avril | 1.1831% | 0.1115% | 0.0984% | 0.0031% | 0.0000% | 0.0000% | 0.0000% | 0.0188% | 0.0336% |
| Mai | 1.1831% | 0.1115% | 0.0984% | 0.0031% | 0.0000% | 0.0000% | 0.0000% | 0.0188% | 0.0336% |
| Juin | 0.6110% | 0.0000% | 0.0984% | 0.6868% | 0.0000% | 0.0000% | 0.0000% | 0.0188% | 0.0336% |
| Juillet | 0.5548% | 0.0000% | 0.0984% | 1.9223% | 0.0000% | 0.0000% | 0.0000% | 0.0186% | 0.0336% |
| Août | 1.1062% | 0.0000% | 0.0984% | 1.9223% | 0.0000% | 0.0000% | 0.0000% | 0.0186% | 0.0336% |
| Septembre | 1.1831% | 0.1115% | 0.0984% | 1.9223% | 0.0000% | 0.0000% | 0.0000% | 0.0186% | 0.0336% |
| Octobre | 1.1831% | 0.1115% | 0.0984% | 1.9223% | 0.0000% | 0.0000% | 0.0000% | 0.0186% | 0.0336% |
| Novembre | 1.1831% | 0.1115% | 0.0984% | 0.7871% | 0.0000% | 0.1312% | 2.0046% | 0.0186% | 0.0336% |
| Décembre | 1.1831% | 0.1115% | 0.0984% | 0.0638% | 0.0000% | 0.1312% | 2.7279% | 0.0186% | 0.0336% |
| Mois | X29, Pp8 | X30, Pp9 | X31, Pp11 | X32, Pp15 | X33, Pp16 | X34, Pp17 | X35, Pp18 | X36, Pp19 |
| Objectifs annuels | 0.8149% | 0.2289% | 0.2655% | 0.5768% | 8.4695% | 0.0000% | 1.1812% | 79.3220% |
| Total annuel | 0.8149% | 0.0382% | 0.0000% | 0.5768% | 8.4695% | 0.0000% | 1.1812% | 86.1039% |
| Janvier | 0.0679% | 0.0000% | 0.0000% | 0.0481% | 0.7058% | 0.0000% | 0.0984% | 7.1880% |
| Février | 0.0679% | 0.0000% | 0.0000% | 0.0481% | 0.7058% | 0.0000% | 0.0984% | 7.1880% |
| Mars | 0.0679% | 0.0000% | 0.0000% | 0.0481% | 0.7058% | 0.0000% | 0.0984% | 7.1880% |
| Avril | 0.0679% | 0.0000% | 0.0000% | 0.0481% | 0.7058% | 0.0000% | 0.0984% | 7.1880% |
| Mai | 0.0679% | 0.0000% | 0.0000% | 0.0481% | 0.7058% | 0.0000% | 0.0984% | 7.1880% |
| Juin | 0.0679% | 0.0000% | 0.0000% | 0.0481% | 0.7058% | 0.0000% | 0.0984% | 7.1880% |
| Juillet | 0.0679% | 0.0000% | 0.0000% | 0.0481% | 0.7058% | 0.0000% | 0.0984% | 7.1880% |
| Août | 0.0679% | 0.0000% | 0.0000% | 0.0481% | 0.7058% | 0.0000% | 0.0984% | 7.1880% |
| Septembre | 0.0679% | 0.0000% | 0.0000% | 0.0481% | 0.7058% | 0.0000% | 0.0984% | 7.1880% |
| Octobre | 0.0679% | 0.0000% | 0.0000% | 0.0481% | 0.7058% | 0.0000% | 0.0984% | 7.1880% |
| Novembre | 0.0679% | 0.0191% | 0.0000% | 0.0481% | 0.7058% | 0.0000% | 0.0984% | 7.1117% |
| Décembre | 0.0679% | 0.0191% | 0.0000% | 0.0481% | 0.7058% | 0.0000% | 0.0984% | 7.1117% |
| Mois | X2, G1 | X3, G2 | X4, G3 | X5, G4 | X6, G5 | X7, G6 | X8, G7 | X9, Pa1 | X10, Pa2 |
| Objectifs annuels | 2.0052% | 0.6867% | 2.4091% | 0.0000% | 2.2982% | 3.7481% | 0.0000% | 4.4875% | 3.6137% |
| Total annuel | 0.0000% | 0.0000% | 2.4091% | 0.0000% | 0.0000% | 0.0000% | 0.0000% | 4.4875% | 0.3011% |
| Janvier | 0.0000% | 0.0000% | 0.2008% | 0.0000% | 0.0000% | 0.0000% | 0.0000% | 0.3740% | 0.3011% |
| Février | 0.0000% | 0.0000% | 0.2008% | 0.0000% | 0.0000% | 0.0000% | 0.0000% | 0.3740% | 0.0000% |
| Mars | 0.0000% | 0.0000% | 0.2008% | 0.0000% | 0.0000% | 0.0000% | 0.0000% | 0.3740% | 0.0000% |
| Avril | 0.0000% | 0.0000% | 0.2008% | 0.0000% | 0.0000% | 0.0000% | 0.0000% | 0.3740% | 0.0000% |
| Mai | 0.0000% | 0.0000% | 0.2008% | 0.0000% | 0.0000% | 0.0000% | 0.0000% | 0.3740% | 0.0000% |
| Juin | 0.0000% | 0.0000% | 0.2008% | 0.0000% | 0.0000% | 0.0000% | 0.0000% | 0.3740% | 0.0000% |
| Juillet | 0.0000% | 0.0000% | 0.2008% | 0.0000% | 0.0000% | 0.0000% | 0.0000% | 0.3740% | 0.0000% |
| Août | 0.0000% | 0.0000% | 0.2008% | 0.0000% | 0.0000% | 0.0000% | 0.0000% | 0.3740% | 0.0000% |
| Septembre | 0.0000% | 0.0000% | 0.2008% | 0.0000% | 0.0000% | 0.0000% | 0.0000% | 0.3740% | 0.0000% |
| Octobre | 0.0000% | 0.0000% | 0.2008% | 0.0000% | 0.0000% | 0.0000% | 0.0000% | 0.3740% | 0.0000% |
| Novembre | 0.0000% | 0.0000% | 0.2008% | 0.0000% | 0.0000% | 0.0000% | 0.0000% | 0.3740% | 0.0000% |
| Décembre | 0.0000% | 0.0000% | 0.2008% | 0.0000% | 0.0000% | 0.0000% | 0.0000% | 0.3740% | 0.0000% |
| Mois | X11, Pa3 | X12, Pa4 | X13, Pa5 | X14, Pa6 | X15, Pa7 | X16, Pa8 | X17, Pa10 | X18, Pa11 | X19, Pa12 |
| Objectifs annuels | 19.2903% | 1.0235% | 12.2946% | 0.0000% | 2.8342% | 1.4434% | 0.7086% | 1.2597% | 5.6067% |
| Total annuel | 25.1145% | 1.0235% | 0.0000% | 1.0042% | 1.0235% | 1.4434% | 0.0000% | 1.2597% | 6.9019% |
| Janvier | 2.0929% | 0.0853% | 0.0000% | 0.0660% | 0.0853% | 0.1203% | 0.0000% | 0.1050% | 0.5752% |
| Février | 2.0929% | 0.0853% | 0.0000% | 0.0853% | 0.0853% | 0.1203% | 0.0000% | 0.1050% | 0.5752% |
| Mars | 2.0929% | 0.0853% | 0.0000% | 0.0853% | 0.0853% | 0.1203% | 0.0000% | 0.1050% | 0.5752% |
| Avril | 2.0929% | 0.0853% | 0.0000% | 0.0853% | 0.0853% | 0.1203% | 0.0000% | 0.1050% | 0.5752% |
| Mai | 2.0929% | 0.0853% | 0.0000% | 0.0853% | 0.0853% | 0.1203% | 0.0000% | 0.1050% | 0.5752% |
| Juin | 2.0929% | 0.0853% | 0.0000% | 0.0853% | 0.0853% | 0.1203% | 0.0000% | 0.1050% | 0.5752% |
| Juillet | 2.0929% | 0.0853% | 0.0000% | 0.0853% | 0.0853% | 0.1203% | 0.0000% | 0.1050% | 0.5752% |
| Août | 2.0929% | 0.0853% | 0.0000% | 0.0853% | 0.0853% | 0.1203% | 0.0000% | 0.1050% | 0.5752% |
| Septembre | 2.0929% | 0.0853% | 0.0000% | 0.0853% | 0.0853% | 0.1203% | 0.0000% | 0.1050% | 0.5752% |
| Octobre | 2.0929% | 0.0853% | 0.0000% | 0.0853% | 0.0853% | 0.1203% | 0.0000% | 0.1050% | 0.5752% |
| Novembre | 2.0929% | 0.0853% | 0.0000% | 0.0853% | 0.0853% | 0.1203% | 0.0000% | 0.1050% | 0.5752% |
| Décembre | 2.0929% | 0.0853% | 0.0000% | 0.0853% | 0.0853% | 0.1203% | 0.0000% | 0.1050% | 0.5752% |
| Mois | X20, Pa13 | X21, Pa14 | X22, Pa15 | X23, Pa16 | X24, Pa17 | X25, Pa18 | X26, Pa19 | X27, Pa20 | X28, Pp5 |
| Objectifs annuels | 14.1974% | 0.0000% | 1.1809% | 23.0676% | 5.8273% | 0.0000% | 0.0000% | 0.7555% | 0.4029% |
| Total annuel | 5.3643% | 1.3384% | 1.1809% | 0.0000% | 4.8681% | 1.5746% | 41.2802% | 0.0622% | 0.0000% |
| Janvier | 1.1831% | 0.1115% | 0.0984% | 0.0000% | 0.0000% | 0.1312% | 3.4400% | 0.0059% | 0.0000% |
| Février | 0.8223% | 0.1115% | 0.0984% | 0.0000% | 0.0000% | 0.1312% | 3.4400% | 0.0059% | 0.0000% |
| Mars | 0.8223% | 0.1115% | 0.0984% | 0.0000% | 0.0000% | 0.1312% | 3.4400% | 0.0059% | 0.0000% |
| Avril | 0.8223% | 0.1115% | 0.0984% | 0.0000% | 0.0000% | 0.1312% | 3.4400% | 0.0059% | 0.0000% |
| Mai | 0.8223% | 0.1115% | 0.0984% | 0.0000% | 0.0000% | 0.1312% | 3.4400% | 0.0059% | 0.0000% |
| Juin | 0.8226% | 0.1115% | 0.0984% | 0.0000% | 0.0000% | 0.1312% | 3.4400% | 0.0057% | 0.0000% |
| Juillet | 0.0115% | 0.1115% | 0.0984% | 0.0000% | 0.8113% | 0.1312% | 3.4400% | 0.0054% | 0.0000% |
| Août | 0.0115% | 0.1115% | 0.0984% | 0.0000% | 0.8113% | 0.1312% | 3.4400% | 0.0054% | 0.0000% |
| Septembre | 0.0115% | 0.1115% | 0.0984% | 0.0000% | 0.8113% | 0.1312% | 3.4400% | 0.0054% | 0.0000% |
| Octobre | 0.0115% | 0.1115% | 0.0984% | 0.0000% | 0.8113% | 0.1312% | 3.4400% | 0.0054% | 0.0000% |
| Novembre | 0.0115% | 0.1115% | 0.0984% | 0.0000% | 0.8113% | 0.1312% | 3.4400% | 0.0054% | 0.0000% |
| Décembre | 0.0115% | 0.1115% | 0.0984% | 0.0000% | 0.8113% | 0.1312% | 3.4400% | 0.0054% | 0.0000% |
| Mois | X29, Pp8 | X30, Pp9 | X31, Pp11 | X32, Pp15 | X33, Pp16 | X34, Pp17 | X35, Pp18 | X36, Pp19 |
| Objectifs annuels | 0.8149% | 0.2289% | 0.2655% | 0.5768% | 8.4695% | 0.0000% | 1.1812% | 79.3220% |
| Total annuel | 0.8149% | 0.0000% | 0.0000% | 0.2404% | 8.4695% | 0.0000% | 0.0000% | 90.4752% |
| Janvier | 0.0679% | 0.0000% | 0.0000% | 0.0481% | 0.7058% | 0.0000% | 0.0000% | 7.5116% |
| Février | 0.0679% | 0.0000% | 0.0000% | 0.0481% | 0.7058% | 0.0000% | 0.0000% | 7.5116% |
| Mars | 0.0679% | 0.0000% | 0.0000% | 0.0481% | 0.7058% | 0.0000% | 0.0000% | 7.5116% |
| Avril | 0.0679% | 0.0000% | 0.0000% | 0.0481% | 0.7058% | 0.0000% | 0.0000% | 7.5116% |
| Mai | 0.0679% | 0.0000% | 0.0000% | 0.0481% | 0.7058% | 0.0000% | 0.0000% | 7.5116% |
| Juin | 0.0679% | 0.0000% | 0.0000% | 0.0000% | 0.7058% | 0.0000% | 0.0000% | 7.5596% |
| Juillet | 0.0679% | 0.0000% | 0.0000% | 0.0000% | 0.7058% | 0.0000% | 0.0000% | 7.5596% |
| Août | 0.0679% | 0.0000% | 0.0000% | 0.0000% | 0.7058% | 0.0000% | 0.0000% | 7.5596% |
| Septembre | 0.0679% | 0.0000% | 0.0000% | 0.0000% | 0.7058% | 0.0000% | 0.0000% | 7.5596% |
| Octobre | 0.0679% | 0.0000% | 0.0000% | 0.0000% | 0.7058% | 0.0000% | 0.0000% | 7.5596% |
| Novembre | 0.0679% | 0.0000% | 0.0000% | 0.0000% | 0.7058% | 0.0000% | 0.0000% | 7.5596% |
| Décembre | 0.0679% | 0.0000% | 0.0000% | 0.0000% | 0.7058% | 0.0000% | 0.0000% | 7.5596% |
Dans cette seconde partie, nous avons dépassé les limites du processus de contrôle de gestion du risque de taux d’intérêt, exploité par la CELIM.
Nous avons tout d’abord affiné la périodicité avec laquelle la CELIM mesure son risque de taux d’intérêt : nous avons mesuré le risque de taux d’intérêt de la CELIM avec une périodicité mensuelle alors qu’elle le mesure avec une périodicité annuelle. La mensualisation du bilan et de l’évolution des taux d’intérêt permet ainsi de réorienter si nécessaire la structure du bilan en fonction de l’évolution des taux attendue.
Nous avons ensuite proposé une méthode qui permet de gérer le risque de taux d’intérêt de la CELIM alors que son processus actuel de contrôle du risque de taux d’intérêt consiste à mesurer son exposition au risque de taux d’intérêt mais pas à le gérer. Nous avons éprouvé notre méthode en la soumettant à de nombreuses simulations avec une périodicité annuelle puis mensuelle. Ces simulations ont alors permis de valider son efficacité. En effet, notre méthode, détermine la répartition optimale de la production nouvelle de la CELIM en arbitrant entre le rendement et le risque de son bilan et tout en tenant compte de contraintes réglementaires, commerciales et d’objectif de la production nouvelle. C’est ainsi qu’elle permet d’améliorer la marge d’intérêt de la CELIM, que ce soit avec une périodicité annuelle ou mensuelle.